ОПТИКА (5 дидактическая единица)






























































ОПТИКА (5 дидактическая единица)
ВОЛНОВАЯ ОПТИКА 1. Интерференция света – сложение двух или несколь- ких когерентных волн, в результате которого происходит перераспределение световой энергии в пространстве. Условия наблюдения интерференции: ь разность фаз постоянна волны монохроматические λ 1 =λ 2 Δφ = const ν 1 = ν 2 ь колебания светового вектора происходят в одном направлении
Интернет-тесты λ 1 ≠ λ 2 ν 1 ≠ ν 2 волны не когерентны интерференция не наблюдается!
Условия максимумов и минимов при Интерференции – связь разности фаз с оптической разностью хода Условия минимума при интерференции: разность фаз: волны складываются в противофазе опт. разность хода: Условия максимума при интерференции: разность фаз: волны складываются в одной фазе опт. разность хода:
Интернет-тесты начальная фаза колебаний min фаза волны
max m=2 Δ=2 λ =800 нм min Как отличаются оптические разности хода лучей: ь для соседних темных интерференционных полос? Δ=λ ь для соседних светлых интерференционных полос? Δ=λ ь для соседних темной и светлой интерференционной полосы? Δ=λ/2
В т. А приходят волны от двух когерентных источников S 1 и S 2. Длина волны в вакууме 600 нм. При какой минимальной разности фаз в т. А будет наблюдаться минимум интерференции? min m=0 Укажите, при каких из перечисленных ниже значениях разности хода в т. А будет наблюдаться максимум (минимум)интерференции: 0; 300 нм; 600 нм; 900 нм; 1200 нм; 1500 нм; 3000 нм max min
оптический +λ/2 1 путь 2 луча путь 1 луча 2 Δ = 2 dn - 0 луч 1: отражается от оптически менее плотной среды луч 2: отражается от оптически более плотной среды При отражении от оптически менее плотной среды появляется дополнительная разность хода λ/2
Интернет-тесты 1 1 ׳ max 1 ׳׳ Δ~ d Δ~ n Δ~ α d d↓ Δ↓ λ↓ n↓ Δ↓ λ↓
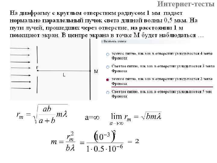
2. Дифракция света Дифракция – огибание волнами препятствий, соизме- римых с длиной волны. Метод зон Френеля b+2λ/2 rm b+λ/2 Расстояния от краев зон до точки а b наблюдения различаются на λ/2 – радиус m-ой зоны Френеля Если открыты амплитуда от первой зоны 1. все зоны: четное 2. количество зон: в центре темное пятно нечетное 3. количество зон: в центре светлое пятно
Интернет-тесты На рисунке представлена схема разбиения волновой поверхности Ф на зоны Френеля. Разность хода между лучами N 1 P и N 2 P равна… Расстояния от краев зон до точки наблюдения различаются на λ/2 Δ=λ/2
Интернет-тесты а=∞
Дифракция Фраунгофера на щели a λ – условие min φ – условие max Э φ – угол наблюдения max или min m – порядок минимума или максимума -3 -2 -1 0 1 2 3 d Дифракция Фраунгофера на решетке λ – условие главных max расстояние λ=const d ↓ sin φ ↑ между max ↑ φ d=const λ↑ sin φ ↑ Э λкр> λзел φкр> φзел -2 -1 0 1 2
max: λкр> λфиол φкр> φфиол (сильнее отклоняются красные лучи)
