Скачать презентацию ОВР Проверяем домашнее задание Первое задание Скачать презентацию ОВР Проверяем домашнее задание Первое задание

ОВР Решение.ppt

  • Количество слайдов: 33

ОВР Проверяем домашнее задание! ОВР Проверяем домашнее задание!

Первое задание Первое задание

1 2 Fe. SO 4 + Br 2 + H 2 SO 4 = 1 2 Fe. SO 4 + Br 2 + H 2 SO 4 = Fe 2(SO 4)3+2 HBr

2 Mn(OH)2 + Cl 2 +2 KOH = Mn. O 2 + 2 KCl 2 Mn(OH)2 + Cl 2 +2 KOH = Mn. O 2 + 2 KCl + 2 H 2 O

3 SO 2 + Br 2 + 2 H 2 O = H 2 3 SO 2 + Br 2 + 2 H 2 O = H 2 SO 4 + 2 HBr

4 2 Fe(OH)2 + Br 2 +2 KOH = 2 Fe(OH)3 + 2 KBr 4 2 Fe(OH)2 + Br 2 +2 KOH = 2 Fe(OH)3 + 2 KBr

5 2 KCr. O 2 + 3 Br 2 + 8 KOH = 2 5 2 KCr. O 2 + 3 Br 2 + 8 KOH = 2 K 2 Cr. O 4 + 6 KBr +4 H 2 O

6 2 Na. Cr. O 2 +3 Cl 2 +8 Na. OH = 2 6 2 Na. Cr. O 2 +3 Cl 2 +8 Na. OH = 2 Na 2 Cr. O 4 +6 Na. Cl + 4 H 2 O

7 H 2 S +4 Cl 2 +4 H 2 O = H 2 7 H 2 S +4 Cl 2 +4 H 2 O = H 2 SO 4 + 8 HCl

8 Pt, t 4 NH 3 +5 O 2 = 4 NO + 6 8 Pt, t 4 NH 3 +5 O 2 = 4 NO + 6 H 2 O

9 2 Mn. O 2 +4 KOH = 2 K 2 Mn. O 4 9 2 Mn. O 2 +4 KOH = 2 K 2 Mn. O 4 + 2 H 2 O

10 2 K 2 Mn. O 4 + Cl 2 = 2 KMn. O 10 2 K 2 Mn. O 4 + Cl 2 = 2 KMn. O 4 + 2 KCl

11 16+14+24 = 54 6+32+16 = 54 4 Fe(Cr. O 2)2 +7 O 2 11 16+14+24 = 54 6+32+16 = 54 4 Fe(Cr. O 2)2 +7 O 2 +8 K 2 CO 3 = 2 Fe 2 O 3 +8 K 2 Cr. O 4 + + 8 CO 2↑

Второе задание Второе задание

12 16 HCl+2 KMn. O 4 = 5 Cl 2↑ + 2 KCl +2 12 16 HCl+2 KMn. O 4 = 5 Cl 2↑ + 2 KCl +2 Mn. Cl 2 +8 H 2 O Посмотрите опыт 1 а Посмотрите опыт 1 б

13 Mn. O 2 +4 HCl = Cl 2 + Mn. Cl 2 +2 13 Mn. O 2 +4 HCl = Cl 2 + Mn. Cl 2 +2 H 2 O

14 Mn. O 2 + 2 KI + 2 H 2 SO 4 = 14 Mn. O 2 + 2 KI + 2 H 2 SO 4 = I 2 + + Mn. SO 4 + K 2 SO 4 +2 H 2 O

15 K 2 Mn. O 4 + 2 K 2 S +4 H 2 15 K 2 Mn. O 4 + 2 K 2 S +4 H 2 SO 4 = 2 S + + Mn. SO 4 +3 K 2 SO 4 +4 H 2 O

16 5 H 2 S +2 KMn. O 4 + 3 H 2 SO 16 5 H 2 S +2 KMn. O 4 + 3 H 2 SO 4 = 5 + K 2 SO 4 +2 Mn. SO 4 +8 H 2 O S

17 10 Fe. SO 4 +2 KMn. O 4 + 8 H 2 SO 17 10 Fe. SO 4 +2 KMn. O 4 + 8 H 2 SO 4 = 5 Fe 2(SO 4)3 + +2 Mn. SO 4 + K 2 SO 4 + 8 H 2 O 10 2

18 2 KMn. O 4 + 5 SO 2 +2 H 2 O = 18 2 KMn. O 4 + 5 SO 2 +2 H 2 O = 2 H 2 SO 4 + + 2 Mn. SO 4 + K 2 SO 4 Опыт

19 2 KMn. O 4 + 3 K 2 SO 3 + H 2 19 2 KMn. O 4 + 3 K 2 SO 3 + H 2 O = = 2 Mn. O 2 + 3 K 2 SO 4 +2 KOH Опыт

