34d977e0b421c4248c286c6a3441ad17.ppt
- Количество слайдов: 55
QGP viscosity from RHIC data -- a hydrodynamic perspective Huichao Song The Ohio State University Lawrence Berkeley National Lab Joint CATHIE/TECHQM Workshop, BNL, Dec 14 -18, 2009 Supported by DOE Thanks for collaborations and discussions from U. Heinz; Thanks for figures and discussions from K. Dusling, A. El, S. Pratt, Z. Xu, and many others 12/14/2009
What is viscosity Shear viscosity – measures the resistance to flow gradients act against the buildup of flow anisotropy Bulk viscosity – measures the resistance to expansion act against the buildup of radial flow Heat conductivity – measures the ability of heat transfer Assume: (RHIC&LHC)
Ideal hydrodynamics S. Bass Conservation laws: ideal hydro: local equilibrium - 4 equations - 5 unknowns Input: “EOS” -EOS is one of the important factors that influence the expansion of system harder EOS (with larger ) faster expansion
Viscous hydrodynamics S. Bass Conservation laws: ideal hydro: local equilibrium viscous hydro: near equilibrium shear pressure tensor bulk pressure:
Viscous hydrodynamics S. Bass Conservation laws: - Israel-Stewart eqns.
Viscous hydrodynamics S. Bass Conservation laws: - Israel-Stewart eqns. viscous hydro: near-equilibrium system pre-equilibrium dynamics + viscous hydro + hadron cascade Initial conditions final conditions
Viscous hydrodynamics S. Bass Conservation laws: - Israel-Stewart eqns. Input: “EOS” Bjorken appro. : initial and final conditions reduces (3+1)-d hydro to (2+1)-d hydro
Qualitative effects of & on spectra The same initial & final conditions: ideal hydro viscous hydro-shear only spectra -shear viscosity: flatter spectra -bulk viscosity: steeper spectra viscous hydro-bulk only Song & Heinz, 0909
Qualitative effects of & on spectra The same initial & final conditions: ideal hydro viscous hydro-shear only spectra viscous hydro-bulk only radial flow -shear viscosity: flatter spectra; increases radial flow -bulk viscosity: steeper spectra; decreases radial flow Song & Heinz, 0909
Qualitative effects of & on V 2 Song & Heinz, 0909 Elliptic flow v 2 -both shear & bulk viscosity suppress V 2 at low PT
Shear viscosity & elliptic flow V 2 Elliptic flow v 2 20 -25% v 2 suppression -V 2 can be used to extract the QGP shear viscosity -For an acurrate extraction of QGP viscosity, one needs very precise V 2 (experimental data & theoretical results)
Shear viscosity & elliptic flow V 2 Elliptic flow v 2 20 -25% v 2 suppression -V 2 can be used to extract the QGP shear viscosity -For an acurrate extraction of QGP viscosity, one needs very precise V 2 (experimental data & theoretical results)
Shear viscosity & elliptic flow V 2 Elliptic flow v 2 20 -25% v 2 suppression Example: If v 2 is increased by 10%, one need to increase by in order to describe the same exp. data -10% uncertainties in V 2 translate into 50% uncertainties for the extracted value of -V 2 can be used to extract the QGP shear viscosity -For an acurrate extraction of QGP viscosity, one needs very precise V 2 (experimental data & theoretical results)
Extracting from V data 2 Input / parameters for viscous hydro -initial conditions: -initial eccentricity (Glauber/CGC ; optical/fluctuations) -treatment of hadronic stage and freeze-out procedure: -Eo. S: EOS Q, EOS L + chemical non-equil. HRG EOS -viscosities & relaxation times: -initialization for
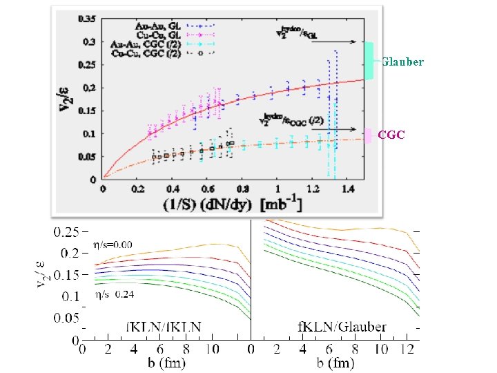
Effects of initial eccentricity on Glauber Luzum & Romatschke, PRC 2008 -Glauber vs. CGC: ~20 -30% effect on CGC ~100% uncertainties on -event by event fluctuations: talk by A. Dumitru
Effects of initial eccentricity on Glauber Luzum & Romatschke, PRC 2008 CGC NOT so fast ! -Effects from highly viscous & non-chemical equilibrium hadronic stage, bulk viscosity …
Extracting from V data 2 Input / parameters for viscous hydro -initial conditions: -initial eccentricity -treatment of hadronic stage and freeze-out procedure: -chemical composition of HRG -effects of highly viscous HRG -Eo. S: -viscosities & relaxation times: -initialization for shear and bulk pressure
Effects of chemical composition of HRG on PCE vs. CE (HRG) Partial Chemical Equilibrium (PCE) vs. Chemical Equilibrium (CE) Ideal hydro 30% P. Huovinen 07 -PCE Eo. S vs. CE Eo. S (ideal hydro): change v 2 by ~30%