Интернет-тесты Имеются 4 решетки с различными постоянными d, освещаемые одним и тем же монохроматическим излучением различной интенсивности. Какой рисунок иллюстрирует положение главных максимумов, создаваемых дифракционной решеткой с наименьшей постоянной решетки? max: √ m=const λ=const чем меньше d, тем больше sin φ
Интернет-тесты Одна и та же дифракционная решетка освещается различными монохроматическими излучениями с разными интенсивностями. Какой рисунок соответствует случаю освещения светом с наименьшей длиной волны? с наибольшей частотой? √ max: m=const d=const чем меньше λ, тем меньше sin φ чем больше ν, тем меньше λ
Интернет-тесты На дифракционную решетку падает излучение одинаковой интенсивности с длинами волн λ 1 и λ 2. Укажите рисунок, иллю- стрирующий положение главных максимумов, создаваемых дифракционной решеткой, если λ 1 > λ 2 ? ( J – интенсивность, φ – угол дифракции). √ max: m=const d=const чем больше λ, тем больше sin φ
Интернет-тесты На дифракционную решетку падает излучение с длинами волн λ 1 и λ 2. Укажите рисунок, иллюстрирующий положение главных максимумов, создаваемых дифракционной решеткой, если λ 1 < λ 2 , J 1 >J 2 ? (J – интенсивность, φ – угол дифракции). √ max: m=const d=const чем больше λ, тем больше sin φ
При увеличении числа щелей в решетке максимумы становятся более узкими и яркими. N 2>N 1 max: Положения максимумов не поменились d 2=d 1
4. Поляризация Естественный – свет со всевозможными равновероятными ориентациями вектора Е Плоскополяризованный – свет, в кото- ром вектор Е колеблется только в одном направлении (в плоскости поляризации) Поляризаторы: пластинка турмалина, призма Николя, поляроид. интенсивность на вы- – закон Малюса ходе из анализатора интенсивность поляри- угол между зованного света, падаю- плоскостью щего на анализатор и плоскость падающего Jест J 1= Jест/2 J 2= J 1 cos 2φ J 2 min= 0 J 2 max= J 1 – степень – естеств. свет поляризации – поляриз. свет Чем больше разность между Jmax и Jmin, тем больше степень поляризации.
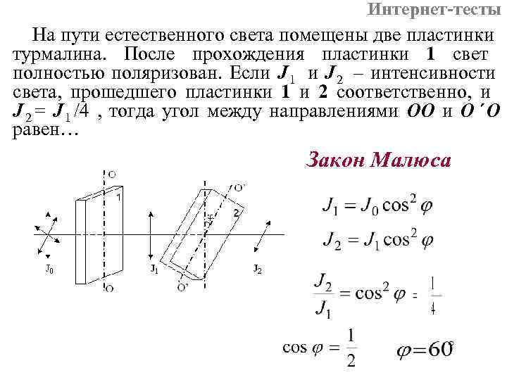
Интернет-тесты На пути естественного света помещены две пластинки турмалина. После прохождения пластинки 1 свет полностью поляризован. Если J 1 и J 2 – интенсивности света, прошедшего пластинки и 2 соответственно, и 1 J 2 = J 1 /4 , тогда угол между направлениями OO и O ΄ равен… Закон Малюса
Интернет-тесты J 0 J 1 J 2
Интернет-тесты Естественный свет: Поляризованный свет: Чем больше разность между Jmax и Jmin, тем больше степень поляризации. Pc > Pb > Pa
Поляризация при отражении и преломлении В отраженном луче преобладают колебания, перпендикулярные плоскос- ти падения (на схеме больше точек); В преломленном луче – колебания параллельные плоскости падения ( на схеме больше стрелок). полностью – закон поляризован Брюстера угол равен 90º При многократном пре- частично поляризован ломлении степень поля- ризации увеличивается.
