Презентация по физике - 1.pptx
- Количество слайдов: 39
Презентация по курсу «Общая физика» и «Физика I, II» . Механика Доцент Курбачёв Ю. Ф.
1. Кинематика 1. 1. Скорость y - элементарное перемещение. = элементарный путь. 1 Скорость – производная радиуса вектора движущийся точки по времени: 2 0 x Рис. 1. 1
При малых ∆t средняя скорость (1. 1) S=S(t) 2 ∆S 1 β при малых ∆t Мгновенная скорость α ∆t Рис. 1. 2 (1. 2) t (1. 3)
1. 2. Путь Тогда S (1. 5) 0 t Рис. 1. 3
1. 3 Ускорение (1. 7) 2 (1. 6) 1 Если β = const, то α ∆t t (1. 8) Рис. 1. 4 (1. 9)
1. 4. Ускорение при криволинейном движении (1. 10) Где единичный вектор (1. 11) 0 Рис. 1. 5 Нормальное ускорение показывает изменение вектора скорости по направлению. Тангенсальное ускорение изменение линейной скорости по величине. (рис. 1. 5). Полное ускорение: (1. 12)
1. 5. Кинематика вращательного движения Угловая скорость есть изменение угла поворота тела за единицу времени - средняя угловая скорость (1. 13) - мгновенная угловая скорость (1. 14) (1. 15) - среднее угловое ускорение Рис. 1. 6 (1. 16) (1. 17) (1. 18) (1. 19)
2. Динамика материальной точки 2. 1 Первый закон Ньютона Всякое тело сохраняет состояние покоя или равномерного прямолинейного движения до тех пор, пока воздействие других тел не выведет его из этого состояния (на практике ΣF=0). Система отсчёта, относительно которой выполняется 1 -й закон Ньютона, называется инерциальной (а если не выполняется, то – неинерциальной). Инерциальная система отсчёта – гелиоцентрическая система отсчёта. Любая система отсчёта, движущаяся равномерно и прямолинейно относительно гелиоцентрической системы, будет инерциальной.
2. Динамика материальной точки 2. 2 Второй закон Ньютона Основное уравнение классической механики. (1. 20) - импульс. (1. 21) Второй закон Ньютона в дифференциальной форме. (1. 22) 2. 3 Третий закон Ньютона Сила действия равна силе противодействия (1. 23)
2. 4 Закон сохранения импульса 1 2 Рис. 1. 7 (1. 24) 2. 5 Принцип относительности Галилея Отсчет времени производится с того момента, когда совпадает с. Найдем связь между координатами систем. 1. Это преобразования Галилея. Рис. 1. 8 Продифференцируем 1. 2. 3. (1. 25) Правило сложения скоростей в классической механике
3. Работа и энергия. 3. 1. Работа на каждом элементарном участке На всем пути A Интегральная формула работы S Рис. 1. 9 (1. 26)
3. 2. Мощность - работа механизма за единицу времени. - средняя мощность (1. 27) Мгновенная мощность. (1. 28) Мощность- скалярное произведение 3. 3. Энергия. и . Энергия – физическая величина, характеризующая способность тела и системы тел совершать работу. 3. 4. Кинетическая энергия. (1. 29) (1. 30) Работа-мера измерения кинетической энергии
3. 5. Потенциальная энергия. 1 dh 2 (1. 31) Рис. 1. 10 (1. 32) 3. 6. Закон сохранения энергии. Внутри замкнутой системы действуют конc. силы. (1. 33) (1. 34)
4. Центральный удар шаров. 4. 1. Абсолютно упругий удар и неупругий удары. а) Абсолютно упругий удар. Рис. 1. 10 Затем вычтем из (1. 36) (1. 39) Отсюда определим (1. 40) Умножая (1. 38) на m 1, имеем
(1. 41) Затем (1. 41) + (1. 36) (1. 42) Если шары движутся на встречу другу, то 0 , тогда 0, а б) Абсолютно неупругий удар. Для численных подсчетов «-» - тела движутся на встречу «+» - тела движутся в одну сторону (1. 43) Пр №№ 2. 89, 2. 90
5. Динамика вращательного движения. 5. 1. Момент силы относительно точки. , где - плечо силы относительно точки 0. , т. к. они коллинеарны. (sinπ=0) ; Рис. 1. 12 т. к. (1. 44) , то Момент суммы сил, имеющих общую точку приложения, равен сумме мом. слагаемых сил. (1. 45)
