микроэкономика 26-33.pptx
- Количество слайдов: 29
Производственная функция, линия равного выпуска и предельная норма технического замещения производственных факторов(26 вопрос) Производственная функция характеризует техническую зависимость между количеством применяемых ресурсов и объемом выпускаемой продукции в единицу времени. Свойства производственной функции: 1. Факторы производства являются взаимодополняющими 2. Существует взаимозаменяемость факторов Производственная функция может быть измерена двумя группами показателей эффективности: 1. Показатели эффективности всех ресурсов 2. Показатели эффективности каждого отдельного ресурса Общий вид производственной функции: Q=f (K, L, M, T, N), где Q- объем выпуска; K - капитал (оборудование); L - труд; M - сырье, материалы; T - технология N - предпринимательские способности Двухфакторная модель производственной функции Кобба-Дугласа, с помощью которой раскрывается взаимосвязь труда(L) и капитала(K) Q=AK α×Lβ
Изокванта (линия равного выпуска) Представляет собой множество различных сочетаний объемов труда и капитала, при которых достигается один и тот же объем выпуска Положительный наклон изокванты означает, что увеличение применения одного фактора потребует увеличения применения другого фактора, чтобы не сократить выпуск продукции. Отрицательный наклон изокванты показывает, что сокращение одного фактора всегда будет вызывать увеличение другого фактора. Чем дальше от начала координат расположена изокванта, тем большим объемом выпуска она представляет.
Типы производственных функций двух ресурсов: 1. Совершенная заменяемость ресурсов 2. Непрерывная, но не совершенная замещаемость ресурсов в определенных границах
3. Жесткая дополняемость ресурсов (производственная функция Леонтьева)
Анализ производственной функции: общий, средний и предельный продукты и закономерности их изменения. (27 вопрос) Общий продукт(ТР)-это общее кол-во произведенного продукта, которое изменяется по мере увеличения использования переменного фактора Средний продукт(АР)-это отношение общего продукта к кол-ву использованного в производстве переменного фактора: Предельный продукт(МР)-это прирост общего продукта, полученный в результате увеличения использования переменного фактора производства на единицу: Предельная производительность труда(MPL)-это прирост объема производства от каждой последующей единицы труда
а) Кривая общего продукта ТР, который изменяется в зависимости от величины переменного фактора Х В- точка перегиба С- точка, которая принадлежит касательной, совпадающей с линией соединяющей данную точку с началом координат D- точка максимального значения ТР Основные характеристики производства, которые могут быть получены на основе анализа производственной функции: 1. Кривая совокупного (общего) продукта 2. Кривая среднего продукта 3. Кривая предельного продукта Производство в рамках короткого периода можно подразделить на три основные стадии: 1. От начала производства до достижения средним продуктом максимальной величины 2. От момента максимального значения среднего продукта до момента, когда предельный продукт становится равным нулю 3. Период, когда предельный продукт имеет отрицательные значения
Классификация издержек производства. Структура Бухгалтерских издержек. Альтернативные издержки. (28 вопрос) Издержки - денежное выражение затрат, необходимых для осуществления предприятием своей производственной и реализационной деятельности. В практике российских предприятий и в статистике используется понятие "себестоимость", под которым понимается денежное выражение текущих издержек производства и реализации продукции. В состав затрат, включаемых в себестоимость, включаются расходы на материалы, накладные расходы, заработная плата, амортизация и т. д. Различают следующие виды себестоимости: 1. Базисная (себестоимость прошлого периода) 2. Индивидуальная (сумма затрат на изготовление конкретного вида изделий) 3. Перевозок (затраты на транспортировку грузов) 4. Реализованной продукции, текущая (оценка реализованной продукции по восстановленной себестоимости) 5. Технологическая (сумма затрат на организацию технологического процесса изготовления продукции и оказания услуг) 6. Фактическая (на основе данных фактических затрат по всем статьям себестоимости за данный период)
Производственные издержки - это издержки, непосредственно связанные с производством товаров и услуг. Издержки обращения - это издержки, связанные с реализацией произведенной продукции. Они подразделяются на: - Дополнительные издержки обращения - Чистые издержки обращения Первые включают в себя расходы на доведение произведенной продукции до непосредственного потребителя, увеличивающие конечную стоимость товара. Вторые - расходы, связанные со сменой формы стоимости в процессе куплипродажи, превращением ее из товарной в денежную, не образующие новой стоимости и вычитаемые из стоимости товара. Индивидуальные издержки производства, представляющие собой затраты конкретного хозяйствующего субъекта. Затраты, понесенные на производство определенного объема какой-то продукции, с очки зрения всей национальной экономики есть общественные издержки.
