ФОРЭ130930.ppt
- Количество слайдов: 42
Периодические колебания в последовательном контуре при разных значениях затухания. Нет затухания – колебания не затухают. Маленькое затухание – затухают медленно. 1
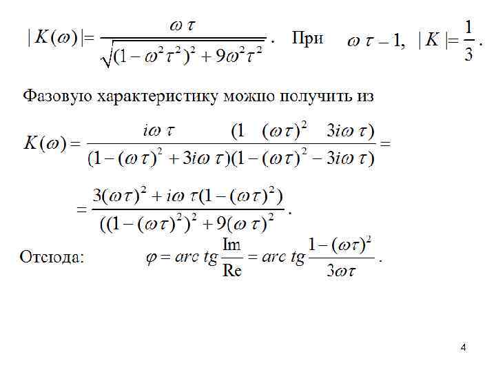
Цепочка Вина 2
3
4
5
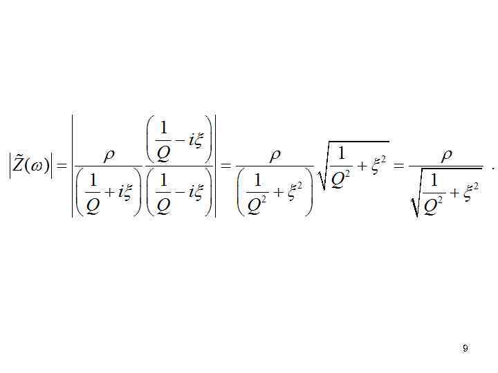
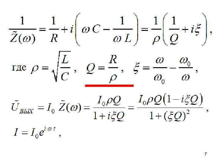
Параллельный контур 6
7
Заметно, что IC = – IL при ω = ω0 или ξ = 0, ток от генератора течёт только через сопротивление R и токи через индуктивность и ёмкость в Q-раз больше. При этом, конечно, сопротивление контура равно R и говорят, что оно чисто омическое. 8
9
10
11
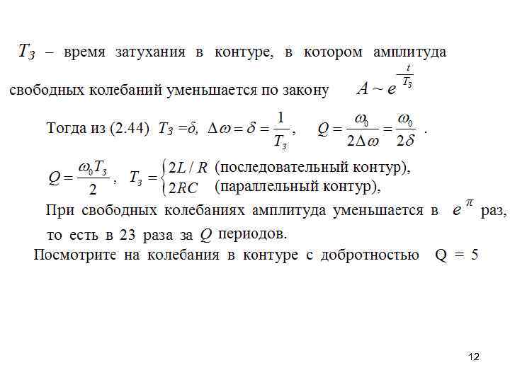
12
Емкостной датчик 13
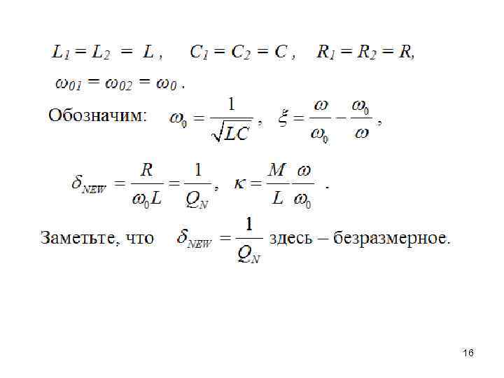
Связанные контуры 14
15
16
17
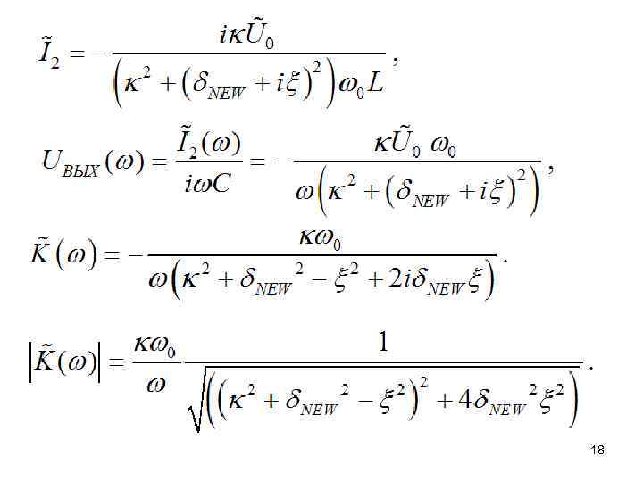
18
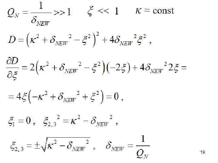
19
20
