РНЦ КИ, 24.04.09.ppt
- Количество слайдов: 128
ПРОБЛЕМЫ ТЕПЛО- И МАССОБМЕНА ВОДООХЛАЖДАЕМЫХ РЕАКТОРНЫХ УСТАНОВОК СО СВЕРХКРИТИЧЕСКИМИ ПАРАМЕТРАМИ ТЕПЛОНОСИТЕЛЯ Соловьев С. Л. (ЭНИЦ) Семинар ”Физика ядерных реакторов” 24 апреля 2009 г. , Москва, ИЯР, РНЦ КИ
Равновесие фаз (22. 1/647/318) 2
“черный курильщик”-глубина 2600 м (25 МПа), 600 К 3
Свойства воды СКД “DRAMATIC, DRASTIC” 4
Строение молекулы воды 5
ВОДА: свойства и структура 6
Коорд. функции воды и неон, КУ 7
8
9
Конфигурационная теплоемкость 10
11
Активность воды СКД 12
Особенности СКД состояния • Большие времена релаксации • Возможность появления ударной волны разрежения
Зельдович Я. Б. Теория ударных волн и введение в газодинамику, 1946
ВЛИЯНИЕ НЕРАВНОВЕСНОСТИ
Нестационарный т/о при подкритических давлениях (CO 2)
Нестационарный т/о при СКД (SCO 2)
Развитие атомной энергетики – от первого поколения к четвертому 18
Реактор 4 -го поколения (SCWR). Назначение – производство дешевой электроэнергии 19
Назначение 20
21
АЗ: параметры теплоносителя 22
РУ СКД с перегревом 23
КПД АЭС СКД 24
Направления развития РУ СКД • SCWR (SCWR-H, SCWR-F), США, Япония, Корея • HPLWR, Европа • CANDU (SC, NC), Канада • НИКИЭТ, ОКБ ГП, РНЦ КИ, ФЭИ, (AECL) 25
ТВС с водными каналами для выравнивания энерговыделения в АЗ Водный замедлитель твэл Проблема: низкая плотность теплоносителя на выходе из АЗ ТВС Cheng et al. (2003)
Схема движения теплоносителя. Проект Токийского Университета (Y. Oka) 27
HPLWR с 3 -х заходной схемой течения теплоносителя 28
29
РУ ВГРЭС-850 (НИКИЭТ) 30
Схемы РУ СКД, PWR и BWR 31
ТВС SCWR 32
Примеры ТВС для РУ СКД Jamaji et al. (2001) Buongiorno, (2003) Zr. H Joo et al. , (2005) Hofmeister et al. (2005) 33
Нижняя камера смешения теплоносителя HPLWR downcomer reflector walls separating feedwater from superheated steam mixing chamber feedwater 34
Тепловая схема РУ СКД 35
Системы безопасности 36
Достоинства SCWR: • кпд 40 -45%, на 2 -3. 5% больше FPP • уменьшение на порядок расхода теплоносителя: мощность. ГЦН, арматура, трубопроводы, петли • снижение плотности и количества теплоносителя в РУ (одновременно и главный недостаток), уменьшение ЗО 37
Достоинства SCWR(продолжение): • отказ от ПГ, КД, сепараторов, систем рециркуляции, уменьшение кол-ва конденсаторов • отказ от циркониевых сплавовводородная безопасность • опыт LWR &FPP 38
РАЗМЕРЫ КОНТАЙНМЕНТА АЭС РАЗНЫХ ТИПОВ 39
РАЗМЕРЫ КОНТАЙНМЕНТА АЭС 40
Проблемы и задачи (зависят от выбранной концепции РУ). Обсуждались на УС ФЭИ 29. 02. 08 и НТС ОКБ ГП 23. 05. 08 1. Развитие и верификация расчетных кодов 2. Теплообмен и гидродинамика в сборках, влияние дистанционирующих решеток 3. Детальное измерение полей скоростей, PIV и LDV методы. Развитие моделей CFD кодов 4. Критическое истечение (смесь двух жидкостей при разных температурах), PTS 5. Переход из подкритического в критическое состояние. Кризис при снижении давления 41
6. Устойчивость в номинальных и переходных режимах (moderator rev. flow) 7. Естественная циркуляция, время выхода 8. Влияние растворенных газов и примесей, выделение при переходе через Т пс. крит. 9. Теромоакустические колебания 10. Дросселирование на входе 11. Повторный залив (особенно для SCWFR) 12. Критерии приемлемости 13. Работа систем АЗ 42
14. Схема регулирования (мощность - расход) 15. Система автоматического сброса давления 16. Процессы в контейнменте (воздействие струи) 17. Радиолиз, влияние на ВХР 18. Типы аварийных процессов: LOCA, RIA, LOSS of Flow, ATWS, MSIVС и др. 19. Исследование раздутия оболочек при сбросе давления 20. “Конденсация”, температурная стратификация 43