Effects of chemical composition of HRG on PCE vs. CE (HRG) Glauber Ideal hydro 30% CGC P. Huovinen 07 Luzum &Romatschke 08 -PCE Eo. S vs. CE Eo. S (ideal hydro): change V 2 ~30% -Constraining influence ~100% requires: a proper description of partial chemical equilibrium in HRG
Effects of highly viscous hadronic stage on Ideal hydro 30 -50% T. Hirano -highly viscous hadronic stage: change V 2 ~30 -50% -need viscous hydro + hadron cascade hybrid approach influence ~100 -150%
Extracting from V data 2 Input / parameters for viscous hydro -initial conditions: -initial eccentricity -treatment of hadronic stage and freeze-out procedures: -chemical composition of HRG -viscosity of HRG -Eo. S: (EOSQ vs EOSL) -viscosities & relaxation times: -initialization for shear and bulk pressure
Effects from softness of EOS Song & Heinz PRC 08 SM-EOS Q vs. EOS L 40% -- softness of EOS: ~5 -10% effects on V 2 ~25% uncertainties on -- EOS L: Katz 05 lattice data for QGP + CE EOS for HRG talk by P. Houvinen --more realistic EOS for hydro 0903 lattice data for QGP + PCE EOS for HRG 30%
Extracting from V data 2 Input / parameters for viscous hydro -initial conditions: -initial eccentricity -treatment of hadronic stage and freeze-out procedures: -chemical composition of HRG -viscosity of HRG -Eo. S: (EOSQ vs EOSL) -viscosities & relaxation times: -initialization for shear and bulk pressure
shear pressure: relaxation times & initialization Song, Ph. D thesis - is insensitive to initializations of -when extracting and relaxation time : one can neglect the uncertainties from ! (since is short) & initialization of
Extracting from V data 2 Input / parameters for viscous hydro -initial conditions: -initial eccentricity -treatment of hadronic stage and freeze-out procedures: -chemical composition of HRG -viscosity of HRG -Eo. S: (EOSQ vs EOSL) - shear pressure: relaxation times and initialization -effects from bulk viscosity
bulk viscosity and relaxation time Bulk viscosity: HRG Relaxation times: QGP also peaks near Tc, this plays an important role for bulk viscous dynamics
bulk viscosity and relaxation time Bulk viscosity: HRG QGP Relaxation times: also peaks near Tc, this plays an important role for bulk viscous dynamics Zero initialization: large near Tc prevents from growing to large values suppresses bulk viscous effects
bulk viscosity and relaxation time Bulk viscosity: HRG QGP Relaxation times: also peaks near Tc, this plays an important role for bulk viscous dynamics N-S initialization: large near Tc keeps large negative value of in phase transition region viscous hydro breaks down ( ) for larger viscous hydro is only valid with small bulk viscous effects on V 2
Uncertainties from bulk viscosity N-S initialization Zero initialization Song & Heinz, 0909 -with a critical slowing down , effects from bulk viscosity effects are much smaller than from shear viscosity bulk viscosity influences V 2 ~5% (N-S initial. ) uncertainties to ~20% (N-S initial. ) <4% (zero initial. ) <15% (zero initial. )
Extracting from RHIC data --the current status of viscous hydrodynamics (uncertainties in V 2 ) -initial conditions: CGC vs. Glauber ~20 -30% -Eo. S: EOS Q, vs. EOS L ~5 -10% -chemical composition of HRG : (PEC vs. CE) ~30% -viscosity of HRG (or equil. HRG vs. non-equil. HRG) : ~30 -50% -bulk viscosity: ~5%
Luzum & Romatschke, PRC 2008 Glauber CGC Extracting from RHIC data --the current status of viscous hydrodynamics (uncertainties in ) -initial conditions: CGC vs. Glauber ~100% -Eo. S: EOS Q, vs. EOS L ~25% -chemical composition of HRG : (PEC vs. CE) ~100% -viscosity of HRG (or equil. HRG vs. non-equil. HRG) : ~100 -150% -bulk viscosity: ~20% conservative upper limit:
Luzum & Romatschke, PRC 2008 Glauber CGC Extracting from RHIC data --the current status of viscous hydrodynamics (uncertainties in ) -initial conditions: CGC vs. Glauber ~100% recent progress: Heinz et al. 0907 -Eo. S: EOS Q, vs. EOS L ~25% -chemical composition of HRG : (PEC vs. CE) ~100% -viscosity of HRG (or equil. HRG vs. non-equil. HRG) : ~100 -150% -bulk viscosity: ~20% conservative upper limit: Can we further increase the accuracy of extracted ? YES !
