л14.Работа силы.ppt
- Количество слайдов: 30
РАБОТА СИЛЫ. МОЩНОСТЬ Лекция 14
ЭЛЕМЕНТАРНАЯ РАБОТА СИЛЫ Пусть точка приложения силы перемещается по криволинейной траектории из положения в положение М 1
Элементарная работа силы (1) - скорость точки приложения силы
Так как То из формулы (1) (2)
Элементарная работа силы равна произведению элементарного переемещения на проекцию силы на это перемещение или (3)
Элементарная работа силы равна скалярному произведению вектора силы и дифференциала радиус-вектора
(4)
Элементарная работа силы равна скалярному произведению элементарного импульса силы на скорость точки ее приложения. В аналитической форме (4) будет иметь вид
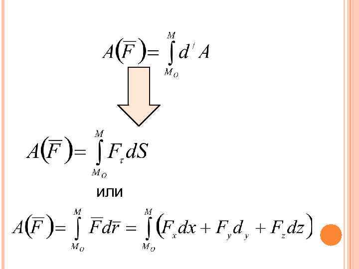
ПОЛНАЯ РАБОТА СИЛЫ (5) работа силы перемещении на элементарном
или
Если сила является функцией времени, то из (4) (6)
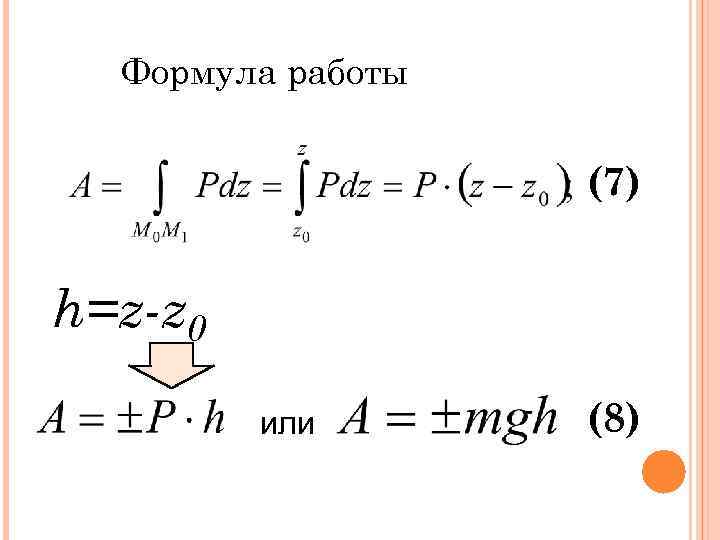
ПРИМЕР ВЫЧИСЛЕНИЯ РАБОТЫ СИЛЫ ТЯЖЕСТИ Пусть на материальную точку М, на которую действует сила тяжести. Точка перемещается из положения М 0 в положение М 1 , при этом координатные оси выбраны так, что ось z направлена вертикально вверх. Проекции силы на координатные оси
Z Z 0 Z 1 Р O М 0 М М 1 Y X Рис. 2
Формула работы (7) h=z-z 0 или (8)
МОЩНОСТЬ. Отношение приращения работы силы к элементарному промежутку времени, за которое оно произошло
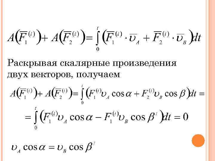
РАБОТА ВНУТРЕННИХ СИЛ, ПРИЛОЖЕННЫХ К ТВЕРДОМУ ТЕЛУ. Рассмотрим две произвольные точки тела А и В (Рис. 3), силы взаимодействия которых, согласно третьему закону Ньютона
Раскрывая скалярные произведения двух векторов, получаем
РАБОТА СИЛЫ ПРИ ПОСТУПАТЕЛЬНОМ ДВИЖЕНИИ ТВЕРДОГО ТЕЛА. Полная работа силы на каком-либо перемещении
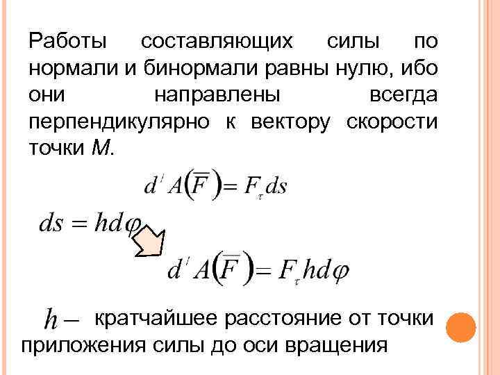
РАБОТА СИЛЫ ПРИ ВРАЩЕНИИ ТВЕРДОГО ТЕЛА ВОКРУГ НЕПОДВИЖНОЙ ОСИ. Разложим силу , приложенную в произвольной точке М тела, по осям естественного трехгранника Работы составляющих силы по нормали и бинормали равны нулю, ибо они направлены всегда перпендикулярно к вектору скорости точки М.
Работы составляющих силы по нормали и бинормали равны нулю, ибо они направлены всегда перпендикулярно к вектору скорости точки М. кратчайшее расстояние от точки приложения силы до оси вращения
- момент силы относительно оси
Полная работа когда момент силы относительно оси вращения тела постоянен
Мощность силы в рассматриваемом случае - проекция на ось угловой скорости
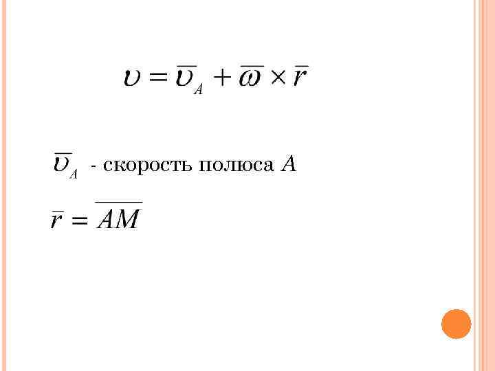
РАБОТА СИЛЫ В ОБЩЕМ СЛУЧАЕ ДВИЖЕНИЯ СВОБОДНОГО ТЕЛА.
- скорость полюса А
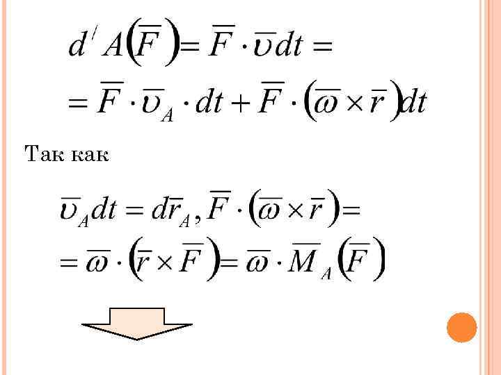
Так как
или проекция на вектор - элементарный угол поворота тела вокруг мгновенной оси относительно вращения
л14.Работа силы.ppt