Технологические заделы • Тепловая энергетика, • РУ АМБ с перегревом пара, • Прямоточные, одноконтурные РУ: РБМК, BWR, • Ракетная техника, • Химическая, пищевая промышленность, • Океанология, термальная энергетика. 44
Тепловая энергетика на СКД параметрах теплоносителя 45
ПАРАМЕТРЫ ТЭС 46
Данные Шицмана М. Е. (ТЭ, № 1, 1959) 47
РУ АМБ с перегревом пара (823 К) 48
Проблемы SCWR: • Закон Ленца-”природа сопротивляется”аддитивность (может даже мультипликативность) проблем • проблема экстраполяции знаний (технологий) в неизученную область, например: т/о в FPP и SCWR-разные диаметры, условия обогрева, дистанц. решетки, обратные нейтр. -физ. Связи + ДЭ; ВХР, радиолиз; сечения при температурах больше 400 градусов и т. д. 49
Парадокс распределения усилий • Затраты пропорциональны вероятности события – обычная практика • В атомной энергетике затраты часто обратно пропорциональны вероятности, поэтому нас интересуют, в первую очередь, нестационарные, неравновесные, неизотермические и т. д. режимы теплоомена и методы их анализа 50
Теплогидравлика в РУ СКД: • • • Тепловой режим, Силовые нагрузки, ВХР, включая радиолиз, ВАБ (пассивные системы), Переходные и аварийные режимы, включая ТА, • Устойчивость, • Критерии приемлемости. 51
Свойства воды СКД “DRAMATIC, DRASTIC” 52
Влияние давления на свойства 53
Режимы теплообмена, вода СКД 54
Шицман М. Е. (ТЭ, 1968). Температура стенки vs длина ( в калибрах) 55
Профили скорости и температуры 56
57
Типы корреляций 58
Корреляции vs данные (2858 точек) 59
Таблицы т/о при СКД 60
61
62
63
64
65
66
Петухов Б. С. , Курганов В. А. (ТВТ, 1980, двуокись углерода, воздух до 1. 7%, пересчет т/о !!!) 67
Т/О, толщина стенки-1 мм, диаметр8 мм, AC. 68
Пульсации скорости 69
P-T диаграмма смеси (влияние растворенных газов) 70
Влияние табличных данных на т/о 71
Влияние способа аппроксимации свойств, пример расчета по FLUENT 72
Выбор моделирующей жидкости 73
Равновесие фаз 74
Критическое истечение 75
Пассивный ограничитель течи (гидравлический диод) 76
Расходная характеристика 77
Расположение ОТ 78
РАЗВИТИЕ Т/Г КОДОВ Системные коды Моделирование NSSS Грубая сетка , 1 D (RPV: 2 D/3 D) Уравнения Эйлера 1965 Число рас. ячеек ~10 3 Баланс. уравнения (HEM) BRUCH, FLASH, RELAP 3, …. ~10 3 Две фазы малые паросодержания насыщения) FLOW -3 D, CFX, FLUENT, … 5 Бал. уравнений, дрейф фаз (Неравновесность фаз) - CMFD, две фазы расшир. диапазон паросодерж. 6 Бал. уравненений, 2 -ж. модель 2005 Одна фаза Teach , TEAM, COMMIX, … 4 Баланс. уравнения дрейф фаз ( Неравновесность, 1 ф. на линии ATHLET, APROS CATHARE, RELAP, TRAC, КОРСАР ~10 3 + анализ неопределенностей CFD коды Моделирование компонентов 2 D/3 D тонкая сетка Уравнения Навье-Стокса - (в развитии) ~10 7 Моделирование NSSS с детальным моделированием компонентов 79 3
Неравномерность энерговыделения по высоте АЗ, HPLWR, влияние НФ 80
Уравнения Навье-Стокса (NS). Парадокс долголетия • Короткодействие внутренних сил • Тензорный закон вязкого трения • Малое время релаксации 81
Основные уравнения 1. Непрерывности 2. Движения В форме NS (L. Navier, 1827, G. Stokes, 1845) 82
Рост энтропии, обусловленный диссипативными процессами 83
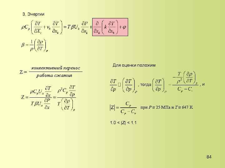
3. Энергии конвективный перенос Z= работа сжатия Для оценки положим , тогда , и при P @ 25 МПа и T @ 647 K 1. 0 < |Z| < 1. 1 84
Процедура RANS 85
CFD анализ (E. Laurien, HPLWR-2, 2007) 86
CFD анализ (E. Laurien, HPLWR-2, 2007), проницаемость стенки? 87
Развитие расчетных кодов. Главная проблемасильная связь между уравнениями сохранения импульса и энергии (даже по сравнению с двухфазными течениями). Что делать в первую очередь? 1. BE: разработка трехзонной (по зависимости плотности от энтальпии) модели для анализа устойчивости в стационарных и переходных режимах, включая пуск. 2. Теплообмен и гидродинамика в сборках, влияние дистанционирующих решеток. Создание карт режимов теплообмена. 88
