lek_4.ppt
- Количество слайдов: 45
Основные уравнения для определения характера электромагнитного поля, возбуждаемого в резонаторе активной средой с поляризацией
• Будем считать, что в активной среде нет свободных зарядов (ρ3 = 0), а под действием электромагнитного поля возбуждается лишь поляризация. Уравнения Максвелла имеют вид в системе СИ: (1). ; (2) (3) (4)
• • • Материальные уравнения имеют вид: (5) (6) • (7) , ; . • где — вектор макроскопической поляризации среды в отсутствии активных частиц; • — поляризация, связанная с активными частицами среды; • — вектор макроскопической намагниченности активных частиц; • σ — проводимость активной среды; — диэлектрическая проницаемость среды в отсутствии активных частиц; μ — магнитная проницаемость среды.
• Будем рассматривать среду, состоящую из частиц с электрическими дипольными моментами. • Будем предполагать, что полем возбуждается вектор макроскопической поляризации, • но вектор намагниченности = 0, μ = 1. • Потери в резонаторе квантового генератора, связанные с процессами поглощения излучения стенками и выводом наружу, можно описать феноменологически, считая, что активная среда, заполняющая резонатор, имеет проводимость σ, и электромагнитное поле приводит к появлению некоторого тока плотностью j.
Получим уравнение для напряженности электрического поля в . резонаторе исключим из уравнений Максвелла величины, относящиеся к магнитному полю. Возьмем rot от правой и левой частей векторного уравнения (1) • Из уравнения (2) имеем: • учитывая (5) и (7) имеем
Так как по предположению свободных зарядов нет, (8) • Решение уравнения (8) для напряженности электрического поля будем искать в виде: . • где вектор n (x, y, z) определяет распределение поля в собственном n-м типе колебаний резонатора.
Будем считать, что вектор напряженности электрического поля (а значит, и n) зависит лишь от координаты z и не зависит от двух других координат x и y (ось z направлена вдоль оси резонатора). Тогда оператор. Лапласа ∆ в уравнение (8) заменим ∂2/∂z 2. • (9) • Будем предполагать, что в резонаторе установились собственные ортогональные типы колебаний, такие, что ; выполняются следующие соотношения: n z • (10) • где z — единичный вектор в направлении вектора n; • Kn = 2πn/L — волновые числа; n — целое число; L — длина резонатора в направлении координаты z.
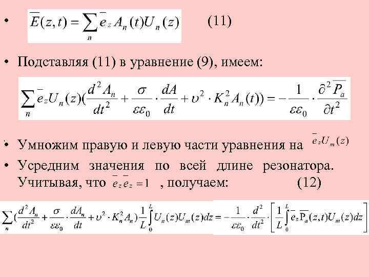
