Скачать презентацию Основные характеристики сигналов электросвязи Пример Иллюстрации к Скачать презентацию Основные характеристики сигналов электросвязи Пример Иллюстрации к

МАтематические методы.pptx

  • Количество слайдов: 33

Основные характеристики сигналов электросвязи Пример: Основные характеристики сигналов электросвязи Пример:

Иллюстрации к примеру Иллюстрации к примеру

Иллюстрации к примеру Иллюстрации к примеру

Зависимость энергии импульса от ширины сохраняемой части спектра Зависимость энергии импульса от ширины сохраняемой части спектра

Структурная схема многоканальной системы передачи • • • ИС- источник сигнала М- модулятор Д- Структурная схема многоканальной системы передачи • • • ИС- источник сигнала М- модулятор Д- демодулятор ПС- приемник сигнала ГОпд , ГОпр- генераторное оборудование передачи / приема

Пояснения к структурной схеме МСП Пояснения к структурной схеме МСП

Линейное разделение сигналов Линейное разделение сигналов

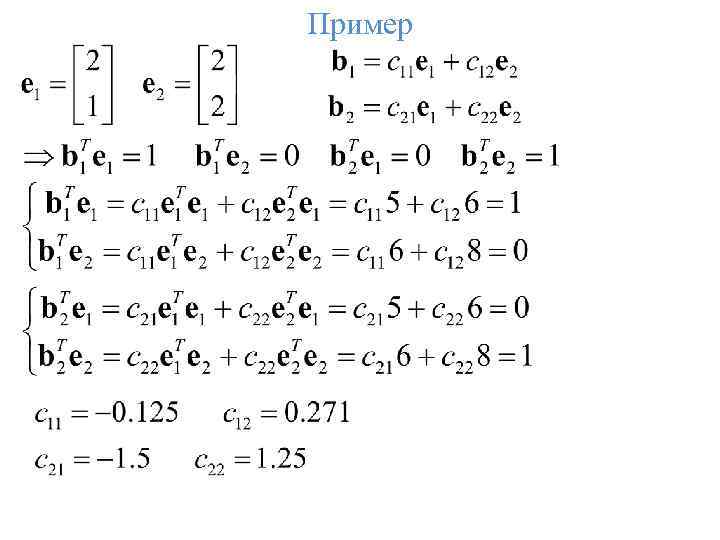
Пример Пример

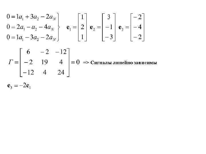
Условие линейного разделения сигналов Линейно независимы Линейно зависимы Условие линейного разделения сигналов Линейно независимы Линейно зависимы

Пример => Сигналы линейно независимы Пример => Сигналы линейно независимы

=> Сигналы линейно зависимы => Сигналы линейно зависимы

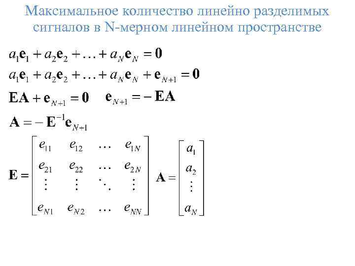
Максимальное количество линейно разделимых сигналов в N-мерном линейном пространстве Максимальное количество линейно разделимых сигналов в N-мерном линейном пространстве

Формирование группового сигнала Формирование группового сигнала

Разделение линейно-независимых сигналов Разделение линейно-независимых сигналов

Пример Пример

Разделение сигналов с конечной мощностью Разделение сигналов с конечной мощностью

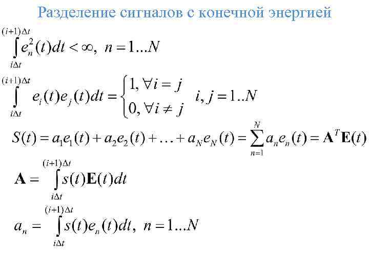
Разделение сигналов с конечной энергией Разделение сигналов с конечной энергией

Гришин ОПТСС Амплитудно-импульсная модуляция 1 -го рода Гришин ОПТСС Амплитудно-импульсная модуляция 1 -го рода