Карта режимов теплообмена со стенкой F Снарядный Дисперсный Пузырьковый Дисперснокольцевой Fcr 2 Расслоенный Температура стенки Карта режимов течения в горизонтальных трубах Пленочное кипение 6 56 0 Дисперсный режим Tmin 5 Переходное кипение 260 256 Tcr Докризисное кипение 250 2 TS 345 Конвективный теплообмен к жидкости TS - 2 3 340 450 Пленочная конденсация 4 0 Объемное паросодержание 1 89
Проблемы и задачи развития BE: • Переход из подкритического в критическое состояние и обратно, стыковка моделей и свойств(включая вторые производные). IAPWS Formulation 1995 и 1997 - до 5% по температуре. Кризис при снижении давления. • Критическое истечение+Blowdown. Модели и эксперимент. • Эксперименты на ПСБ!!! 90
На интегральных (ПСБ) установках можно: - выполнить исследования большого количества переходных и аварийных режимах - отработать методики пуска, регулирования - исследовать работу систем безопасности - верифицировать коды - исследование неустойчивости 91
Карта устойчивости режимов работы АЭС (мощность-расход) 92
Неустойчивость (IAEA TD-1474) 93
Переход в СКД (1 -4 разные недогревы) 94
Карта устойчивости ЕЦ СКД (R. Duffey, МАГАТЭ TE-1281) 95
Удельный объем vs. энтальпия 96
НТГ неустойчивость 97
Нейтроно-теплогидравлическая неустойчивость 98
Анализ Амброзини (2003) примера Виландера (1967) 99
В. Б. Хабенский, В. А. Герлига. ТАК в трубе: вода, 24 МПа, диаметр 3. 3 мм 100
Продолжение. Зависимость размаха колебаний давления (в МПа) от температуры на входе 101
Данные Ямагаты: вода, d=7. 5 mm, D=16 mm, материал SUS-316 102
Данные Шицмана: вода, ухудшенный т/о 103
Шицман (12/2 мм, котельная) Ямагата (16/9 мм, насос) vs 104
Развитие CFD кодов: 1. Нестационарность, установление равновесного E(k) 2. Модернизация RANS: определение коэффициентов турбулентного переноса. Проницаемость стенки. 3. Детальное измерение полей скоростей и температуры в пристеночной области, PIV и LDV методы (частицы из окислов алюминия). Развитие моделей CFD кодов. Альтернатива-DNS 4. Аккуратная интерполяция свойств в СКД области. 5. Проблема первой (у стенки) расчетной ячейки. 105
Карта топологии межфазной поверхности: STAR-CD BWR 106
CFD расчет ТВС 107
CFD расчет ТВС: мощность задается 108
Расчет ТВС пучковым кодом STAFAS 109
Расчет ТВС кодом FLUENT 110
DNS: расчетная схема (10 E 7 яч. ) 111
Упрощения: нет акустики и диссипации 112
DNS: основные уравнения 113
DNS: формирование М-образного профиля скорости 114
Развитие DNS для кольцевого канала (Re=8900) 115
Влияние геометрии 116
Активность воды СКД 117
Радиолиз и ВХР(декабрь 2006) 118
Подавление кислорода 119
Критическая концентрация водорода существует при СКД? 120
Влияние облучения и СКД на прочность 121
Разрыв образца (облучение+СКД) 122
Реакторы 3 -го поколения, системы безопасности 123
SWR-1000, системы безопасности 124
Конденсатор безопасности (стратификация) 125
Критерии приемлимости 126
Предложения по организации работ: 1. Провести подобие “мозгового штурма”с целью определения приоритетов НИР. Пример: проблема расчета сечений для воды СКД при температурах выше 350 -400 градусов надуманная или нет? 2. Ранжировать знания: на что можно опереться, что следует учесть и что придется развить заново. Использование международного опыта. 3. Аттестация новых методов расчетного анализа, соответсвующих уровню реакторов 4 -го поколения. Разработка методических и 127 регламентирующих документов. НТЦ ЯРБ-пока
СПАСИБО ЗА ТЕРПЕНИЕ!
РНЦ КИ, 24.04.09.ppt