• (11) • Подставляя (11) в уравнение (9), имеем: , • Умножим правую и левую части уравнения на • Усредним значения по всей длине резонатора. Учитывая, что , получаем: (12)
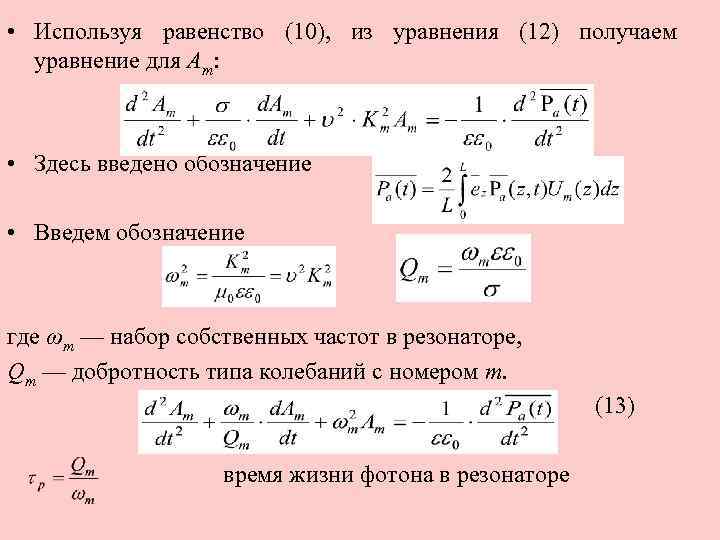
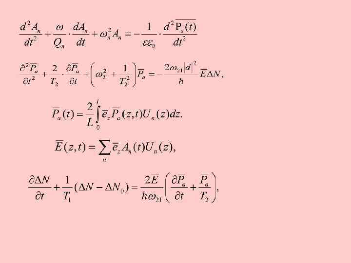
• Используя равенство (10), из уравнения (12) получаем уравнение для Am: • Здесь введено обозначение • Введем обозначение где ωm — набор собственных частот в резонаторе, Qm — добротность типа колебаний с номером m. (13) время жизни фотона в резонаторе
Уравнения, описывающие поведение поляризации, возбуждаемой в среде электромагнитным полем Е , • Получим уравнения, описывающие поведение поляризации, возбуждаемой в среде электромагнитным полем, а также • уравнение для изменения разности населенности уровней под действием электромагнитного поля в резонаторе квантового генератора. • Поведение частиц активной среды будем описывать квантовомеханически. Для этого необходимо определить матрицу плотности частиц. Поведение матрицы плотности во времени определяется уравнением: • (14)
• Предположим, что активную среду образуют частицы с двумя энергетическими уровнями 2 и 1. Гамильтониан такой частицы с учетом взаимодействия с электрическим полем имеет вид • (15) • собственный гамильтониан системы, учитывающий только внутренние взаимодействия, без учета взаимодействия с электрическим полем; ; • гамильтониан, описывающий взаимодействие . системы с электрическим полем; • — оператор дипольного момента, описывающий взаимодействие активных частиц с полем излучения в дипольном приближении. • (16)
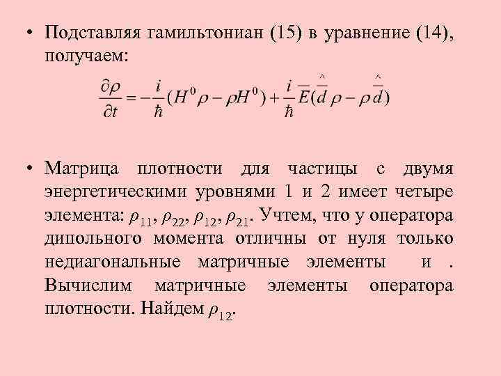
• Подставляя гамильтониан (15) в уравнение (14), получаем: • Матрица плотности для частицы с двумя энергетическими уровнями 1 и 2 имеет четыре элемента: ρ11, ρ22, ρ12, ρ21. Учтем, что у оператора дипольного момента отличны от нуля только недиагональные матричные элементы и . Вычислим матричные элементы оператора плотности. Найдем ρ12.
. • Учитывая, что частота перехода между уровнями 2 и 1, уравнения для элементов матрицы плотности приводим к виду • (17) • (18) • (19) • (20)
Уравнения, описывающие поведение поляризации, возбуждаемой в среде электромагнитным полем Е, с учетом процессов релаксации • учтем, что компоненты матрицы плотности могут изменяться за счет релаксационных процессов. • Введем времена релаксации, не выясняя пока причин этих процессов, Т 1 (время продольной релаксации) и Т 2 (время поперечной релаксации). • , , , — равновесные значения элементов матрицы плотности.
