TVer-04.ppt,теория
- Количество слайдов: 28
Основы теории вероятностей и математической статистики Лекция 4
Числовые характеристики дискретной случайной величины Закон распределения(ряд) и функция распределения не всегда удобен ( и даже необходим!) для анализа ситуации. xi 0 1 2 3 4 5 6 7 8 9 10 pi 0, 15 0, 11 0, 04 0, 05 0, 04 0, 1 0, 04 0, 05 0, 12 0, 20 yi 0 1 2 3 4 5 6 7 8 9 10 pi 0, 01 0, 03 0, 05 0, 09 0, 11 0, 24 0, 21 0, 04 0, 02 Какой из стрелков стреляет в среднем лучше? 08. 02. 2018 2
08. 02. 2018 3
Математическое ожидание Математическим ожиданием(средним значением) М(Х) дискретной случайной величины Х называется Пример1: М(Х) = М(Y) = 5, 36 Пример2: В лотерее разыгрывается : 1. 1 автомобиль – 5000 д. е. 2. 4 ТВ 250 д. е. 3. 5 ВМ - 200 д. е. 4. Всего продается 1000 билетов по 7 д. е. 5. Каково среднее значение чистого выигрыша игрока? 08. 02. 2018 4
Решение: xi -7 193 243 4997 pi 0, 990 0, 005 0, 004 0, 001 Механическая интерпретация математического ожидания? 08. 02. 2018 5
Свойства математического ожидания 1. M(C) = C 2. M(k. X) = k. M(X) 3. M(X + Y) = M(X) + M(Y) 4. M(XY) = M(X)M(Y) 5. M(X + C) = M(X) + C 6. M[X – M(X)] = 0 08. 02. 2018 6
Дисперсия дискретной случайной величины Дисперсией D(X) случайной величины Х называется математическое ожидание квадрата ее отклонения от математического ожидания: Среднее квадратическое отклонение 08. 02. 2018 7
Свойства дисперсии 1. D(C) = 0 2. D(k. X) = k 2 D(X) 3. D(X) = M(X 2) – [M(X)]2 Пример: D(X) = 13, 61 D(Y) = 4, 17 08. 02. 2018 8
Непрерывная случайная величина Случайная величина Х называется непрерывной, если ее функция распределения F(x) непрерывна и имеет непрерывную производную везде, кроме, быть может, конечного числа точек. Непрерывная случайная величина имеет непрерывный спектр (если случайная величина имеет непрерывный спектр, то из этого не следует, что она непрерывна). Если функция распределения F(x) на некоторых участках непрерывна, а в отдельных точках имеет разрывы, то случайная величина называется смешанной. 08. 02. 2018 9
Плотностью распределения (или плотностью вероятности) непрерывной случайной величины X называется функция f(x) равная f(x)=F/(x). График функции f(x) – кривая распределения Т. к. то 08. 02. 2018 т. е. f(x) является законом распределения непрерывной случайной величины X. 10
Свойства плотности вероятностей 1. f(x) > 0 2. 3. (Геометрический смысл ? ) 08. 02. 2018 11
Пример. Плотность вероятности непрерывной случайной величины X Найти • значение параметра a; · функцию распределения F(x); ·вероятность того, что в четырех независимых испытаниях случайная величина X хотя бы один раз попадет в промежуток (0; 3). 08. 02. 2018 12
Решение. Из условия нормировки следует , т. е. следовательно, 08. 02. 2018 13
Находим функцию распределения 08. 02. 2018 14
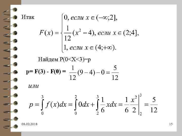
Итак Найдем Р(0
Найдем вероятность того, что в четырех независимых испытаниях случайная величина Х хотя бы один раз примет значение из промежутка (0; 3), т. е. найдем Графики функций 08. 02. 2018 16
Основные числовые характеристики непрерывной случайной величины Математическим ожиданием непрерывной случайной величины Х называется число Замечание: Если же возможные значения непрерывной случайной величины Х принадлежат лишь отрезку [а; b], то Иногда математическое ожидание случайной величины Х обозначают через mx. 08. 02. 2018 17
Дисперсия и среднее квадратическое отклонение непрерывной случайной величины 08. 02. 2018 18
Пример. Непрерывная случайная величина Х задана плотностью вероятности: Найти М[X]. 08. 02. 2018 19
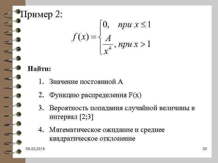
Пример 2: Найти: 1. Значение постоянной А 2. Функцию распределения F(x) 3. Вероятность попадания случайной величины в интервал [2; 3] 4. Математическое ожидание и среднее квадратическое отклонение 08. 02. 2018 20
Начальные и центральные моменты порядка k ·Начальным моментом порядка k cлучайной величины Х называют математическое ожидание случайной величины Хk: ·Центральным моментом порядка k cлучайной величины Х называют математическое ожидание величины (X-M[X])k: M[(X-mx)k]. В частности, 1=mx, 2=Dx, 08. 02. 2018 21
Геометрическая интерпретация математического ожидания 08. 02. 2018 22
Другие числовые характеристики случайной величины Медиана. 08. 02. 2018 23
Мода Для абсолютно непрерывных распределений модой называется точка локального максимума функции плотности. Мода случайной величины Х обозначается Мо[Х]. Распределения, имеющие одну моду, называются одномодальными. Встречаются и многомодальные распределения (смеси одномодальных распределений). 08. 02. 2018 24
Квантили. Для характеристики разброса значений случайной величины пользуются точками, в которых функция распределения переходит через другие значения. Квантилем, отвечающим вероятности , называется то значение х= x , при котором функция распределения F(x) равна , т. е. F(x )=P(X< x )= . Квантиль, отвечающий = 1/2, называется медианой Me[X]. Чаще всего пользуются, кроме медианы x 1/2, квантилями x 1/4 и x 3/4, которые называются квартилями 08. 02. 2018 25
Моменты случайной величины Начальный момент к - порядка Центральный момент к - порядка 08. 02. 2018 26
Коэффициент асимметрии 08. 02. 2018 27
Коэффициент эксцесса Для оценки “крутости”, т. е. большего или меньшего подъема кривой теоретического распределения по сравнению с нормальной кривой, пользуются характеристикой – эксцессом. Эксцессом теоретического распределения называют характеристику, которая определяется равенством 08. 02. 2018 28


