Представление вторичного квантования (фермионы) Есть




















Матрица плотности.ppt
- Количество слайдов: 20
Представление вторичного квантования (фермионы)
Есть система тождественных фермионов - Гамильтониан системы невзаимодействующих фермионов - Гамильтониан одного электрона во внешних силовых полях (одноэл. Г. ) - Гамильтониан взаимодействия между фермионами Представление вторичного квантования – представление по базису из волновых функций стационарных состояний невзаимодействующей системы
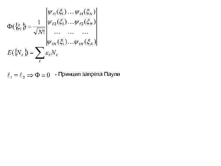
Стационарные состояния системы невзаимодействующих тождественных фермионов 1) Находим одночастичные стационарные состояния (уровни энергии и волновые функции стационарных состояний одной отдельно взятой частицы, рассмотренной в тех же силовых полях, что и весь газ) 2) В стационарном состоянии всей системы в целом каждая из частиц находится в одном из одночастичных стационарных состояний. Поэтому стационарное состояние всего газа в целом однозначным образом задается указанием чисел заполнения всех одночастичных стационарных состояний. 3) Для ферми-газа справедлив принцип запрета Паули, согласно которому в одном одночастичном стационарном состоянии не может находится более одного фермиона. Поэтому число заполнения одночастичного стационарного состояния может принимать только два значения или 0, или 1.
- Принцип запрета Паули
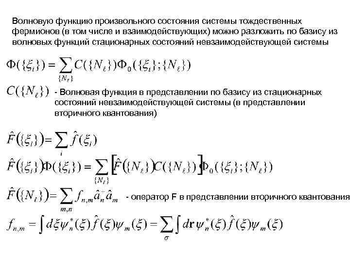
Волновую функцию произвольного состояния системы тождественных фермионов (в том числе и взаимодействующих) можно разложить по базису из волновых функций стационарных состояний невзаимодействующей системы - Волновая функция в представлении по базису из стационарных состояний невзаимодействующей системы (в представлении вторичного квантования) - оператор F в представлении вторичного квантования
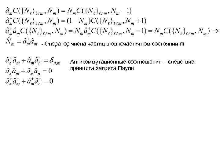
- Оператор числа частиц в одночастичном состоянии m Антикоммутационные соотношения – следствие принципа запрета Паули
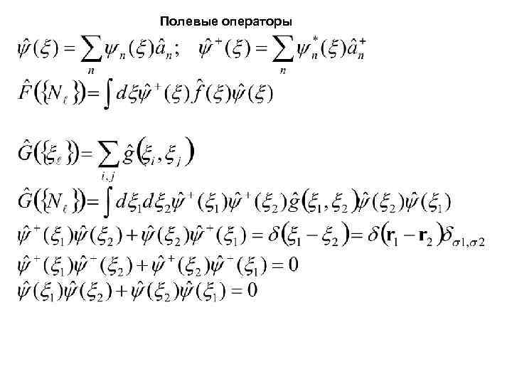
Полевые операторы
Одноэлектронная матрица плотности
Если система взаимодействует с окружающей средой, то ее нельзя описать собственной волновой функцией, зависящей только от ее координат. Используется более общий аппарат квантовой механики – теория матрицы плотности Постулат фон Неймана. Можно ввести эрмитовый оператор ρ (оператор плотности), который действует только на координаты изучаемой макроскопической системы и содержит в себе всю информацию об окружающей среде, существенную для описания макроскопического состояния изучаемой системы. Статистическое среднее физической величины системы -Вычисляется по базису из волновых функций нашей системы (в пренебрежении ее взаимодействия с окружающей средой) - Шпур не зависит от порядка следования операторов Шпур не зависит от выбора базиса => статистическое среднее можно вычислять по любому базисному набору волновых функций изучаемой системы (выбор базиса – вопрос удобства)