• Окончательно уравнения для матричных элементов с учетом релаксационных процессов имеют вид: • (21) • (22) • (23) • (24)
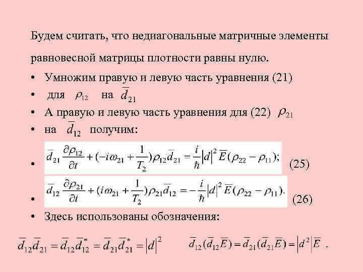
Будем считать, что недиагональные матричные элементы равновесной матрицы плотности равны нулю. • • Умножим правую и левую часть уравнения (21) для на А правую и левую часть уравнения для (22) на получим: • (25) • (26) • Здесь использованы обозначения:
• Сложение полученных уравнений (25), (26) дает • (27) • Вычитание уравнений (26) - (25)приводит к • (28) • Где (29) • (30)
Рассмотрим уравнения, описывающие изменение во времени диагональных элементов матрицы плотности Найдем уравнение для разности • Вычитая правую и левую части уравнения для из правой и левой частей уравнения для получим: (31) Выразим и ее производную через : (32) Получим (33)
Используем : Подставляем эти выражения в полученное ранее уравнение Получим после простых преобразований: (34)
Получим уравнения для населенности уровней и макроскопической поляризации, связанной с • • поляризацией активных частиц. Разность населенности частиц на верхнем и на нижнем энергетических уровнях найдем как (35) Макроскопическую поляризацию, связанную с активными частицами, выразим следующим образом: (36) • Используем полученные уравнения для разности диагональных элементов матрицы плотности получим • (37)
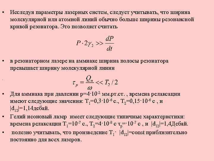
• Исследуя параметры лазерных систем, следует учитывать, что ширина молекулярной или атомной линий обычно больше ширины резонансной кривой резонатора. Это позволяет считать • в резонаторном лазере на аммиаке ширина полосы резонатора превышает ширину молекулярной линии . • Для аммиака при давлении p=4·10 -2 мм. рт. ст. , времена релаксации имеют следующие значения: T 1=0, 3·10 -6 с. , T 2=0, 15·10 -6 с , и |d 12|=1, 14 дебай. • Гелий неоновый лазер имеет следующие типичные характеристики: времена релаксации T 1=10 -7 с. , T 2=4·10 -8 с τр=·10 -7 с , и |d 12|=1, 4 Дебай. • полезно учитывать, что произведение T 1· |d 12|=const приблизительно постоянно для всех лазеров.