• Для любознательных. Не для экзамена. • • • Программа для MATLAB. Вычисляет и строит кривые рис. 2. 46. clear all; clc; % Рис. 2. 46. Связанные контура Figure. Color=[1, 1, 1]; h. Figure=gcf; set(h. Figure, 'Color', Figure. Color) for M =0. 002: 0. 022 %Разные коэффициенты связи del=. 01; %Дельта w=[0. 96: . 0001: 1. 04]; %Омега kap=M. /w; %Каппа ksi=(w. *w-1). /w; %Кси K=M. /sqrt((kap. *kap+del. *del-ksi. *ksi). *(kap. *kap+del. *delksi. *ksi)+4. *del. *ksi); %Модуль коэффициента передачи plot(w+4*M, K-M*2500, 'b-', 'Line. Width', 3); %grid on; hold on; end • • 21
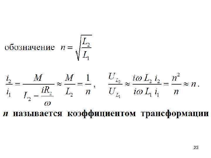
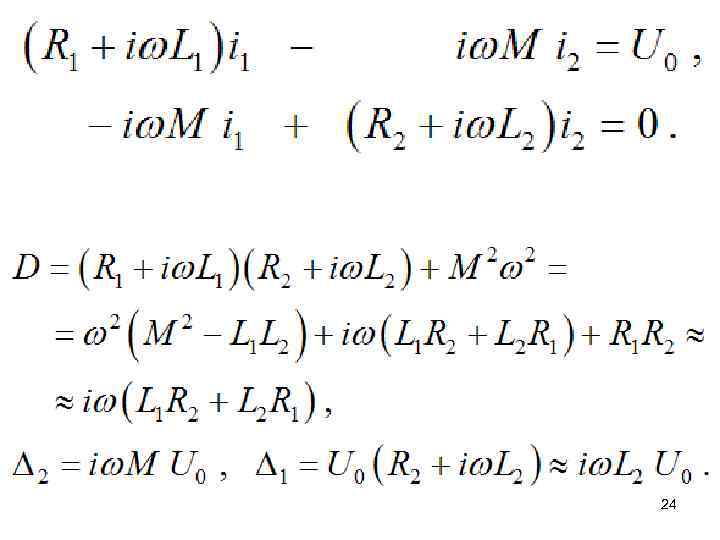
Трансформатор 22
23
24
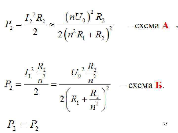
25
26
27
Согласование с нагрузкой 28
29
Теория гармонических спектров сигналов 30
31
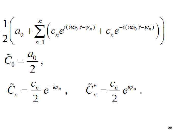
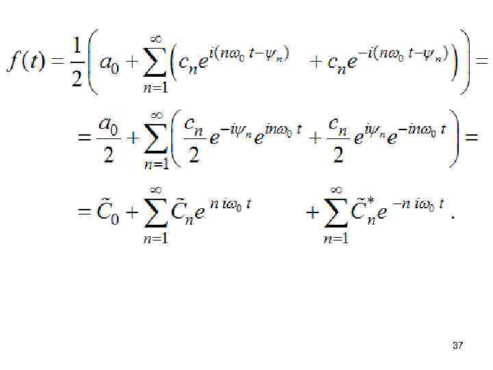
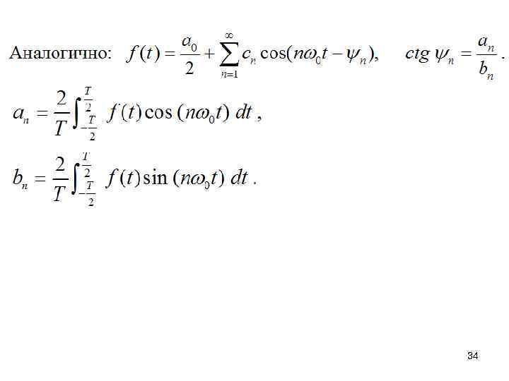
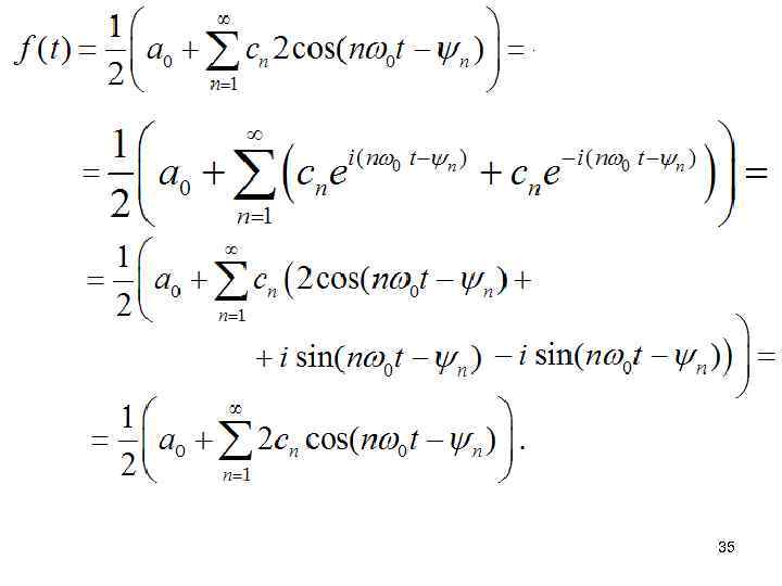
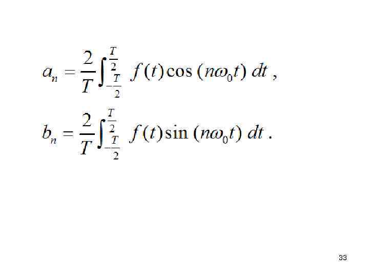
Ряд Фурье 32
33
34
35
36
37
38
39
40
41
END 42
ФОРЭ130930.ppt