Интернет-тесты O΄ O
Интернет-тесты угол между преломленным и отраженным лучами 90º свет падает под углом Брюстера ь отраженный луч полностью поляризован ь колебания в отраженном луче перпендикулярны плоскости падения
Интернет-тесты
60º α= αБр 90º α=60º β=180º-60º-90º 30º β=30º α= αБр β=30º α=60º tg αБр = n
5. Дисперсия Дисперсией света называется зависимость показателя преломления n вещества от частоты ν (длины волны λ ) света. или – нормальная – аномальная дисперсия n n аномаль- нормаль- аномаль- λ аномаль- нормаль- аномаль- ν ная ная
Интернет-тесты AB ω ↑ n ↑ C΄D΄ λ ↑ n ↓ λ↑ n↓ ω↑ n↑ нормальная дисперсия
КВАНТОВАЯ ОПТИКА 1. Тепловое излучение Все тела, имеющие отличную от нуля абсолютную температуру – источники теплового излучения. – энергетическая – закон Стефана- светимость. Больцмана при ↑ T На графике rλ(λ) RT – площадь под кривой площадь ↑ rλ – спектральная плотность энергетической светимости Интенсивность излучения – закон Вина λmax – длина волны, на которую приходится максимум функции rλ(λ) при ↑ T, λmax ↓ Длина волны (мкм)
T 1 T 2 T 1 > T 2 > T 3 T 1 < T 2 < T 3
Интернет-тесты На рисунке показана кривая зависимости спектральной плотности энергетической светимости абсолютно черного тела от длины волны при T=6000 K. Если температуру тела уменьшить в 4 раза, то длина волны, соответствующая максимуму излучения абсолютно черного тела, … Варианты ответов: • увеличится в 2 раза • уменьшится в 4 раза • увеличится в 4 раза • уменьшится в 2 раза Если температуру тела уменьшить в 2 раза, то энергетическая светимость абсолютно черного тела… Варианты ответов: • уменьшится в 16 раз • увеличится в 2 раза • уменьшится в 4 раза • увеличится в 16 раз
Интернет-тесты На рисунке показаны кривые зависимости спектральной плотности энергетической светимости абсолютно черного тела от длины волны при разных температурах. Если длина волны, соответствующая максимуму излучения, уменьшилась в 4 раза, то температура абсолютно черного тела. . . Варианты ответов: • увеличилась в 4 раза • уменьшилась в 2 раза • уменьшилась в 4 раза • увеличилась в 2 раза Если кривая 2 соответствует спектру излучения абсолютно черного тела при температуре 1500 К, то кривая 1 соответствует температуре (в). . . Ответы: • 1000 К • 3000 К • 6000 К • 750 К
Интернет-тесты При сером излучении интенсивность лучей для каждой длины волны при любой температуре составляет неизменную долю от интенсивности излучения черного тела.
при ↑ T площадь ↑ при ↑ T, λmax ↓ λmax 2 < λmax 1
при ↑ T площадь ↑ при ↑ T, λmax ↓, ωmax ↑
На рис. представлено распределение энергии в спектре абсолютно черного тела для двух температур: Т 1 (кривая 1) и Т 2. (кривая 2) Определите, как связаны температуры и энергетические светимости (RT) тел. На графике rλ(λ) RT – площадь под кривой RT 1 > RT 2 RT ~ T 4 T 1 > T 2 при ↑ T, λmax ↓ λmax 1 < λmax 2 T 1 > T 2
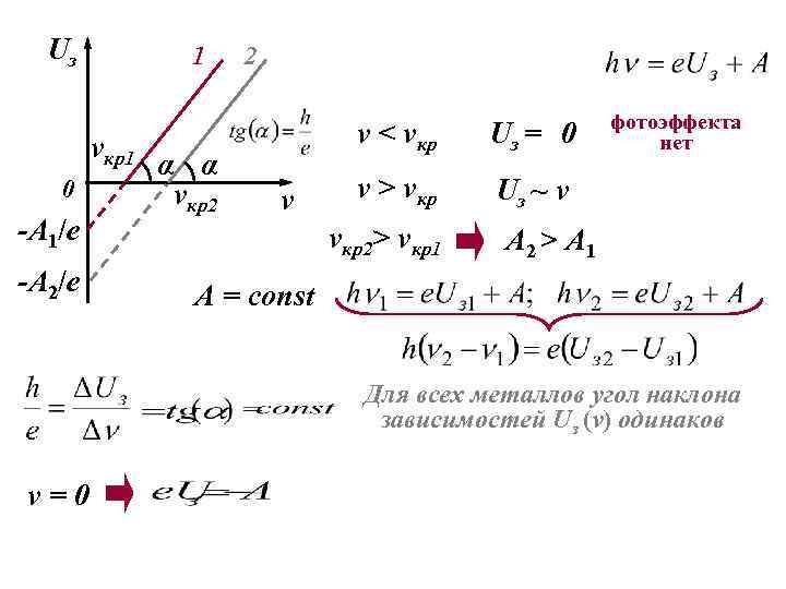
2. Фотоэффект Внешний фотоэффект – испускание электронов веществом под действием электромагнитного излучения. hν энергия фотона – уравнение Эйнштейна кинетическая работа выхода электронов из энергия электрона металла (зависит только от свойств металла) h=6. 62· 10 -34 Дж·с – постоянная Планка – красная граница фотоэффекта нет фотоэффекта энергии фотона недостаточно для выбивания электрона Для данного материала кинетическая энергия электрона зависит только от энергии падающего фотона (не зависит от их количества, т. е. интенсивности света)