Укороченные уравнения • Пусть в генераторе возбуждается только один тип колебаний, а распределение поля, поляризации и разности населенности однородно по резонатору • частота распространяющегося поля близка к частоте квантового перехода , • пусть << , . - • (38)
Основные допущения • Первые два уравнения системы представляют собой систему, близкую к двум связанным гармоническим осцилляторам со слабой связью. Решение такой системы найдем в виде • Следует учесть, что в оптическом и СВЧ диапазонах параметры • медленно меняются по сравнению с • Поэтому величины можно рассматривать как малый параметр
• можно считать медленно меняющейся функцией времени • Дифференцируя решение по времени, получаем с точностью до членов первого порядка малости: • ( 39 ) • ( 40 ) ( • ( 41 ) • ( 42 )
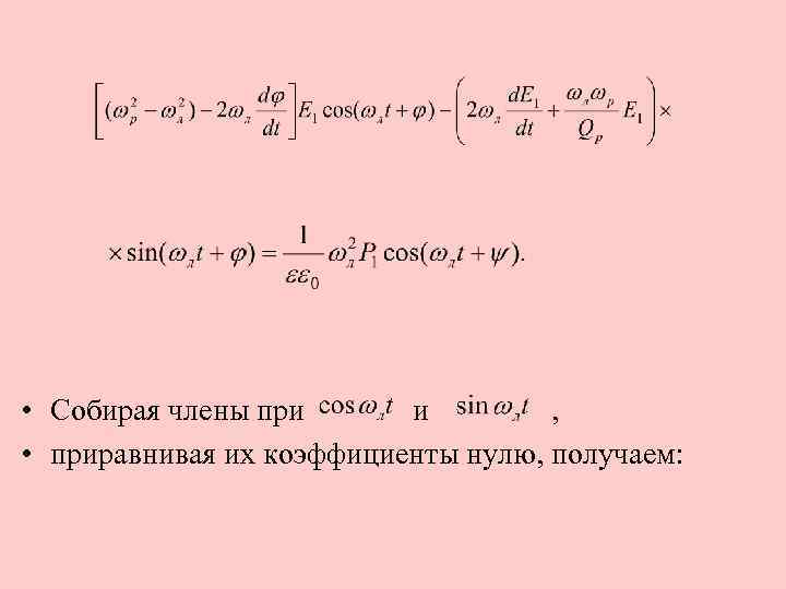
• Собирая члены при , • приравнивая их коэффициенты нулю, получаем:
• Умножим верхнее уравнение на , а нижнее на (– ), затем сложим их и поделим полученное на . Получим: • (43) . (–) , • При выводе (43) было использовано соотношение:
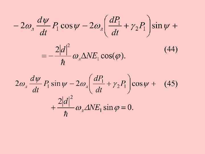
• Умножим верхнее уравнение на , а нижнее на ( ), затем сложим их и поделим полученное на . Получим: • (44) . (–) ,
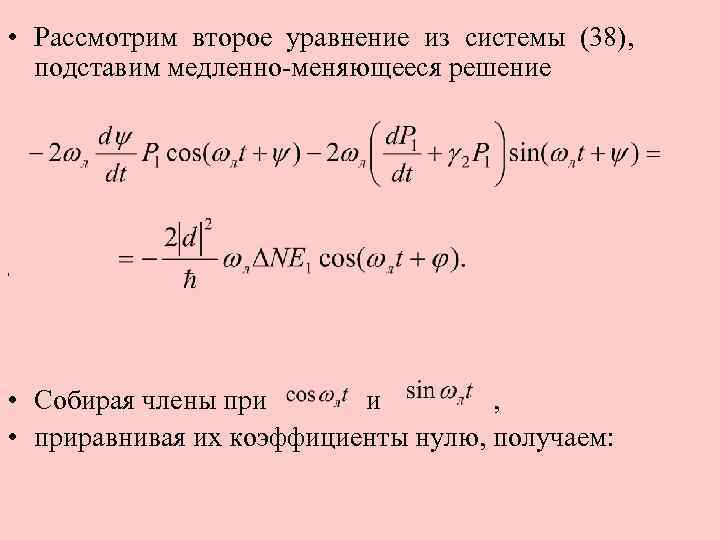
• Рассмотрим второе уравнение из системы (38), подставим медленно-меняющееся решение , • Собирая члены при , • приравнивая их коэффициенты нулю, получаем:
(44) (45)
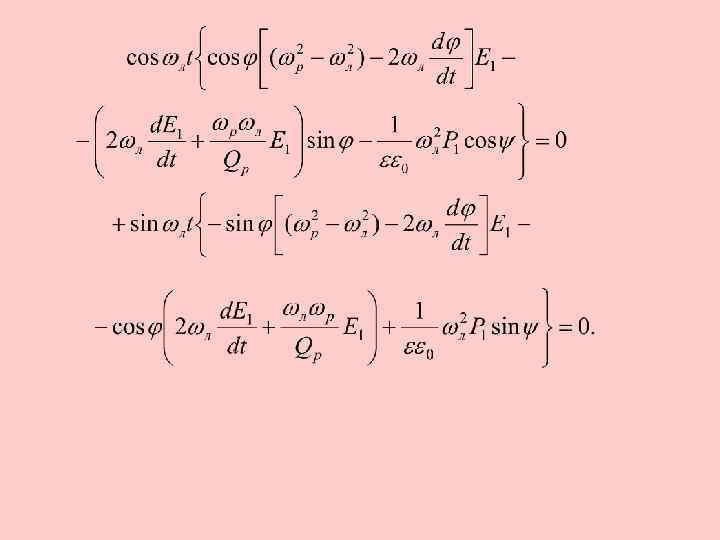
• • Умножая (44) на , a (45) на складывая и деля полученный результат на Получим: (46) • Умножая (44) на , a (45) на • складывая и деля полученный результат на • Получим: • (47)
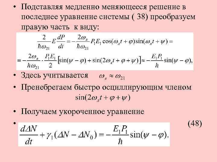
• Подставляя медленно меняющееся решение в последнее уравнение системы ( 38) преобразуем правую часть к виду: • Здесь учитывается • Пренебрегаем быстро осциллирующим членом • Получаем укороченное уравнение • (48)
Уравнение для разности фаз • Вычтем уравнение • Из уравнения • Получим • (49)
• Эта система описывает как стационарные, так и нестационарные явления в генераторе. Решение системы уравнений позволяет определить амплитуды и фазы поляризации и напряженности поля, а также найти изменение инверсной населенности в системе.