Экономические издержки - это те расходы, которые фирма обязана сделать, чтобы отвлечь эти ресурсы от использования в альтернативных производствах. Они делятся на явные и неявные издержки. Явные издержки - это стоимость услуг и факторов производства, которые используются в производственном процессе фирмы и являются покупными. Они полностью отражаются в бухгалтерском учете предприятия. Поэтому их еще называют бухгалтерскими издержками. Они представляют собой реально произведенные платежи внешним поставщикам или условно начисленные расходы (например, амортизация), иначе именуемые внешними затратами. Неявные (внутренние) издержки - это альтернативные издержки, связанные с использованием ресурсов, принадлежащих самой фирме, т. е. издержки, не оплачиваемые ею. Это затраты ресурсов, принадлежащих предпринимателю, не внесенные в бухгалтерскую отчетность и не ставшие явными затратами. Внутренние издержки - это сумма денежных средств, которые нужно было бы платить если бы эти ресурсы приобретались у других производителей.
Неявные (вмененные) издержки - это альтернативные издержки упущенной выгоды или издержки альтернативных возможностей. Величина издержек упущенной выгоды связана с полезностью наиболее ценной из альтернатив, которая оказалась нереализованной. Альтернативные (вмененные) издержки производства, или издержки упущенных возможностей - это издержки производства или стоимость одного товара, выраженная в количестве другого товара, от производства которого приходится отказаться, чтобы произвести дополнительную единицу данного товара Структура бухгалтерских издержек. По калькуляционным статьям основные элементы бухгалтерских издержек включают следующие статьи расходов: 1. Материальные затраты 2. Затраты на оплату труда 3. Отчисления на социальные нужды 4. Амортизация 5. Прочие затраты (комиссионные платежи банку за кассовое и банковское обслуживание; проценты за кредит, арендные платежи; оплата работ и услуг, оказываемых другими фирмами) 6. Налоги и сборы, включаемые в издержки производства в соответствии с законодательством
Классификация издержек производства может быть осуществлена с учетом мобильности факторов производства. Постоянные издержки(FC)-издержки, величина которых в коротком периоде не изменяется в зависимости от изменения объема производства. Переменные издержки(VC)-издержки, величина которых изменяется в зависимости от изменения объема производства. Если продукция не производится, то они равны нулю. Предельные издержки(МС)-это издержки, связанные с выпуском дополнительной единицы продукции.
Производственные периоды: мгновенный, краткосрочный, долгосрочный. Закон убывающей отдачи в краткосрочном периоде. (29 вопрос) Мгновенный период производства Это период производства во время которого неизменны все факторы производства. Короткий период времени после изменения спроса, при котором все факторы производства рассматриваются как постоянные, а объем производства не может быть изменен. В мгновенном периоде производители никак не могут повлиять на объем предложения в сторону увеличения, поэтому кривая предложения имеет фактически вертикальную форму - при любом росте цены объем предложения будет прежним. Краткосрочный период производства Это понятие было введено Альфредом Маршаллом. Период, в котором неценовые факторы предложения считаются постоянными, но объем производства может изменяться. Кривая предложения неизменна , и поэтому новая точка равновесия будет находиться на пересечении исходной кривой предложения и новой кривой спроса.
Долгосрочный период производства Это понятие было введено Альфредом Маршаллом. Длительный промежуток времени, в течении которого можно варьировать все факторы производства, но которого недостаточно для замены используемого технологического процесса. Закон убывающей отдачи Действует в краткосрочном временном интервале, когда один производственный фактор остается неизменным: Q=f(x, y), где у-const, x - величина переменного фактора. Закон: начиная с определенного момента, последовательное присоединение единиц переменного ресурса к неизменному, фиксированному ресурсу дает уменьшающийся добавочный, или предельный продукт, в расчете на каждую последующую единицу переменного ресурса.
На втором рис. хорошо видны три фазы: 2. Темп возвышения замедляется 3. Отдача снижается 1. Общий объем производства повышается 2. Темп возвышения замедляется 3. Отдача снижается
Постоянные, переменные, общие, средние, предельные издержки. Их взаимозависимое графическое изображение. (30 вопрос) Издержки производства делятся на несколько групп: Постоянные издержки (FC) - это издержки, не зависящие в краткосрочном периоде от того, сколько фирма производит продукции. Имеются и при нулевом выпуске продукции (поэтому они никогда не равны нулю). Постоянные затраты имеют вид горизонтальной прямой, так как не связаны с выпущенной продукцией.
