Скачать презентацию ÖVERGRIPANDE FÖRELÄSNING OM FIGURER ÖVER MIN DOKTORSAVHANDLING Скачать презентацию ÖVERGRIPANDE FÖRELÄSNING OM FIGURER ÖVER MIN DOKTORSAVHANDLING

236189f6a06b83628c13736ead2c4063.ppt

  • Количество слайдов: 79

ÖVERGRIPANDE FÖRELÄSNING OM: ÖVERGRIPANDE FÖRELÄSNING OM:

FIGURER ÖVER MIN DOKTORSAVHANDLING FIGURER ÖVER MIN DOKTORSAVHANDLING

RESULTAT AV DOKTORSAVHANDLINGEN RESULTAT AV DOKTORSAVHANDLINGEN

REHABILITERINGSVETENSKAP UTGÅNGSPUNKTER REHABILITERINGSVETENSKAP UTGÅNGSPUNKTER

KUNSKAPER OCH ERFARENHETER SAMVERKANSOMRÅDET KUNSKAPER OCH ERFARENHETER SAMVERKANSOMRÅDET

personal administrate union rehabilitation counsellor 2 rehabilitation counsellor 1 others client physician supervisor employer personal administrate union rehabilitation counsellor 2 rehabilitation counsellor 1 others client physician supervisor employer representative

education medical other subjects health insurance/economy social work training original work education medical other subjects health insurance/economy social work training original work

Avhandlingens syfte Avhandlingens syfte

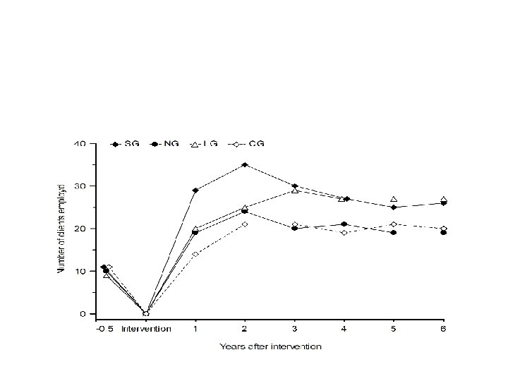
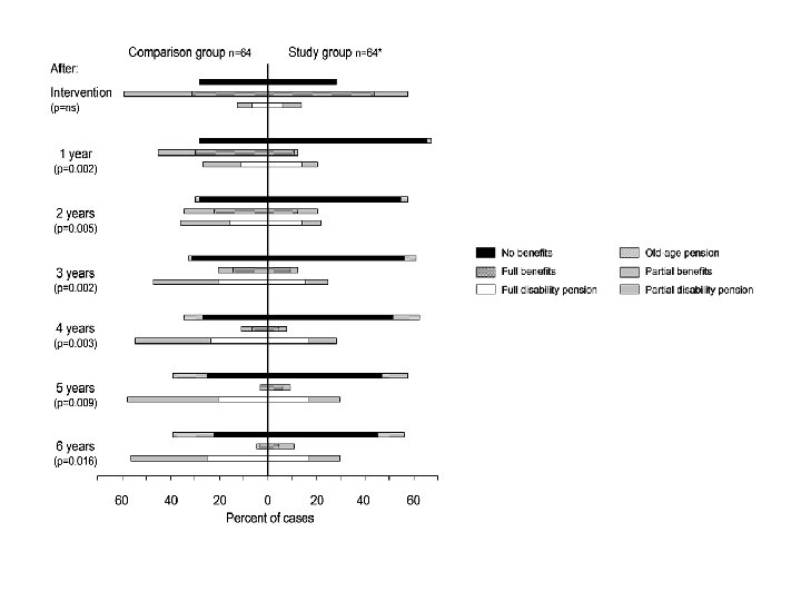
Stockholmsprojektet Stockholmsprojektet

Stockholmsprojektet Stockholmsprojektet

Studiegrupp – Jämförelsegrupp Studiegrupp – Jämförelsegrupp

Samhällsekonomisk nytta Samhällsekonomisk nytta

RESULTAT AV FORSKNING OM SAMVERKAN RESULTAT AV FORSKNING OM SAMVERKAN

BRUKARBEGREPPET ERSÄTTER? BRUKARBEGREPPET ERSÄTTER?

Brukarmedverkan Brukarmedverkan

SAMVERKAN ENLIGT NAV SAMVERKAN ENLIGT NAV

Förändringar Förändringar

Exempel från Verdals kommun 14. 000 invånare Exempel från Verdals kommun 14. 000 invånare

BEHOV AV SAMVERKAN-SAMHANDLING BEHOV AV SAMVERKAN-SAMHANDLING

SUPPORTED EMPLOYMENT – Arbete med stöd SUPPORTED EMPLOYMENT – Arbete med stöd

YTTERLIGARE EXEMPEL PÅ REHABILITERINGSMODELLER YTTERLIGARE EXEMPEL PÅ REHABILITERINGSMODELLER

BEGREPPET ARBETE BEGREPPET ARBETE

MORALASPEKTER MORALASPEKTER

Viktiga strukturella förändringar de senaste åren Viktiga strukturella förändringar de senaste åren

NEW PUBLIC MANAGEMENT – REFORMER I OFFENTLIG SEKTOR (NPM) NEW PUBLIC MANAGEMENT – REFORMER I OFFENTLIG SEKTOR (NPM)

VAD ÄR New Public Management? Aktuell diskussion i bl a Norge VAD ÄR New Public Management? Aktuell diskussion i bl a Norge

KRITIK AV NPM-REFORMEN Några exempel KRITIK AV NPM-REFORMEN Några exempel

Fortsättning framgångsfaktorer Fortsättning framgångsfaktorer

ÖVERKURSER ÖVERKURSER

FÖRREHABILITERING - EN VÄG TILL ARBETE I LÄRANDE MILJÖ (Sammanfattning av en presentation inför FÖRREHABILITERING - EN VÄG TILL ARBETE I LÄRANDE MILJÖ (Sammanfattning av en presentation inför Riksdagens socialutskott 2009 -11 -24) (lars-ake. stenstrom@helliden. se)

FÖRREHABILITERING – EN DEFINITION FÖRREHABILITERING – EN DEFINITION

I DAG SAKNAS FÖRREHABILITERING I REHABILITERINGSKEDJAN I DAG SAKNAS FÖRREHABILITERING I REHABILITERINGSKEDJAN

UTGÅNGSPUNKTER i ARBETET MED FÖRREHABILITERING UTGÅNGSPUNKTER i ARBETET MED FÖRREHABILITERING

MÅLGRUPPER MÅLGRUPPER

SYFTE MED FÖRREHABILITERINGSPROJEKTET SYFTE MED FÖRREHABILITERINGSPROJEKTET

MÅL MÅL

MER OM MÅLEN MER OM MÅLEN

PROJEKTETS PRAKTISKA GENOMFÖRANDE PROJEKTETS PRAKTISKA GENOMFÖRANDE

FORTSÄTTNING; GENOMFÖRANDE FORTSÄTTNING; GENOMFÖRANDE

FORTSÄTTNING; GENOMFÖRANDE FORTSÄTTNING; GENOMFÖRANDE

UTVÄRDERING AV FÖRREHABILITERINGSPROJEKTET UTVÄRDERING AV FÖRREHABILITERINGSPROJEKTET

KUNSKAPER FRÅN NÅGRA EGNA STUDIER KUNSKAPER FRÅN NÅGRA EGNA STUDIER

SYFTET MED STUDIEN: SYFTET MED STUDIEN: