Карбоновые кислоты_2012.pptx
- Количество слайдов: 21
По количеству карбоксильных групп трикарбоновые монокарбоновые дикарбоновые Карбоновые кислоты По строению углеводородного радикала алифатические гетероциклические алициклические ароматические
Карбоновые кислоты Некоторые физические свойства
Карбоновые кислоты Способы получения Окисление гомологов бензола (см. хим. св-ва аренов) Окисление первичных спиртов и альдегидов Галоформное расщепление метилкетонов Из металлоорганических соединений Гидролиз функциональных производных карбоновых кислот
Карбоновые кислоты Химические свойства Основный центр d + d CH-кислотный центр ОН-кислотный центр _ : Электрофильный центр
Химические свойства 1. Кислотные свойства. Образование солей
Химические свойства 2. Реакции нуклеофильного замещения Образование сложных эфиров (реакция этерификации) Образование галогенангидридов
Образование ангидридов Образование амидов
3. Декарбоксилирование Химические свойства Сплавление солей карбоновых кислот со щелочами – получение УВ
Химические свойства 4. Галогенирование алифатических карбоновых кислот
Функциональные производные карбоновых кислот галогенангидриды сложные эфиры ангидриды нитрилы амиды пероксикислоты гидразиды тиоэфиры
Галогенангидриды
кислоты сложные эфиры амиды ангидриды
Ангидриды
Смешанные ангидриды
Сложные эфиры
Кислотный и щелочной гидролиз!!
Амиды
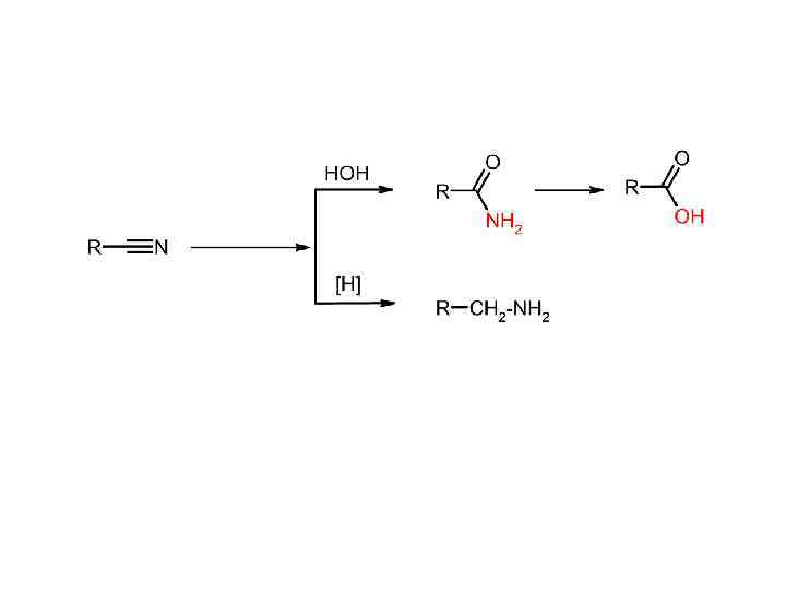
Нитрилы Способы получения: 1) Дегидратация амидов карбоновых кислот 2) Нуклеофильное замещение в галогенуглеводородах (реакция с цианидами)
Карбоновые кислоты_2012.pptx