Переменные издержки (VC) - это затраты производителя, которые в краткосрочном периоде меняются в зависимости от изменения величины объема производства. Если продукция не производится, то они равны нулю. Общие издержки(ТС)- совокупные издержки фирмы, равные сумме ее постоянных и переменных издержек, определяются по формуле: ТС=FC+VC
Общие издержки увеличиваются по мере увеличения объема производства Средние издержки(АС)-издержки в расчете на единицу продукции Средние постоянные издержки(AFC)-постоянные затраты на производство единицы выпуска: AFC=FC/Q Средние переменные издержки(AVC): AVC=VC/Q
Средние(общие) издержки(ATC)-это общие издержки производства на единицу продукции. Они определяются двумя способами: 1. Путем деления суммы общих издержек на кол-во произведенной продукции: ATC=TC/Q 2. Путем суммирования средних постоянных издержек и средних переменных издержек: ATC=AFC+AVC Предельные издержки(MC)- это издержки, связанные с выпуском дополнительной единицы продукции. Их можно рассчитать по формуле: Взаимосвязь между производительностью и издержками Производительность труда и издержки на производство находятся в обратно пропорциональной зависимости: пока предельная производительность растет, предельные издержки падают; снижение предельной выработки ведет к росту издержек. При принятых условиях кривая предельного продукта МР и кривая предельных издержек МС имеют зеркальное отражение между собой
Отдача от масштаба производства в долгосрочном периоде (31 вопрос) Долгосрочный период - это период времени достаточно продолжительный, чтобы изменить количество всех занятых ресурсов, включая и производственные мощности. В долгосрочном периоде не существует постоянных издержек, а средние предельные издержки равны средним общим издержкам. Поэтому в долгосрочном периоде используется только одно понятие - средние издержки. Затраты в долгосрочном периоде когда все факторы являются переменными характеризует кривая средних издержек LATC.
Эффект масштаба - зависимость издержек от роста масштабов производства Положительный эффект масштаба - когда объем выпуска продукции увеличивается в большей степени, чем затраты ресурсов Экономия, обусловленная расширением масштабов производства, вызвана тем, что: - По мере роста размеров предприятия увеличиваются возможности использования преимуществ специализации в производстве и управлении - На более крупных предприятиях может применяться высокопроизводительное и дорогостоящее оборудование - Больше возможностей для диверсификации деятельности, развития побочных производств, выпуска продукции на базе отходов основного производства
Постоянный эффект масштаба - когда объем выпуска продукции увеличивается в той же пропорции, что и затраты ресурсов Отрицательный эффект масштаба - происходит тогда, когда долгосрочные средние общие затраты растут по мере увеличения объема выпуска Убывающая отдача от масштаба - это ситуация, при которой сбалансированный рост объема всех факторов производства приводит ко все меньшему росту объема выпуска продукта. Факторы отрицательного эффекта масштаба: - Сложность управления - Рост транспортных расходов - Трудности контроля за реализацией решения руководства фирмы - Рост затрат на передачу и обработк информации необходимой для принятия решений - Возможность возникновения локальных интересов противоречащих интересам фирмы в целом Эффекты масштаба иллюстрируются различными участками кривой LATC
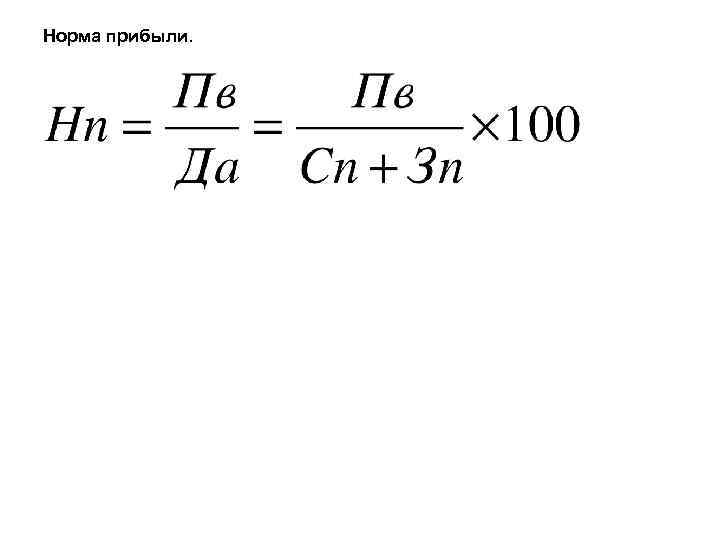
