Microsoft PowerPoint Presentation.pptx
- Количество слайдов: 24
Пәні: Алгебра Тақырыбы: Бірмүше және көпмүше тарауын қайталау Сыныбы: 7 “А” Пән мұғалімі: Муликова А. Б. 2012 -2013 оқу жылы
• Сабақтың тақырыбы: Бірмүше және көпмүше тарауын қайталау. Сабақтың мақсаттары: • Білімділік: Оқушылардың бірмүше, бірмүшенің стандарт түрі, көпмүше және оларға амалдар қолдану, көпмүшені көбейткіштерге жіктеу жөнінде алған білімдерін тереңдету. • Дамытушылық: Ой - өрісін дамыту, ойлау қабілетін арттыру, теориялық білімін практикада қолдан білу дағдысын қалыптастыру. • Тәрбиелік: Шапшаңдыққа, ізденімпаздыққа, тиянақтылыққа, ұқыптылыққа баулу, ұжымдық ауызбіршілікке тәрбиелеу. • Сабақтың түрі: Қайталау, Бекіту сабағы. • Сабақтың әдісі: Топпен жұмыс, өз бетінше жұмыс • Сабақтың көрнекілігі: Интерактивті тақта, тест тапсырмалары салынған слайдтар, компьютер, үлестірмелі топтамалар.
Сабақтың барысы: • І. Ұйымдастыру кезеңі: Оқушылардың сабаққа қатысуын тексеру, үш топқа бөліп отырғызу, назарын сабаққа аудару, сабақтың мақсат, міндеттерін еске түсіндіру. • ІІ. Үй тапсырмасын тексеру. • ІІІ. Өткенге шолу. • ІҮ. Ойлан тап (ауызша есептеу) • ІІІ. Бекіту сабақ. • ІV. Қорытынды: Бағалау. Үйге тапсырма беру.
Өткенге шолу • 1. Бірмүше дегеніміз не? Санды және әріпті көбейткіштермен олардың дәрежелерінің көбейтіндісі бірмүше деп аталады • 2. Ұқсас мүшелер дегеніміз не? Ортақ әріпті бөлігі бар және бір-бірінен айырмашылығы тек қана коэффицентте болатын бірмүшелер ұқсас бірмүшелер деп аталады • 3. Бірмүшеге мысалдар келтіріндер • 4. Көпмүше деп нені айтамыз? Бірнеше мүшелердің алгебралық қосындысын көпмүше деп айтамыз • 5. Көпмүшені біріктіру денеіміз не? Көпмүшелерді қосу арқылы оның барлық мүшелерін өз таңбаларымен тізбектеп жазып, ұқсас мүшелерді біріктіру • 6. Көпмүшені бірмүшеге көбейту денеіміз не? Көпмүшені бірмүшеге көбейту үшін бірмүшені көпмүшенің әрбір мүшесіне көбейтіп, шыққан көбейтінділерді қосу керек • 7. Көпмүшені көпмүшеге көбейту деген не? Көпмүшені көпмүшеге көбейту үшін бір көпмүшенің әрбір мүшесін екінші көпмүшенің әрбір мүшесіне көбейтіп шыққан көбейтіндіні қосу керек • 8. Көпмүшені бірмүшеге бөлу дегеніміз не? Көпмүшені бірмүшеге бөлу үшін көпмүшенің әрбір мүшесін берілген бірмүшеге бөліп шыққан нәтижелерді қосу керек
№ 1. Көбейтуді орындаңдар. Бұл көбейтінді. . . Натурал сандардың көбейтіндісі
№ 2. Көбейтуді орындаңдар. Бұл көбейтінді. . . Аралас сандардың көбейтіндісі
№ 3. Көбейтуді орындаңдар. Бұл көбейтінді. . . Ондық бөлшектердің көбейтіндісі
№ 4. Көбейтуді орындаңдар. Бұл көбейтінді. . . Теріс сан мен он санның көбейтіндісі
№ 5. Көбейтуді орындаңдар. Бұл көбейтінді. . . Бірмүшелер көбейтіндісі
№ 6. Көбейтуді орындаңдар. Бұл көбейтінді. . . Бірмүшенің көпмүшеге көбейтінідісі
№ 7. Көбейтуді орындаңдар. Бұл көбейтінді. . . Көпмүшенің көпмүшеге көбейтіндісі
Көпмүшені көпмүшеге көбейту І ІІ ( а - b )( 2 c + d 2+ e) = =a( 2 c + d 2+ e) - b ( 2 c + d 2+ e)= =2 ac + ad 2+ ae - 2 bc - bd 2 - be
I II =а( 2 c + d) - b ( 2 c + d)= =2 ac+ad-2 bc-bd
№ 1. Есептеңдер.
№ 2. Есептеңдер.
№ 3. Есептеңдер.
№ 4. Көпмүше түрінде келтір.
