6559cbedef5b6c98475ec31a7f96c1e8.ppt
- Количество слайдов: 33
Presenting Numerical Values from an Investigation Version 080104
Outline • Uncertainty • Propagation of Uncertainty • Least Squares Fit to Lines
Online References • www. av 8 n. com/physics/uncertainty. htm • mathworld. wolfram. com/Least. Squares. Fitting. html • www. physics. csulb. edu/151 lab/exp 4/lsf. html
Which is the best measurement? Which measurement is consistent with the previously published result? • 6. 63 E-34 Js • 6. 7 E-34 Js • 6. 623 E-34 Js
Which is the best measurement? Which measurement is consistent with the previously published result? • 6. 613 ± 0. 003 E-34 Js • 6. 7 ± 0. 2 E-34 Js • 6. 622± 0. 001 E-34 Js
UNCERTAINTY
Uncertainty CJ’s bad karma Best Power Supply money can buy 30 yr old piece of precision equipment Voltage stabilization circuit built by Floyd Vibrations from Levi Center construction Best measurements that can be performed
# of Occurances Cumulative Set of Measurements by Lab Unit #1
# of Occurances Cumulative Set of Measurements by Lab Unit #2 should report center and width of distribution
45± 1 45± 2 may look like numbers, but they’re not. It’s a way to specify a probability distribution
Relative Uncertainty An experiment measures the value of the fundamental charge to be: (1. 84 ± 0. 09) x 10 -19 Coulombs or 1. 14 ± 0. 06 e
Significant Figures
Sig Figs are for Losers “Non-experts tend to talk about ‘significant digits’, but this approach is heavily flawed. Professionals general prefer to speak in terms of quantifying the uncertainty. ”
Why Sig Fig approach is bad An experiment measures the value of the fundamental charge to be: 1. 149 1. 1 e 1. 050 10% rel unc. is implied Sig Fig approach: 1) misrepresents the true uncertainty (actually the uncertainty is not specified) 2) throws away information 3) can produce erroneous results (see linear fits) Physicists present a ‘reasonable number’ of digits in published work, but many more digits in calculations.
Example Calculational tools for an investigation return the result: 1. 64578359 ± 0. 05385672 meters Q: In a professional paper this should be presented as (? ): 1. 6458 ± 0. 0539 meters 1. 646 ± 0. 054 meters 1. 65 ± 0. 05 meters 1. 6 ± 0. 1 meters
Notation • 1. 646 ± 0. 054 meters • 1. 646 (54) meters • 1. 646 ± 3% meters preferred for written work preferred for conversation
• If you have something worth saying, don’t say it in terms of sig figs.
Types of Uncertainty • Statistical • Systematic
What is the “Correct” Answer? • “In classroom settings, people often get the idea that the goal is to report an uncertainty that reflects the difference between the measured value and the ‘correct’ value. ” • “That idea certainly doesn’t work in real life – if you knew the ‘correct’ value you wouldn’t need to make measurements. ”
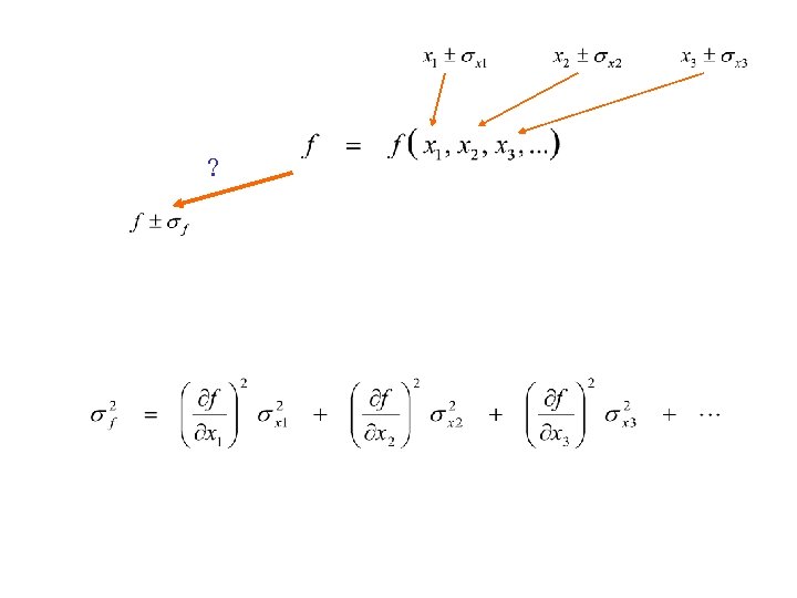
PROPAGATION OF UNCERTAINTY
?
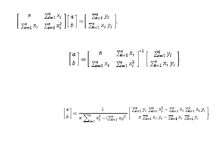
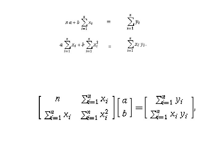
LEAST SQUARES FITTING Figures and equations from: mathworld. wolfram. com/Least. Squares. Fitting. html
y = a 0 + a 1 x + a 2 x 2 + … The Excel “trendline” function isn’t good enough. One must always present uncertainties to be a member of the physics community. Use “trendline” to draw the graph. Use “linest” to get the parameters and their corresponding uncertainities.
Two possible ways to select the best line:
Minimize square-deviation wrt choice of coefficients assume linear fn
intercept a= slope b=
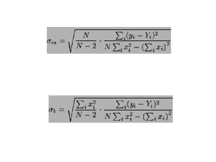
Using the Excel function LINEST Slope = INDEX(LINEST(y-values, x-values, TRUE), 1, 1) Uncertainty in Slope = INDEX(LINEST(y-values, x-values, TRUE), 2, 1) Intercept = INDEX(LINEST(y-values, x-values, TRUE), 1, 2) Uncertainty in Intercept = INDEX(LINEST(y-values, x-values, TRUE), 2, 2)