Прибыль и ее виды. Норма прибыли. (32 вопрос) Минимизация издержек - первое условие равновесия производителя. Второе - максимизация прибыли. Прибыль - превышение в денежном выражении доходов от продажи товаров и услуг над затратами на производство и сбыт этих товаров и услуг. Существуеют факторы, которые влияют на величину прибыли: - внешние - внутренние К внешним факторам относятся: 1. Политическая стабильность 2. Состояние экономики 3. Демографическая ситуация 4. Конъюнктура рынка, в том числе рынка потребительских товаров 5. Темпы инфляции 6. Ставка процента на кредит К внутренним факторам относятся: 1. Объем валового дохода 2. Производительность труда работников 3. Скорость оборачиваемости товаров 4. Наличие собственных оборотных средств 5. Эффективность использования основных фондов
Прибыль делится на экономическую и бухгалтерскую. БУХГАЛТЕРСКАЯ ПРИБЫЛЬ=ОБЩАЯ ВЫРУЧКА - внешние издержки ЭКОНОМИЧЕСКАЯ ПРИБЫЛЬ=ОБЩАЯ ВЫРУЧКА- экономические издержки на все ресурсы Пять этапов прибыли: 1. Валовая прибыль 2. Прибыль от продаж 3. Прибыль до налогообложения 4. Прибыль от обычной деятельности 5. Чистая прибыль Пвал=ВР-С где ВР- выручка от реализации С- себестоимостью проданных товаров, продукции, работ и услуг Прибыль(убыток) от продаж представляет собой валовую прибыль за вычетом управленческих и коммерческих расходов Ппр=Пвал-Ру-Рк где Ру- расходы на управление Рк-коммерческие расходы
Прибыль(убыток) до налогообложения - это прибыль от продаж с учетом прочих доходов и расходов, которые подразделяются на операционные и внереализационные: Пдно=Ппр+-Содр+-Свдр где Содр - операционные доходы и расходы Свдр - внереализационные доходы и расходы Прибыль(убыток) от обычной деятельности может быть получена: Под=Пдно-Н где Н- сумма налогов Чистая прибыль - это прибыль от обычной деятельности с учетом чрезвычайных доходов и расходов. Пч=Под+-Чдр где Чдр - чрезвычайные доходы и расходы По характеру инфляционной очистки прибыли различают номинальную и реальную прибыль скорректированную на темп инфляции в отчетном периоде.
Норма прибыли.
Характеристика совершенной конкуренции. Точки равновесия, безубыточности, закрытия, максимизации прибыли предприятия (вопрос 33) Совершенная конкуренция - вид отраслевого рынка, на котором много фирм продают стандартизированный продукт, и ни одна фирма не имеет достаточно большой доли рынка, чтобы влиять на цену продукта. При совершенной конкуренции доля каждой фирмы в общем выпуске продукции, продаваемой на рынке, должна составлять менее 1 %. Поэтому конкурентные фирмы не могут воздействовать на рыночную цену изменением объема продаж. Кривая такого спроса представляет собой горизонтальную линию:
Точка закрытия Ситуация на рынке может оказаться не благоприятной, а рыночная цена может опуститься настолько низко, что общие средние издержки не будут целиком компенсироваться Средние издержки(АС)-издержки в расчете на единицу произведенной продукции три вида: средние валовые издержки(АС), средние постоянные издержки(AFC), средние переменные издержки (AVC) Правило закрытия. Если цена опускается до уровня, при котором общий доход меньше переменных издержек, а цена меньше средних переменных издержек, то фирма минимизирует свои убытки посредством закрытия. Точка закрытия предприятия - это объем выпуска, при котором оно становится экономически неэффективным, т. е. при котором выручка равна постоянным затратам.
Точка безубыточности-это объем выпуска, при котором прибыль предприятия равна нулю, т. е. объем, при котором выручка равна суммарным затратам. Иногда ее называют также критическим объемом: ниже этого объема производство становится нерентабельным. Обязательное условие расчетов - разделение затрат на переменные и постоянные. График безубыточности - график, показывающий, какой уровень дохода от продаж должен быть достигнут, чтобы полностью покрыть постоянные и переменные издержки. Изображенная на рис. точка безубыточности - это точка пересечения графиков валовой выручки и совокупных затрат.
Максимально прибыльное равновесие в условиях совершенной конкуренции Максимизация прибыли конкурентной фирмой