20 2 KMn. O 4 + 3 KNO 2 + H 2 O = 20 2 KMn. O 4 + 3 KNO 2 + H 2 O = = 2 Mn. O 2 +3 KNO 3 +2 KOH

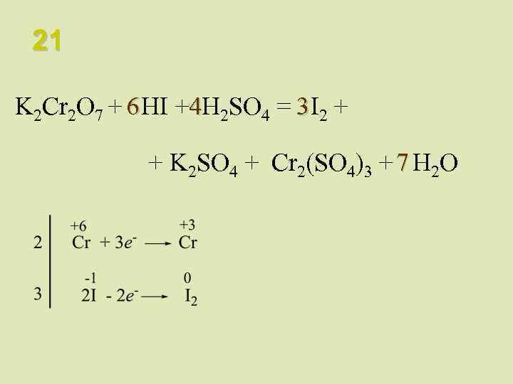
21 K 2 Cr 2 O 7 + 6 HI +4 H 2 SO 21 K 2 Cr 2 O 7 + 6 HI +4 H 2 SO 4 = 3 I 2 + + K 2 SO 4 + Cr 2(SO 4)3 + 7 H 2 O

Третье задание Третье задание

22 2 Cr. Cl 3 +3 Na. Cl. O + 10 Na. OH = 22 2 Cr. Cl 3 +3 Na. Cl. O + 10 Na. OH = 2 Na 2 Cr. O 4 + + 9 Na. Cl +5 H 2 O

23 6 Fe. SO 4 + KCl. O 3 +3 H 2 SO 4 23 6 Fe. SO 4 + KCl. O 3 +3 H 2 SO 4 = Fe 2(SO 4)3 + KCl + 3 H 2 O 3

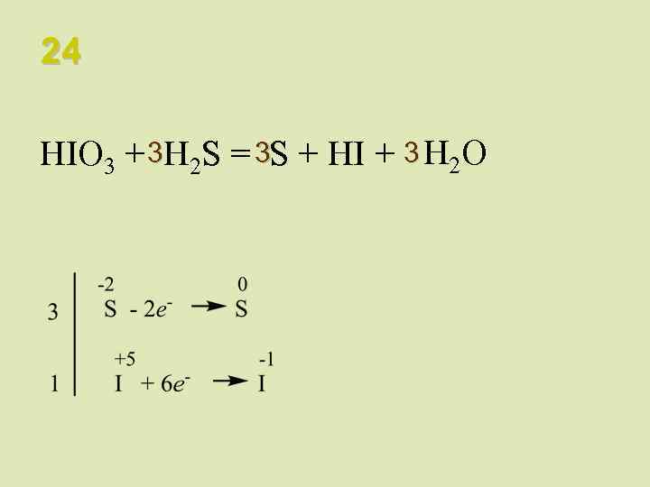
24 HIO 3 + 3 H 2 S = 3 S + HI + 24 HIO 3 + 3 H 2 S = 3 S + HI + 3 H 2 O

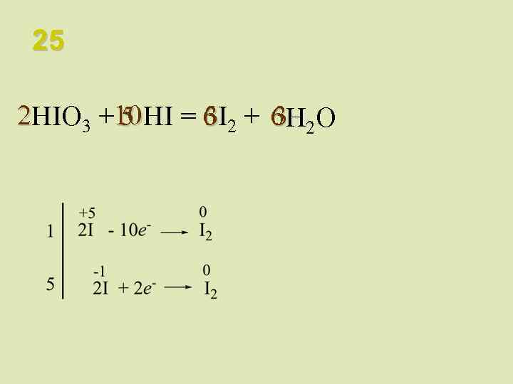
25 2 HIO 3 +10 HI = 6 I 2 + 6 H 2 25 2 HIO 3 +10 HI = 6 I 2 + 6 H 2 O 5 3 3

26 2 Fe. SO 4 + Na. Cl. O +4 Na. OH + H 26 2 Fe. SO 4 + Na. Cl. O +4 Na. OH + H 2 O =2 Fe(OH)3 + + Na. Cl + 2 Na 2 SO 4

27 2 Mn. Cl 2 + KBr. O + KOH = Mn. O 2 27 2 Mn. Cl 2 + KBr. O + KOH = Mn. O 2 + KBr + KCl + H 2 O 2

28 3 KCl. O 3 + Mn. O 2+6 KOH =3 K 2 Mn. 28 3 KCl. O 3 + Mn. O 2+6 KOH =3 K 2 Mn. O 4 + KCl +3 H 2 O Восстановитель – Mn. O 2 за счет Mn+4 Окислитель – KCl. O 3 за счет Cl+5

Удачи!! Удачи!!