Вольтамперная характеристика сила фототока I все выбитые электроны Iнас1 достигли анода I=Iнас Iнас3 1 3 интенсивность света J ~ Nфот = Nэлектр ~ Iнас ~ J 2 4 напряжение м/д J 1= J 2 > J 3 = J 4 катодом и анодом заряд электрона задерживающие напряжение Uз 1 Uз 2 0 U все выбитые электро- 0 ны вернулись обратно фотокатод не меняется A = const Uз ~ ν ν 1= ν 3 > ν 2 > ν 4 Uз = 0 ν = νкр ν 4 = νкр свет не меняется ν = const A↓ Uз ↑ A 1= A 3 < A 2 < A 4
Uз 1 2 фотоэффекта νкр1 ν < νкр Uз = 0 нет α α 0 νкр2 ν ν > νкр Uз ~ ν -A 1/e νкр2> νкр1 A 2 > A 1 -A 2/e A = const Для всех металлов угол наклона зависимостей Uз (ν) одинаков ν=0
На рис. изображены зависимости фототока от напряжения (вольтамперные характеристики фотоэффекта), полученные при различных условиях. Какая кривая была получена при освещении металла монохроматическим излучением с длиной волны, равной красной границе фотоэффекта? Uз 1= 0 ν 1 = νкр
Интернет-тесты Iнас1= Iнас2 J 1= J 2 Uз 1>Uз 2 ν 1> ν 2 Iнас1> Iнас2 J 1> J 2 Uз 1=Uз 2 ν 1=ν 2
Интернет-тесты На рисунках изображены зависимости фототока от напряжения между катодом и анодом, полученные при освещении двух метал- лов монохроматическим излучением с одинаковой частотой. Для каждого случая сравните работы выхода электронов из металлов (А) и световые потоки (Ф). Ф 1 = Ф 2 Ф 1 < Ф 2 А 1 > А 2 А 1 = А 2 А 1 > А 2 Ф~J J~Iнас Ф~I ν = const A↑ Uз ↓
Интернет-тесты На рисунке представлены две зависимости задержи - вающего напряжения U 3 от частоты падающего света ν для внешнего фотоэффекта. Укажите верные утверждения. ─ А 2 < А 1, где А 1 и А 2 – значения работы выхода электронов из соответ ствующего металла νкр1 С помощью этих зависимостей νкр2 √ можно определить постоянной Планка значение Зависимости получены для двух √ различных металлов λ 01 > λ 02 , где λ 01 и λ 02 – значен νкр2> νкр1 A 2> A 1√ красной границы фотоэффекта для соответствующего металла λкр2< λкр1 ─ Зависимости получены дляодного различных освещенностей двух металла √ Угол наклона зависимостей 1 и 2 одинаков
Интернет-тесты На рисунке представлены две зависимости задержи - вающего напряжения U 3 от частоты падающего света ν для внешнего фотоэффекта. Укажите верные утверждения. А 2 > А 1, где А 1 и А 2 – значения работы выхода электронов из соответ ствующего металла С помощью этих зависимостей можно определить значение постоянной Планка Зависимости получены для двух различных металлов λ 01 < λ 02 , где λ 01 и λ 02 – значен красной границы фотоэффекта для соответствующего металла Зависимости получены для двух различных освещенностей одного утверждения немного металла отличается от Угол наклона зависимостей 1 и 2 предыдущих! одинаков
Интернет-тесты На приведенном рисунке на осях x и y отложены соответственно: частота света ν и кинетическая энергия W k фотоэлектронов, вырываемых с поверхности фотокатода. Для некоторого материала фотокатода исследованная зависимость на рисунке представлена линией с. Укажите линию, которая будет соответствовать случаю, когда материал фотокатода заменен на материал с большей работой выхода. A 2> A 1 νкр2> νкр1 красная граница фотоэффекта