Гришин ОПТСС Спектр сигнала АИМ-1 Гришин ОПТСС Спектр сигнала АИМ-1

Гришин ОПТСС sвых(t)=fд. E 0(0)[A 0+A 1 cos(ft)] fд. E 0(0)<1 Гришин ОПТСС sвых(t)=fд. E 0(0)[A 0+A 1 cos(ft)] fд. E 0(0)<1

Гришин ОПТСС Гришин ОПТСС

Пример Пример

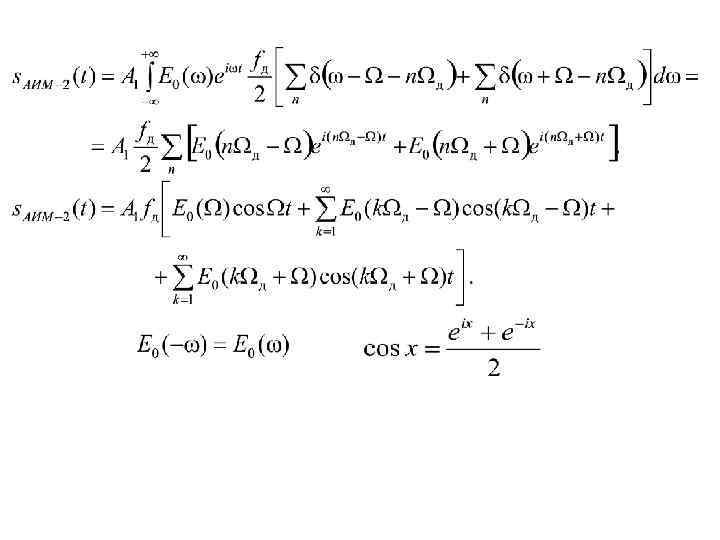
Амплитудно-импульсная модуляция 2 -го рода Амплитудно-импульсная модуляция 2 -го рода

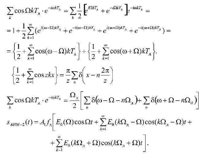
Спектр сигнала АИМ-2 Демодулятор сигнала АИМ-2 Ф К Спектр сигнала АИМ-2 Демодулятор сигнала АИМ-2 Ф К

АМПЛИТУДНО-ЧАСТОТНЫЕ ИСКАЖЕНИЯ Разложение амплитудно-частотной характеристики в ряд Фурье АМПЛИТУДНО-ЧАСТОТНЫЕ ИСКАЖЕНИЯ Разложение амплитудно-частотной характеристики в ряд Фурье

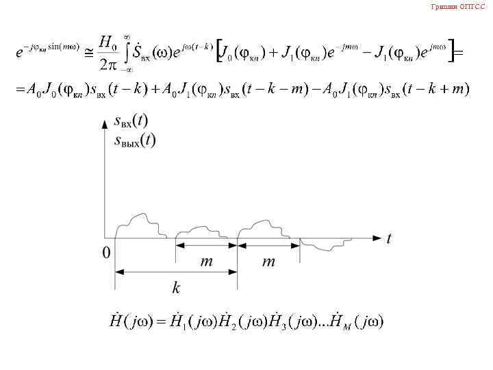
Сигнал на входе и выходе канала передачи с амплитудночастотными искажениями. Сигнал на входе и выходе канала передачи с амплитудночастотными искажениями.

ФАЗО-ЧАСТОТНЫЕ ИСКАЖЕНИЯ Разложение амплитудно-частотной характеристики в ряд Фурье ФАЗО-ЧАСТОТНЫЕ ИСКАЖЕНИЯ Разложение амплитудно-частотной характеристики в ряд Фурье

Гришин ОПТСС Гришин ОПТСС

Пример работы фильтра скользящего среднего Пример работы фильтра скользящего среднего

Спектр сигнала OFDM Cигнал OFDM Спектр сигнала OFDM Cигнал OFDM

Обнаружение начала символа OFDM по циклическому префиксу и преамбуле Обнаружение начала символа OFDM по циклическому префиксу и преамбуле