Скачать презентацию Производная и её применение Тимофеева Татьяна Юрьевна учитель Скачать презентацию Производная и её применение Тимофеева Татьяна Юрьевна учитель

442d957d1b1d8623eda5f20469ffc9dc.ppt

  • Количество слайдов: 17

Производная и её применение Тимофеева Татьяна Юрьевна учитель математики высшей категории МБОУ «Новоталицкая СШ» Производная и её применение Тимофеева Татьяна Юрьевна учитель математики высшей категории МБОУ «Новоталицкая СШ» 6. 02. 16

Производная Производной функции f в точке x 0 называется число, к которому стремится разностное Производная Производной функции f в точке x 0 называется число, к которому стремится разностное отношение f f(x 0 + x) – f(x 0) — = ——————— x при x 0. Обозначение:

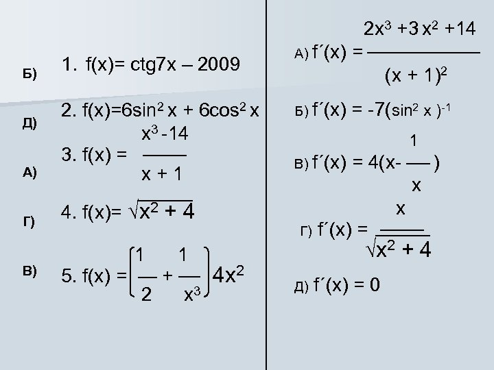
Б) 1. f(x)= ctg 7 х – 2009 А) 2. f(x)=6 sin 2 х Б) 1. f(x)= ctg 7 х – 2009 А) 2. f(x)=6 sin 2 х + 6 cos 2 х x 3 -14 3. f(x) = —— x + 1 Г) 4. f(x)= x 2 + 4 Д) В) 1 1 5. f(x) = — + — 4 x 2 2 x 3 2 x 3 +3 x 2 +14 А) f´(x) = (x + 1)2 Б) f´(x) = -7(sin 2 х )-1 1 В) f´(x) = 4(х- ) х x Г) f´(x) = —— x 2 + 4 Д) f´(x) = 0

Правила вычисления производных 1. Постоянный множитель можно выносить за знак производной; 2. Производная суммы Правила вычисления производных 1. Постоянный множитель можно выносить за знак производной; 2. Производная суммы (разности) двух функций: 3. Производная произведения двух функций:

Правила вычисления производных 4. Производная частного двух функций: 5. Производная сложной функции : Правила вычисления производных 4. Производная частного двух функций: 5. Производная сложной функции :

Правила вычисления производных Пусть тогда , - сложная функция. Если и производные, то производная Правила вычисления производных Пусть тогда , - сложная функция. Если и производные, то производная сложной функции по формуле: имеют вычисляется

 Функция 1 2 3 4 5 6 7 8 9 10 Производная С Функция 1 2 3 4 5 6 7 8 9 10 Производная С (постоянная) 0 x 1 xn nxn-1 1 x 2 x 1 1 x x 2 2 x sin х

На рисунке изображен график производной некоторой функции у = f'(x 0) y 1 O На рисунке изображен график производной некоторой функции у = f'(x 0) y 1 O 1 4 15 7 9 12 19 x

В каких точках производная функции f'(x) = 0? y 1 O 1 4 15 В каких точках производная функции f'(x) = 0? y 1 O 1 4 15 7 9 12 19 x

Назовите точки экстремума y 1 O 1 4 15 7 9 12 19 x Назовите точки экстремума y 1 O 1 4 15 7 9 12 19 x

Назовите точки максимума y 1 O 1 4 15 7 9 12 19 x Назовите точки максимума y 1 O 1 4 15 7 9 12 19 x

Назовите точки минимума y 1 O 1 4 15 7 9 12 19 x Назовите точки минимума y 1 O 1 4 15 7 9 12 19 x

Назовите точки минимума y 1 O 1 4 15 7 9 12 19 x Назовите точки минимума y 1 O 1 4 15 7 9 12 19 x

Найдите промежутки монотонности функции, если изображен график производной Найдите промежутки монотонности функции, если изображен график производной

Задание на дом: 1. Исследовать функцию и построить график 2. Найти наибольшее и наименьшее Задание на дом: 1. Исследовать функцию и построить график 2. Найти наибольшее и наименьшее значения функции у = -х3 + 3 х2 +4 а) на [- 3; 3], б) на (- 3; 3).

3. Творческое задание Указание: отыщите функцию в таблице, исходя из её «автобиографии» . Я 3. Творческое задание Указание: отыщите функцию в таблице, исходя из её «автобиографии» . Я – функция сложная, это известно, Ещё расскажу, если вам интересно, Что точку разрыва и нуль я имею, И есть интервал, где расти не посмею. Во всём остальном положительна, право, И это, конечно, не ради забавы. Для чисел больших я стремлюсь к единице. Найдите меня среди прочих в таблице.