Интернет-тесты J ~ Nфот= Nэлектр J ~ Nэлектр
Интернет-тесты
3. Свойства фотонов (квантов света) Энергиия: h=6. 62· 10 -34 Дж·с – постоянная Планка Скорость: c =3· 108 м/с – скорость света Масса: Импульс:
Интернет-тесты
Интернет-тесты λ↑ p↓ λинфр> λвид > λуф > λрентг 1/4 2 1/2 4
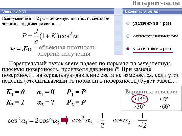
4. Давление света – давление, которое оказывает электро- магнитное излучение, падающее на поверхность тела Зависит от: ь интенсивности света ь отражающей способ- ности тела Обусловлено: импульсом переданным поверх- ности падающими фотонами Давление при падении света под углом α к нормали: J – интенсивность падающего света; c – скорость света; K – коэффициент отражения: K=1 – зеркальное тело K=0 – абсолютно черное тело С ветовое давление на абсолютно черное тело в два раза меньше, чем на зеркальное.
Интернет-тесты Световое давлеие на черное тело меньше, чем на белое. Чем больше импульс падающих фотонов, тем большее давление они оказывают p ↑ λ↓ С ветовое давление на черное тело меньше, чем на зеркальное.
Интернет-тесты J ~ Nфот J 2 = J 1 / 2 K 1 = 1 K 2 = 0 P 2 = P 1 / 4 J 2 = J 1 K 1 = 1 K 2 = 0 P 2 = P 1 / 2
Интернет-тесты w = J/c – объёмная плотность энергии излучения Параллельный пучок света падает по нормали на зачерненную плоскую поверхность, производя давление Р. При замене поверхности на зеркальную давление света не изменяется, если угол падения (отсчитываемый от нормали к поверхности) будет равен… K 1 = 0 α 1 = 0 P 1 = P Варианты ответов: • 45º • 0º K 2 = 1 α 2 = ? P 2 = P • 30º • 60º
Параллельный пучок свет, падающий на зеркальную плоскую поверхность, под углом α=60° (отсчитываемым oт нормали к поверхности), производит давление Р. Если тот же пучок света направить по нормали на зачерненную поверхность, то световое давление будет равно. . . K 1 = 1 α 1 = 60º P 1 = P Варианты ответов: K 2 = 0 α 2 = 0 P 2 = ? • Р • 2 Р • Р/2 • 4 Р
5. Эффект Комптона – рассеяние фотонов электро- магнитного излучения на свободных электронах. рф – импульс фотона до столкновения; ре- – импульс электрона; рф΄ – импульс фотона после столкновения; φ – угол рассеяния фотона. энергия электрона до и после столкновения ЗСИ ЗСЭ – изменение дины волны падающего фотона λe =2, 426 пм φ ↑ Δλ ↑ λ΄ ↑ ν΄ ↓
Интернет-тесты ЗСИ φ
Интернет-тесты На рисунке показаны направления падающего фотона ( γ ), рассеянного фотона ( γ ') и электрона отдачи ( e ). Угол рассеяния 90°, направлен движения электрона отдачи составляет с направлением падающего фотона угол φ =30 o. Если импульс падающего фотона Pф , то импульс рассеянного фотона равен… ЗСИ φ
Интернет-тесты На рисунке показаны направления падающего фотона ( γ ), рассеянного фотона ( γ ') и электрона отдачи ( e ). Угол рассеяния 90°, направлен движения электрона отдачи составляет с направлением падающего фотона угол φ =30 o. Если импульс электрона отдачи 3(Мэ. В · с)/м , то импул рассеянного фотона (в тех же единицах) равен. . . ЗСИ φ φ = 30º =1, 5 (Мэ. В·с)/м
Интернет-тесты φ

