ОСНОВНАЯ ФОРМУЛА ИНТЕГРАЛЬНОГО ИСЧИСЛЕНИЯ



![Свойство 3. (свойство аддитивности) Если функция f(x) интегрируема на отрезке [a; b] и a Свойство 3. (свойство аддитивности) Если функция f(x) интегрируема на отрезке [a; b] и a](https://present5.com/presentation/3/53267288_81474117.pdf-img/53267288_81474117.pdf-4.jpg)



![3. Для функции f(x), определенной на отрезке [a; b], имеет место неравенство 3. Для функции f(x), определенной на отрезке [a; b], имеет место неравенство](https://present5.com/presentation/3/53267288_81474117.pdf-img/53267288_81474117.pdf-8.jpg)
![Т. 2. 1. (теорема о среднем) Если функция f(x) непрерывна на отрезке [a; b], Т. 2. 1. (теорема о среднем) Если функция f(x) непрерывна на отрезке [a; b],](https://present5.com/presentation/3/53267288_81474117.pdf-img/53267288_81474117.pdf-9.jpg)




![Следствие Если функция f(x) непрерывна на отрезке [a; b], то для этой функции существует Следствие Если функция f(x) непрерывна на отрезке [a; b], то для этой функции существует](https://present5.com/presentation/3/53267288_81474117.pdf-img/53267288_81474117.pdf-14.jpg)




основная формула ИИ.ppt
- Количество слайдов: 18
ОСНОВНАЯ ФОРМУЛА ИНТЕГРАЛЬНОГО ИСЧИСЛЕНИЯ 1. Основные свойства определенного интеграла. 2. Оценки интеграла. Теорема о среднем. 3. Определенный интеграл как функция верхнего предела. 4. Вычисление определенного интеграла. Формула Ньютона-Лейбница.
Вопрос 1. Основные свойства определенного интеграла Интеграл (*) был введен для случая a < b. Обобщим понятие определенного интеграла на случай, когда пределы интегрирования совпадают или нижний предел больше верхнего.
Свойство 1. Эта формула получается из (*) при условии, что все Δxi = 0. Свойство 2. Эта формула получается из (*) при условии, что отрезок [a; b] пробегается в обратном направлении (от b к а), т. е. все Δxi < 0.
Свойство 3. (свойство аддитивности) Если функция f(x) интегрируема на отрезке [a; b] и a < c < b, то (1) Равенство (1) справедливо при любом расположении точек а, b и с (считаем, что функция f(x) интегрируема на большем из получающихся отрезков).
Свойство 4. Постоянный множитель можно выносить за знак определенного интеграла, т. е. где k = const. Свойство 5. Определенный интеграл от алгебраической суммы двух функций равен алгебраической сумме интегралов этих функций, т. е.
Замечание 1. Свойство 5 распространяется на сумму любого конечного числа слагаемых. 2. Свойства 4 и 5 в совокупности представляют собой свойство линейности определенного интеграла.
Вопрос 2. Оценки интеграла. Теорема о среднем Будем считать, что всюду a < b. 1. Если всюду на отрезке [a; b] функция f(x) ≥ 0, то 2. Если всюду на отрезке [a; b] f(x) ≥ g(x), то
3. Для функции f(x), определенной на отрезке [a; b], имеет место неравенство В частности, если всюду на отрезке [a; b] то и 4. Если m и М – соответственно наименьшее и наибольшее значения функции f(x) на отрезке [a; b], то
Т. 2. 1. (теорема о среднем) Если функция f(x) непрерывна на отрезке [a; b], то на этом отрезке существует точка с, такая, что (2) Равенство (2) называется формулой среднего значения, а величина f(c) - называется средним значением функции f(x) на отрезке [a; b].
Геометрический смысл теоремы о среднем Величина определенного интеграла при f(x) ≥ 0 равна площади прямоугольника, имеющего высоту f(c) и основание b ‒ a.
Вопрос 3. Определенный интеграл как функция верхнего предела Если функция y = f(x) интегрируема на отрезке [a; b], то она интегрируема и на любом меньшем отрезке, т. е. для x [a; b] существует интеграл (3) Для того чтобы не смешивать обозначения предела и переменной интегрирования, обозначим переменную интегрирования через t.
Тогда интеграл (3) запишется в виде Величина этого интеграла является функцией верхнего предела х и обозначается Ф(х): Функция Ф(х) называется интегралом с переменным верхним пределом.
Свойства функции Ф(х) Т. 3. 1. (непрерывность функции Ф(х)) Если функция f(x) непрерывна на отрезке [a; b], то функция Ф(x) будет так же непрерывна на отрезке [a; b]. Т. 3. 2. (дифференцирование функции Ф(х)) Если функция f(x) непрерывна на отрезке [a; b], то функция Ф(x) дифференцируема в любой внутренней точке х этого отрезка, причем справедливо равенство
Следствие Если функция f(x) непрерывна на отрезке [a; b], то для этой функции существует первообразная на данном отрезке, причем функция Ф(x) - интеграл с переменным верхним пределом – является первообразной для функции f(x). Так как всякая другая первообразная для функции f(x) отличается от Ф(x) только на постоянное слагаемое, то можно установить связь между неопределенным интегралами: где С – произвольная постоянная.
Вопрос 4. Вычисление определенного интеграла. Формула Ньютона- Лейбница Т. 4. 1. Если функция f(x) непрерывна на отрезке [a; b] и F(x) - любая первообразная для функции f(x) на [a; b], то справедлива формула (4) Формула (4) называется формулой Ньютона – Лейбница.
Доказательство Пусть F(x) - некоторая первообразная для функции f(x) на отрезке [a; b]. По теореме 3. 2 функция так же является первообразной для функции f(x). Тогда найдется такое число С, что F(x) = Ф(x) + C. Следовательно, ч. т. д.
Если ввести обозначение то формулу Ньютона-Лейбница (4) можно переписать в виде Формула Ньютона – Лейбница дает удобный способ вычисления определенных интегралов. Чтобы вычислить определенный интеграл необходимо найти любую первообразную функцию F(x) для f(x) и взять разность F(b) ‒ F(a) на концах отрезка [a; b].
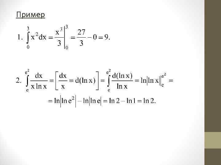
Пример

