Скачать презентацию Приемники с цепях переменного тока Резистор Мгновенное значение Скачать презентацию Приемники с цепях переменного тока Резистор Мгновенное значение

Приемники с цепях переменного тока.pptx

  • Количество слайдов: 20

Приемники с цепях переменного тока Резистор Мгновенное значение напряжения: Закон Ома для комплексов действующих Приемники с цепях переменного тока Резистор Мгновенное значение напряжения: Закон Ома для комплексов действующих значений:

Приемники с цепях переменного тока Индуктивная катушка Мгновенное значение напряжения: Закон Ома для комплексов Приемники с цепях переменного тока Индуктивная катушка Мгновенное значение напряжения: Закон Ома для комплексов действующих значений:

Приемники с цепях переменного тока Конденсатор Мгновенное значение напряжения: Закон Ома для комплексов действующих Приемники с цепях переменного тока Конденсатор Мгновенное значение напряжения: Закон Ома для комплексов действующих значений:

Основные законы цепей переменного тока Закон Ома Основные законы цепей переменного тока Закон Ома

Основные законы цепей переменного тока Законы Кирхгофа Основные законы цепей переменного тока Законы Кирхгофа

Основные законы цепей переменного тока Законы Кирхгофа Основные законы цепей переменного тока Законы Кирхгофа

Треугольники сопротивлений и мощностей Треугольники сопротивлений и мощностей

Резонанс напряжений - возникает при последовательном соединении катушек и конденсаторов. Условие резонанса: входное реактивное Резонанс напряжений - возникает при последовательном соединении катушек и конденсаторов. Условие резонанса: входное реактивное сопротивление Х равно нулю.

Параллельное соединение Параллельное соединение

Треугольники проводимостей и мощностей Треугольники проводимостей и мощностей

Резонанс токов Резонанс напряжений - возникает при параллельном соединении катушек и конденсаторов. Условие резонанса: Резонанс токов Резонанс напряжений - возникает при параллельном соединении катушек и конденсаторов. Условие резонанса: Входная реактивная проводимость В =0.

Векторные диаграммы Векторные диаграммы

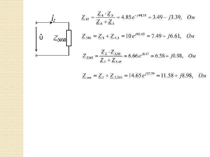
Пример расчета символическим методом: R 1 = 5 Ом; R 2 = 10 Ом; Пример расчета символическим методом: R 1 = 5 Ом; R 2 = 10 Ом; R 3 = 4 Ом; R 4 = 8 Ом; R 5 = 6 Ом; X 1 = 8 Ом; X 2 = 6 Ом; X 3 = 10 Ом; X 4 = 10 Ом; X 5 = 5 Ом; параметры источника: U = 220 B, ψu = 450 Алгоритм: 1. Строим схему замещения. 2. Обозначаем положительные направления токов. 3. Находим полные комплексные сопротивления ветвей схемы замещения. 4. Находим комплекс эквивалентного сопротивления. 5. Находим комплексы токов в ветвях. 6. Находим комплексы напряжений на участках цепи. 7. Находим сопряженные комплексы токов 8. Находим мощности приемников и источника, баланс мощностей. 9. Находим мгновенные значения токов и напряжений 10. Строим векторную диаграмму