5. 2. Момент силы относительно оси. Рис. 1. 13(б) Вектор , следовательно Отсюда Рис. 1. 13(а) т. к. , то (1. 46) 5. 3. Момент инерции. Физическая величина , равная сумме произведений масс материальных точек на квадраты их расстояний от оси Z, называются моментом инерции системы относительно оси Z. (1. 47)
5. 4. Теорема Штейнера. Момент инерции J относительно произвольной оси равен сумме момента инерции Jc относительно оси, параллельной данной и проходящей через центр инерции* тела, и произведения массы тела m на квадрат расстояния a между осями. (1. 48) *Назовем центром инерции системы точку, положение которой в пространстве задается радиусом-вектором. Декартовы координаты центра инерции равны проекциям на координатные оси:
5. 5. Момент инерции некоторых тел. а) Для цилиндра и диска относительно совпадения с геометрической осью (1. 49) Рис. 1. 14 б) Для полого толстостенного цилиндра относительно геометрической оси (1. 50) Рис. 1. 15
в) Для шара относительно оси, проходящей через центр (1. 51) Рис. 1. 16 г) Для материальной точки (1. 52) д) Для тонкого стержня относительно оси, проходящей через середину стержня и перпендикулярной ему. (1. 53) Рис. 1. 17 Если ось проходит через конец стержня, то по теореме Штейнера: (1. 54)
5. 6. Основной закон динамики вращательного движения. Рис. 1. 19 Для всего абсолютно твердого тела (1. 55)
5. 7. Момент импульса. Закон сохранения момента импульса. а) Для материальной точки. (1. 56) (1. 57) б) Для твердого тела. (1. 58) (1. 59) в) Для замкнутой системы тел ( ) суммарный момент импульса постоянен. (1. 60)
5. 8. Кинетическая энергия вращения твердого тела. Рис. 1. 20 (1. 61)
5. 9. Работа внешних сил при вращении твердого тела. , но Рис 1. 20(а)
5. 10. Кинетическая энергия тела при плоских движениях. Кинетическая энергия i-ой элем. массы равна (1. 62)
6. Колебательное движение 6. 1 Гармонические колебания. Колебания, происходящие по закону синуса или косинуса, называются гармоническими. Рассмотрим пружинный маятник (рис. 1. 21(а)) Из 2 -го закона Ньютона: , то (1. 63) Рис. 1. 21(а) Рис. 1. 22 Общее решение уравнения имеет вид (1. 64) Следовательно, движение системы под действием - гармоническое колебание. А - амплитуда колебаний; - фаза колебаний (1. 65) - начальная фаза колебаний t =0, - начальное смещение;
Рассмотрим математический маятник (рис. 1. 21(б)) В то же время, l mg Рис. 1. 21(б) , тогда
Число колебаний в единицу времени называется частотой колебания - собственная циклическая частота. - число колебаний за (Гц): секунд. (1. 66) (1. 67) опережает на. и находятся в противофазе.
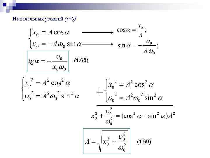
Из начальных условий (t=0) (1. 68) (1. 69)
6. 2. Энергия гармонического колебания. (1. 70) (1. 71) (1. 72)
6. 3 Сложение колебаний одинакового направления. Колебания изображаются графически в виде векторов на плоскости. (1. 73) Рис. 1. 22 (1. 74) (1. 75) 1) Если Рис. 1. 23 , то 2) Если , то
6. 4. Сложение взаимноперпендикулярных колебаний. Частоты определяются первого колебания: второго колебания: Рис. 1. 24 а) одинаковая частота (1. 76) 1) 2) 3)
б) Разные частоты Кривая лиссажу Рис. 1. 25 Рис. 1. 26 Рис. 1. 27
6. 5. Затухающие колебания и Решение уравнения (1) будем искать в виде Продифференцируем (2) по t и найдем и
(1. 78) (1. 77) Рис. 1. 28 или (1. 79)
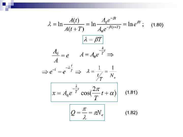
(1. 80) (1. 81) (1. 82)
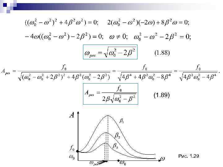
6. 6. Вынужденные колебания.
(1. 89) Рис. 1. 29
7. Волны. или Рис. 1. 30 7. 1. Уравнение плоской и сферической волн. Уравнением волны называется выражение, которое выражает смещение, колеблющийся точки, как функцию. Тогда (1. 90) Рис. 1. 31
Презентация по физике - 1.pptx