Работа перемещения заряда в электрическом поле.ppt
- Количество слайдов: 19
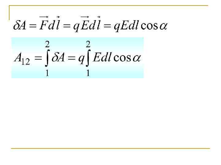
Работа перемещения заряда в электрическом поле
Данная формула показывает: 1. Eсли заряды q и Q имеют одинаковые знаки, то при удалении зарядов А 12>0, а при сближении А 12<0, то есть в этом случае совершается работа против кулоновской силы. 2. Eсли заряды q и Q имеют разные знаки, то при удалении зарядов А 12<0, а при сближении А 12>0. 3. На траекториях I и II, изображенных на рис. , работы кулоновских сил одинаковы.
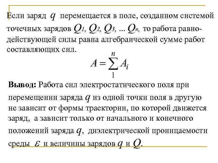
Если заряд q перемещается в поле, созданном системой точечных зарядов Q 1, Q 2, Q 3, . . . Qn, то работа равнодействующей силы равна алгебраической сумме работ составляющих сил. Вывод: Работа сил электростатического поля при перемещении заряда q из одной точки поля в другую не зависит от формы траектории, по которой движется заряд, а зависит только от начального и конечного положений заряда q, диэлектрической проницаемости среды и величины зарядов q и Q.
В случае замкнутого контура начальное и конечное положение заряда совпадают (r 1 = r 2) и работа, совершаемая при перемещении заряда во внешнем электростатическом поле по любому замкнутому пути равна нулю. Вывод: Электростатическое поле является полем консервативных сил и может быть охарактеризовано потенциалом
- циркуляция вектора напряженности электростатического поля Поле, для которого циркуляция его напряженности равна нулю, называют потенциальным. Из уравнения следует, что силовые линии электростатического поля не могут быть замкнуты.
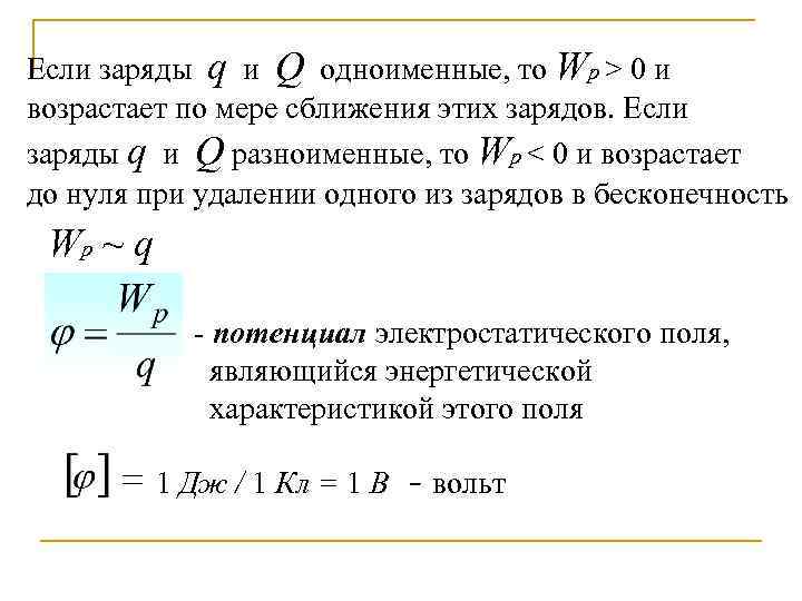
Потенциал электростатического поля Работа консервативных сил совершается за счет убыли потенциальной энергии Wp - потенциальная энергия заряда q, находящегося на расстоянии r от точечного заряда Q
Если заряды q и Q одноименные, то Wp > 0 и возрастает по мере сближения этих зарядов. Если заряды q и Q разноименные, то Wp < 0 и возрастает до нуля при удалении одного из зарядов в бесконечность Wp ~ q - потенциал электростатического поля, являющийся энергетической характеристикой этого поля = 1 Дж / 1 Кл = 1 В - вольт
- потенциал поля, создаваемого одним точечным зарядом Q (φ1 – φ2) - разность потенциалов начальной и конечной точек
А = q 1 1 В = 1 Дж / 1 Кл Поверхность, во всех точках которой потенциал электрического поля имеет одинаковые значения, называется эквипотенциальной поверхностью или поверхностью равного потенциала
Принцип суперпозиции для потенциала φ = φ1 + φ2 + φ3 +. . . –
Cвязь между напряженностью электрического поля и потенциалом Электрическое поле или (векторная величина) (скалярная величина)
Градиент функции по определению есть вектор, модуль которого равен производной этой функции по определенному направлению
Если поле однородное, то
Расчет электростатического поля бесконечно длинного прямого кругового цилиндра радиуса R, равномерно заряженного с линейной плотностью 0
Расчет электростатического поля плоскости, равномерно заряженной с поверхностной плотностью 0
Работа перемещения заряда в электрическом поле.ppt