КОЛЕБАНИЯ И ВОЛНЫ.ppt
- Количество слайдов: 38
Практическое занятие
КОЛЕБАНИЯ И ВОЛНЫ
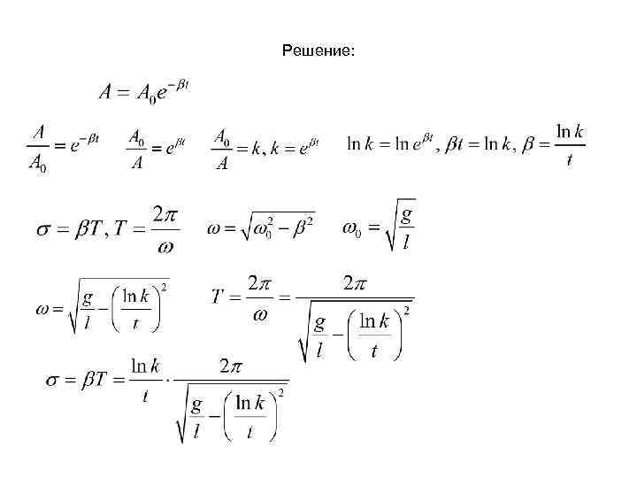
Задача № 1 Амплитуда колебаний математического маятника длиной 0, 7 м за 180 с уменьшается в k раз. Логарифмический декремент затухания колебаний маятника равен 0, 005. Определить k.
Решение:
ОПТИЧЕСКИЕ ЯВЛЕНИЯ
Кольца Ньютона в отраженном свете наблюдаются с помощью плосковыпуклой линзы с радиусом кривизны 1, 1 м, положенной на вогнутую сферическую поверхность с радиусом кривизны 3, 2 м. Длина волны света равна 0, 55 мкм. Определить радиус 5 темного кольца.
Решение:
Две плосковыпуклые линзы с радиусами кривизны 1, 9 м и сложены выпуклыми поверхностями. Радиус 5 светлого интерференционного кольца, наблюдаемого в отраженном свете, равен 1, 8 мм для длины воны 0, 63 мкм. Определить радиус
Решение:
ОБОСНОВАНИЕ ИДЕЙ КВАНТОВОЙ ФИЗИКИ
Энергия, излучаемая через смотровое окошко печи за 15 с, равна 450 Дж. Площадь окошка равна 6, 5 кв. см. , максимум в спектре излучения приходиться на длину волны. Определить длину волны.
Решение:
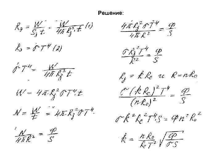
Небольшая болванка с поверхностью 150 кв. см. находиться в печи с температурой стенок 1100 С. При температуре болванки 380 С результирующая энергия, получаемая ею в результате теплообмена излучением со стенками за единицу времени, равна W. Болванку можно считать серым телом с поглощательной способностью 0, 8. Определить энергию W.
Температура вольфрамовой спирали в 25 - ваттной электрической лампочке равна 2450 К. Отношение ее энергетической светимости к энергетической светимости абсолютно черного тела при данной температуре равно 0, 3. Найти величину излучающей спирали.
Решение:
ФОТОЭФФЕКТ
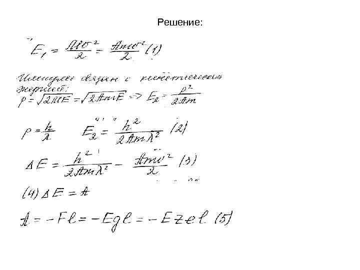
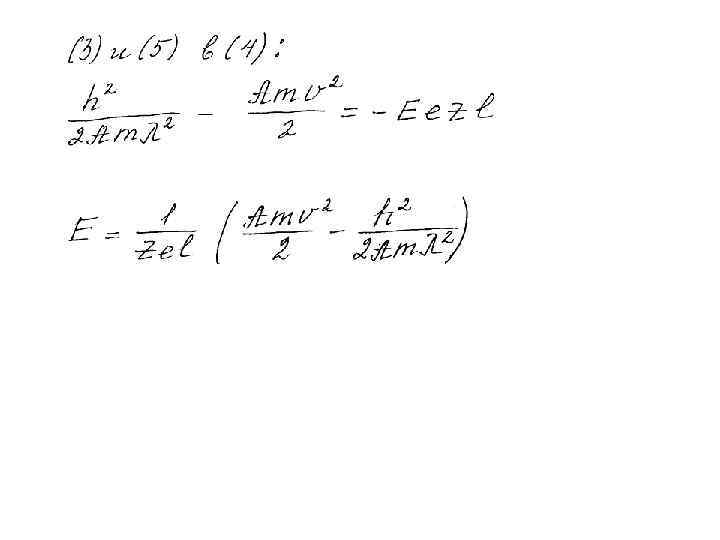
Гипотеза де- Бройля
Решение:
Решение:
УРАВНЕНИЕ ШРЕДИНГЕРА
Решение:
Решение:
Решение:
КОЛЕБАНИЯ И ВОЛНЫ.ppt