c2331496586bd316ef6e556aa210b707.ppt
- Количество слайдов: 24
План занятия 1. Сочетания. Решение более сложных задач. 2. Свойства сочетаний. Бином Ньютона и треугольник Паскаля. 3. Дискретные распределения. 4. Биноминальный закон распределения
Вспомним
Бином Ньютона. Применение комбинаторики к доказательству формулы бинома Ньютона. Биномом Ньютона называют формулу для вычисления выражения (а+b)n для натуральных n. Теорема 1643 1727 Доказательство. Докажем методом математической индукции. Ниже представлено комбинаторное доказательство. Запишем (а+b)n в виде произведения (а+b)n =(a+b) … (a+b). 3
Бином • Раскроем скобки в правой части этого равенства и запишем все слагаемые в виде произведения n сомножителей а и b в том порядке, в котором они появляются. • Например, (a+b)2 запишется в виде (a+b)2 =(a+b) (a+b)=aa+ab+ba+bb, (a+b)3– в виде (a+b)3=(a+b) =aaa+aab+aba+abb+baa+bab+bba+bbb. • Видно, что в обе формулы входят все размещения с повторениями, составленные из букв а и b по две (три) буквы в каждом. • В общем случае – после раскрытия скобок получим всевозможные размещения с повторениями букв а и b, состоящие из n элементов. 4
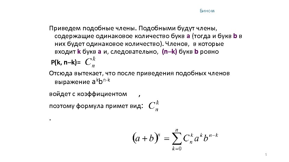
Бином Приведем подобные члены. Подобными будут члены, содержащие одинаковое количество букв а (тогда и букв b в них будет одинаковое количество). Членов, в которые входит k букв a и, следовательно, (n–k) букв b ровно Р(k, n–k)= Отсюда вытекает, что после приведения подобных членов выражение akbn k войдет с коэффициентом , поэтому формула примет вид: . 5
Свойства сочетаний Свойство 1 • Свойство симметричности для числа сочетаний без повторений: 6
Свойство 2 • Ноль предметов выбрать из n предметов можно единственным способом – ничего не выбирать. • Выбрать n предметов из n без учета порядка можно единственным способом – выбрать все n предметов. ) 7
• Вычислять числа сочетаний можно по рекуррентной формуле, где каждое новое значение числа сочетаний вычисляется на основе предыдущих значений. Выведем эту формулу. Это будет свойство 3. с начальными условиями 8
1623 1662
ДИСКРЕТНЫЕ СЛУЧАЙНЫЕ ВЕЛИЧИНЫ Величина, которая в результате испытания может принять то или иное значение, заранее неизвестно, какое именно, считается случай ной. Дискретной (прерывной) случайной величиной называ ется такая случайная величина, которая принимает конечное или бесконечное (счетное) число значений, с определенными вероятностями. Соотношение, устанавливающее связь между отдельными воз можными значениями случайной величины и соответствующими им веро ятностями, называется законом распределения дискретной случайной величины.
Дискретная случайная величина может быть задана графически много угольником (полигоном) распределения или функцией распределения Количества ошибок в диктанте и их вероятность число вероятность x 1 0 0, 1 x 2 1 0, 3 x 3 2 0, 4 x 5 3 4 0, 15 0, 05 1
График функции распределения F(x) дискретной случайной величины имеет ступенчатый вид 0 0 0, 01 0, 1 Мы видим скачки в точках, соответствующих возможным значе ниям случайной величины. Величина каждого скачка равна вероятности соответствующего значения случайной величины. Сумма скачков рав на единице.
Функцией распределения случайной величины X называется функция F(x), выражающая вероятность того, что X примет значение, меньшее, чем х. Вероятность того, что случайная величина X примет какое нибудь значение, удовлетворяющее неравенству a<X < b, равна при ращению ее функции распределения. F(x) на этом интервале P(a<=X<b)=F(b)-F(a).
Пример 5. 1. Закон распределения случайной величины X представлен следующей таблицей: 0 Pi 1 2 3 0, 04 0, 26 0, 46 0, 24 Составьте функцию распределения и вычислите следующие вероятности: 1) Р{Х>1); 2) Р{х)<=2; 3) Р(1<Х<3); 4) Р(1<=Х<3); 5) Р(1<Х<=3); 6) Р(1<=Х<=3). 0, 7; 0, 76; 0, 46; 0, 7; 0, 96
Числовые характеристики дискретного распределения По аналогии со среднеарифметической строится теоретическая среднеарифметическая называют математическим ожиданием. 18
• Математическое ожидание есть постоянное число, около которого колеблется средняя арифметическая отдельных значений случайной величины, полученных в результате испытаний. • Математическим ожиданием М(х) дискретной случайной величины X называется сумма произведений всех ее возможных значений на соответствующие им вероятности 19
Пример. Продавец мороженого в солнечный день может продать мороженого на 1600 руб. , а в дождливый на 200 руб. Какова ожидаемая дневная выручка, если вероятность того, что день окажется солнечным, равна 0, 7? Решение. • Ряд распределения дискретной случайной величины X возможная выручка в дождливый и солнечный дни имеет вид: • М(Х)= 200*0, 3 + 1600*0, 7 = 60 + 1120 = 1180 • Продавец будет иметь дневную выручку, равную 1180 руб. 20
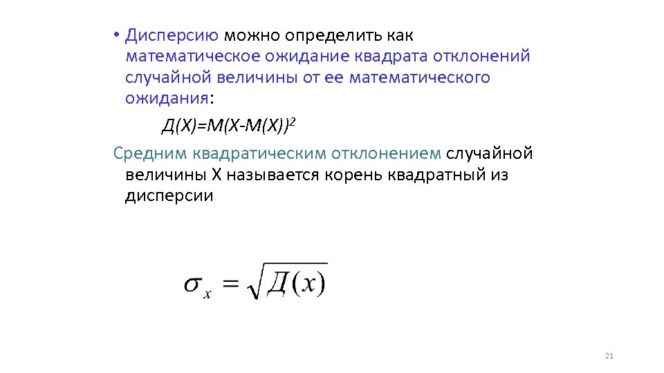
• Дисперсию можно определить как математическое ожидание квадрата отклонений случайной величины от ее математического ожидания: Д(Х)=М(Х-М(Х))2 Средним квадратическим отклонением случайной величины X называется корень квадратный из дисперсии 21
Дискретные распределения • Рассмотрим пример, который был на семинаре: На какую сумму очков, выпадающих при подбрасываниях двух костей, разумно сделать ставку? 22
• 2 = 1 + 1; • 3 = 1 + 2 = 2 + 1; • 4 = 1 + 3 = 3 + 1 = 2 + 2; • 5 = 1 + 4 = 4 + 1 = 2 + 3 = 3 + 2; • 6 = 1 + 5 = 5 + 1 = 2 + 4 = 4 + 2 = 3 + 3; • 7 = 1 + 6 = 6 + 1 = 2 + 5 = 5 + 2 = 4 + 3 = 3 + 4; • 8 = 2 + 6 = 6 + 2 = 3 + 5 = 5 + 3 = 4 + 4; • 9 = 3 + 6 = 6 + 3 = 4 + 5 = 5 + 4; • 10 = 4 + 6 = 6 + 4 = 5 + 5; • 11 = 5 + 6 = 6 + 5; • 12 = 6 + 6. • • • 1 2 3 4 5 6 5 4 3 2 1 23
Это пример дискретного распределения (теоретического), т. е. принимаемые случайной величиной значения дискретны. 24
c2331496586bd316ef6e556aa210b707.ppt