Luzum & Romatschke, PRC 2008 Glauber CGC Extracting from RHIC data --the current status of viscous hydrodynamics (uncertainties in ) -initial conditions: CGC vs. Glauber ~100% recent progress: Heinz et al. 0907 -Eo. S: EOS Q, vs. EOS L ~25% -chemical composition of HRG : (PEC vs. CE) ~100% -viscosity of HRG (or equil. HRG vs. non-equil. HRG) : ~100 -150% -bulk viscosity: ~20% conservative upper limit: -To further decrease the uncertainties from bulk viscosity, (or to extract both shear & bulk viscosity from exp. data), one need more sensitive exp. observables
other observables that are sensitive to - v 2/ε: dependence on system size & shear viscosity -photon spectra -HBT radii … …
System size dependence of shear viscous effects Song & Heinz PRC 08 -larger shear viscous suppression of elliptic flow in smaller systems
System size dependence of shear viscous effects Song & Heinz PRC 08 -larger shear viscous suppression of elliptic flow in smaller systems -the slope of the multiplicity scaling of v 2/ε is sensitive to the value of shear viscosity
System size dependence of shear viscous effects Song & Heinz PRC 08 -larger shear viscous suppression of elliptic flow in smaller systems -the slope of the multiplicity scaling of v 2/ε is sensitive to the value of shear viscosity
System size dependence of shear viscous effects Song & Heinz PRC 08 -larger shear viscous suppression of elliptic flow in smaller systems -the slope of the multiplicity scaling of v 2/ε is sensitive to the value of shear viscosity
Multiplicity scaling of v 2/ε Song & Heinz PRC 08 -the slope of the multiplicity scaling of v 2/ε is sensitive to the value of shear viscosity -to reproduce the experimental data (slope), a constant is not enough!
Multiplicity scaling of v 2/ε Song & Heinz PRC 08 -the slope of the multiplicity scaling of v 2/ε is sensitive to the value of shear viscosity -to reproduce the experimental data (slope), a constant -data indicate: smaller viscous effects in QGP; is not enough! larger viscous effects in HRG -need viscous hydro + hadron cascade hybrid approach or inputting
other observables that are sensitive to - v 2/ε: dependence on system size & shear viscosity -photon spectra -HBT radii … …
EM probes: Photons Photon spectra Pion spectra K. Dusling, 0903 -Viscous hardening of PT-spectra is stronger for photons than hadrons -However, earlier thermalization also leads to harder photon spectra (Dusling 0903) -Photon spectra MAY HELP to constrain the 2 -d range of QGP viscosity & thermalization time, together with other observables (V 2 …)
other observables that are sensitive to - v 2/ε: dependence on system size & shear viscosity -photon spectra -HBT radii … …
HBT radii S. Pratt QM 09 without viscosity with viscosity - is sensitive to the QGP viscosity - However, viscosity is only one of the many ingredients that affect HBT radii (Pratt QM 09) - HBT HELPS to constrain the QGP viscosity, together with other observables (V 2 …)
Recent theroetical developments in viscous hydrodynamics - PT-dependent of viscous modification of the particle distributions Talk by D. Teaney and D. Molnar - in multi-component systems - 3 rd order viscous hydrodynamics - 3+1 -d viscous hydro: Talk by G. Denicol Talk by A. El Several groups are working on it (MSU, Frankfurt, Krakow, etc)
A short summary - is sensitive to A first attempt to constrain from RHIC data indicates BUT: to extract QGP viscosity, one must consider (at least) all the following aspects: - a realistic EOS: - initial conditions: - bulk viscosity: - hadronic stage : EOS L vs. SM-EOS Q, PCE vs. CE CGC vs. Glauber initialization, optical vs. fluctuations uncertainties from bulk viscosity viscous hydro+ hadron cascade …… ……
Thank You
EOS
Qualitative effects of & on V 2 Song & Heinz, 0909 Elliptical flow v 2 ideal hydro viscous hydro (shear only) Change the flow profile during hydro evolution Flow + spectra correc. Spectra correc. : viscous hydro (bulk only) (with only flow correction here) A. Monnai talk : spectra correc. for bulk viscosity -v 2 is sensitive to viscosity, especially shear viscosity
EM probes: Photons Photon spectra K. Dusling, 0903 -Photon spectra are more sensitive to QGP shear viscosity than hadrons -Photon spectra are also sensitive to hydro starting time -Photon spectra may HELP to constrain QGP shear viscosity and hydro starting time -More sophisticated theoretical modeling in the future: including photon emitted from hadronic stage with modified photon emission rate, etc ; better experimental data
S. Pratt QM 09 -To describe the experimental data, one need to consider the contribution from all kinds of aspects besides shear viscosity
the effects from different initializations -Heinz, Moreland Song
the effects from different initializations -Heinz, Moreland Song
Glauber CGC
Glauber CGC