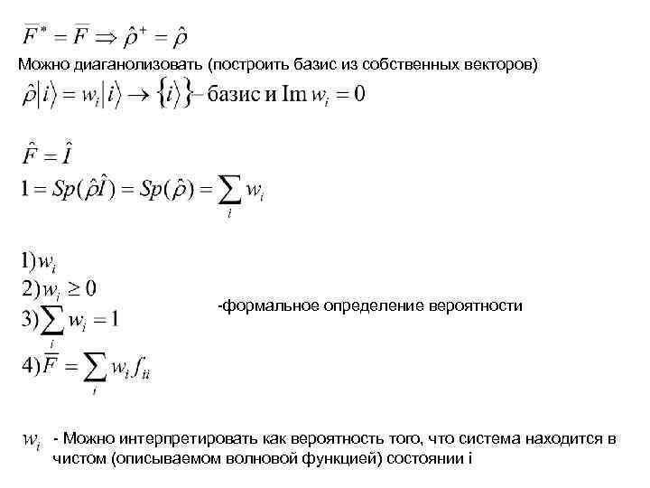
Можно диаганолизовать (построить базис из собственных векторов) -формальное определение вероятности - Можно интерпретировать как вероятность того, что система находится в чистом (описываемом волновой функцией) состоянии i
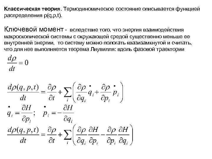
Классическая теория. Термодиномическое состояние описывается функцией распределения ρ(q, p, t). Ключевой момент - вследствие того, что энергия взаимодействия макроскопической системы с окружающей средой существенно меньше ее внутренней энергии, то систему можно пологать квазизамкнутой и считать, что для нее выполняется теорема Лиувилля: вдоль фазовой траектории
- Классическое уравнение Лиувилля - Скобка Пуассона В равновесии функция распределения явно зависит только от функции Гамильтона системы (координаты и импульсы входя в ρ только в виде определенной комбинации – функции Гамильтона) - Каноническое распределение (фикс. Число частиц) - стат. интеграл - Термодинамический потенциал (свободная энергия Гельмгольца) - Большое каноническое распределение (переменное число частиц) - большой статистический интеграл - большой термодинамический потенциал
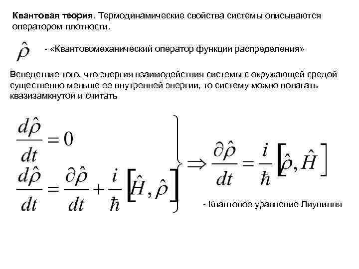
Квантовая теория. Термодинамические свойства системы описываются оператором плотности. - «Квантовомеханический оператор функции распределения» Вследствие того, что энергия взаимодействия системы с окружающей средой существенно меньше ее внутренней энергии, то систему можно полагать квазизамкнутой и считать - Квантовое уравнение Лиувилля
- Классическое уравнение Лиувилля Гамильтониан и оператор плотности имеют общий базис В оператор плотности явно зависит только от оператора Гамильтона - Каноническое распределение (фикс. Число частиц) - стат. сумма - Термодинамический потенциал (свободная энергия Гельмгольца) - Большое каноническое распределение (переменное число частиц) - большой статистический интеграл - большой термодинамический потенциал
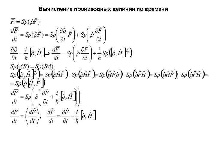
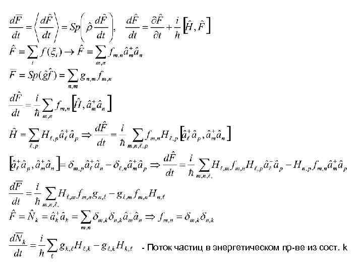
Вычисление производных величин по времени
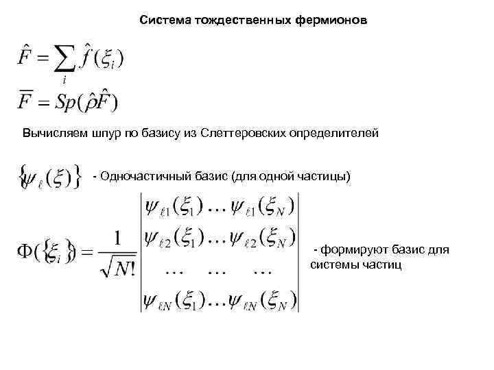
Система тождественных фермионов Вычисляем шпур по базису из Слеттеровских определителей - Одночастичный базис (для одной частицы) - формируют базис для системы частиц
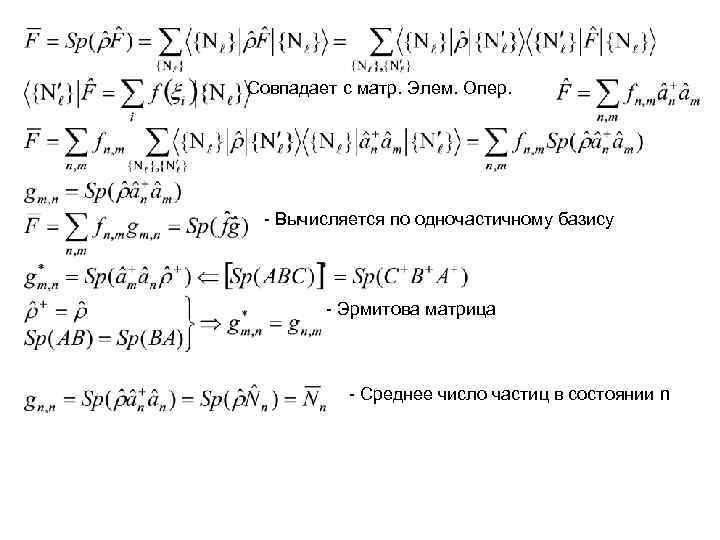
Совпадает с матр. Элем. Опер. - Вычисляется по одночастичному базису - Эрмитова матрица - Среднее число частиц в состоянии n
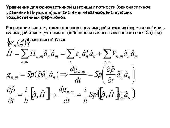
Уравнение для одночастичной матрицы плотности (одночастичное уравнение Лиувилля) для системы невзаимодействующих тождественных фермионов Рассмотрим систему тождественных невзаимодействующих фермионов ( или с взаимодействием, учтеным в приближении самосогласованного поля Хартри). - одночастичный базис
- Одночастичное уравнение Лиувилля
- Поток частиц в энергетическом пр-ве из сост. k