Сергіту сәті
ІІ. Топ. 1) Ұқсас мүшелерді біріктіру: 2) Көпмүшелерді қосу: 3) Көпмүшелерді азайту: 4) Көпмүшелерді көбейту: : (3 х) + 5) Көпмүшелерді бөлу: 6) Көпмүшенің мәнін табу: мұндағы х = 2 : ,
Топ. І. ∙ 1) Бірмүшені стандарт түрінде жазу: ∙ 2) Көбейтуді орындау: , 3) Дәрежеге келтіріп, мәнін табу: мұндағы 4) Бөлуді орындау: 5) Теңдіктегі * х= , у = -1 , z=4 : орнына дұрыс теңдік шығу үшін, бірмүшені жазу:
п. о . Т ІІІ 1) Жақшаны ашу: 4 ху 2) Теңдеуді шешу: ( х + 1 )( х + 4 ) – 3) Көбейткішке жіктеу: =0 + 7 у – 45 у – 15 4) Тиімді тәсілмен шешу: 0, 7 ∙ 2, 7 – 1, 4 ∙ 0, 7 + 0, 3 ∙ 2, 7 – 1, 4 ∙ 0, 3 5) Көпмүшені бірмүшеге бөлу: :
Тексеру тест Вариант 1 1. Ұқсас бірмүшеліктерді табыңыз : 1) 3 ху; 2) 3 а; 3) – 7 ху; 4) – 7. А. 1 и 2. Б. 1 и 3. В. 1 и 2, 3 и 4. Вариант 2 1. Ұқсас бірмүшеліктерді табыңыз : 1) 5 ху; 2) – 9; 3) 5 ас; 4) – 9 ху. А. 1 и 3. Б. 1 и 3, 2 и 4. В. 1 и 4. Вариант 1 2. Өрнектердің қайсысы көпмүшелік болады? 1) 5 х + у3; 2) 5 ху3; 3) 5 + х + у3. А. 3. Б. 2. В. 1 и 3. Вариант 2 2. Өрнектердің қайсысы көпмүшелік болады? 1) 4 + 3 у – у2; 2) х2; 3) 7 – х; 4) а + с. А. 2 и 3. Б. 1 и 3. В. 1, 3 и 4. Вариант 1 3. Өрнекті ықшамдаңыз: (а 2 а 3)3. А. а 8. Б. а 18. В. а 15. Вариант 2 3. Өрнекті ықшамдаңыз: а 3 (3 а 3)2. А. 9 а 8. Б. 6 а 9. В. 9 а 9.
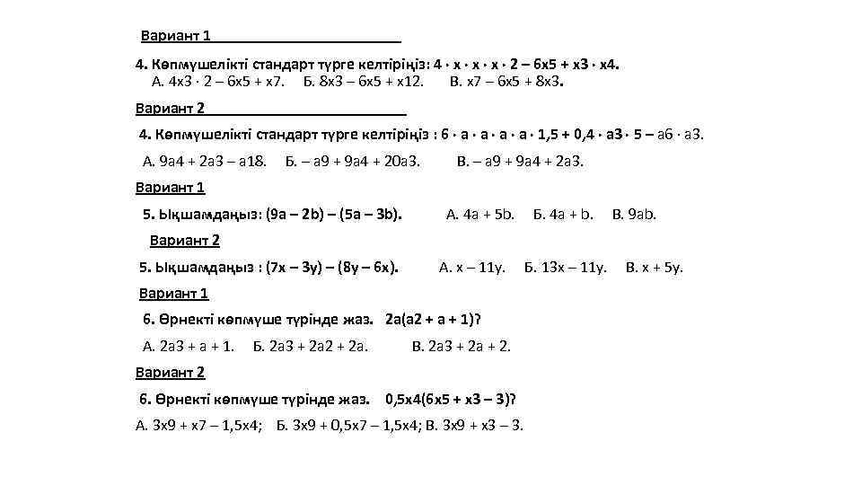
Вариант 1 4. Көпмүшелікті стандарт түрге келтіріңіз: 4 х х х 2 – 6 х5 + х3 х4. А. 4 х3 2 – 6 х5 + х7. Б. 8 х3 – 6 х5 + х12. В. х7 – 6 х5 + 8 х3. Вариант 2 4. Көпмүшелікті стандарт түрге келтіріңіз : 6 а а 1, 5 + 0, 4 а 3 5 – а 6 а 3. А. 9 а 4 + 2 а 3 – а 18. Б. – а 9 + 9 а 4 + 20 а 3. В. – а 9 + 9 а 4 + 2 а 3. Вариант 1 5. Ықшамдаңыз: (9 а – 2 b) – (5 а – 3 b). А. 4 а + 5 b. Б. 4 а + b. В. 9 аb. Вариант 2 5. Ықшамдаңыз : (7 х – 3 у) – (8 у – 6 х). А. х – 11 у. Б. 13 х – 11 у. В. х + 5 у. Вариант 1 6. Өрнекті көпмүше түрінде жаз. 2 а(а 2 + а + 1)? А. 2 а 3 + а + 1. Б. 2 а 3 + 2 а 2 + 2 а. В. 2 а 3 + 2 а + 2. Вариант 2 6. Өрнекті көпмүше түрінде жаз. 0, 5 х4(6 х5 + х3 – 3)? А. 3 х9 + х7 – 1, 5 х4; Б. 3 х9 + 0, 5 х7 – 1, 5 х4; В. 3 х9 + х3 – 3.
Microsoft PowerPoint Presentation.pptx