• Уравнения для стационарного состояния • (51)
Найдем стационарное решение системы уравнений (51) • Введем обозначения: • Из первого уравнения: • Из второго • Результат подставим в последнее:
• стационарное решение для разности фаз имеем: • (52) • если предположить, что частота лазерного перехода равна частоте резонатора ωл = ωр, то • следовательно, разность фаз равна /2, т. е. поляризация опережает поле по фазе на 90 , следовательно, энергия от среды передается полю.
• Подставляя выражение в решение (52) получим • (53)
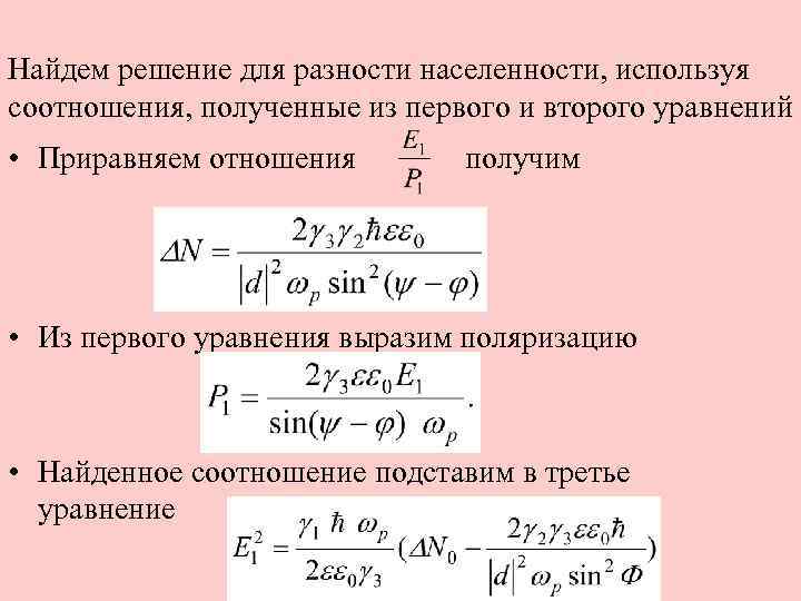
Найдем решение для разности населенности, используя соотношения, полученные из первого и второго уравнений • Приравняем отношения получим • Из первого уравнения выразим поляризацию • Найденное соотношение подставим в третье уравнение
• Подставляя выражение для напряженности получим выражение для стационарного решение для поляризации . • Для начала генерации необходимо, чтобы амплитуда поля была больше нуля. Для случая ωл = ωр это достигается при условии • Знак равенства соответствует пороговой разности населенности.
• Тогда выражение для напряженности можно записать в виде: • Вывод: чем выше добротность и чем больше превышение инверсной населенности, создаваемой источником накачки, над порогом, тем больше амплитуда поля в резонаторе.
Укороченные уравнения в безразмерной форме • Используем уравнения для стационарных состояний и введем переменные . ,
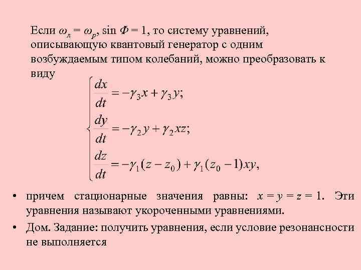
Если ωл = ωр, sin Φ = 1, то систему уравнений, описывающую квантовый генератор с одним возбуждаемым типом колебаний, можно преобразовать к виду • причем стационарные значения равны: x = y = z = 1. Эти уравнения называют укороченными уравнениями. • Дом. Задание: получить уравнения, если условие резонансности не выполняется
lek_4.ppt