Скачать презентацию Определитель и его свойства Определитель квадратной матрицы Скачать презентацию Определитель и его свойства Определитель квадратной матрицы

Определитель и его свойства ВМ 2.ppt

  • Количество слайдов: 16

Определитель и его свойства Определитель и его свойства

Определитель квадратной матрицы есть некоторое число, которое вычисляется из элементов матрицы по определенному правилу, Определитель квадратной матрицы есть некоторое число, которое вычисляется из элементов матрицы по определенному правилу, которое будет сформулировано после введения понятий миноров и алгебраических дополнений элементов определителя. Определителем (детерминатором) II порядка, который соответствует квадратной матрице II порядка, именуется число, обозначаемое символом ОБОЗНАЧЕНИЯ

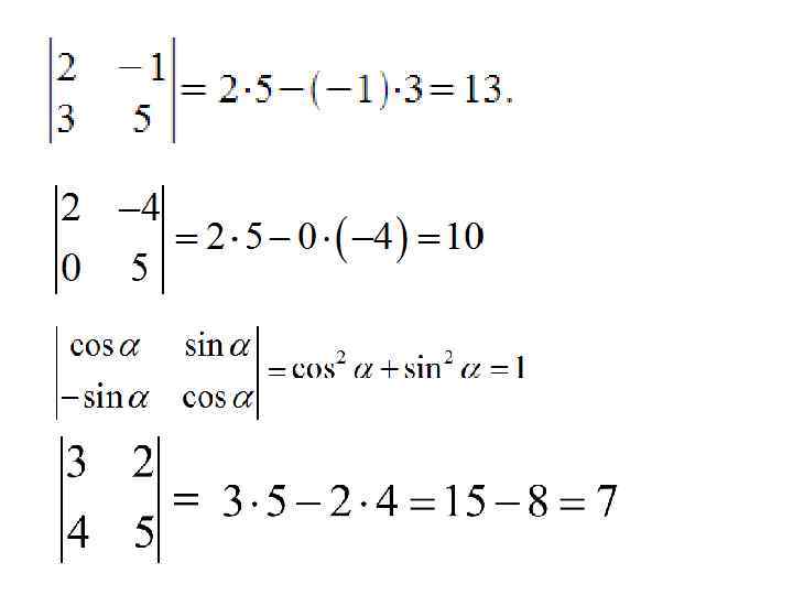
Вычисление определителей 1. Определитель 1 -го порядка равен самому элементу Например: 2. Определитель 2 Вычисление определителей 1. Определитель 1 -го порядка равен самому элементу Например: 2. Определитель 2 -го порядка находится по правилу Определитель 2 -го порядка равен разности произведений элементов главной и побочной диагонали. Например:

ОПРЕДЕЛИТЕЛЬ МАТРИЦЫ 3× 3 Для вычисления определителя матрицы размером 3× 3, строится шесть произведений ОПРЕДЕЛИТЕЛЬ МАТРИЦЫ 3× 3 Для вычисления определителя матрицы размером 3× 3, строится шесть произведений следующим образом: На рисунке элементы, входящие в сумму с плюсом, отмечены красным, а с минусом — синим, каждой законченной фигуре из трёх точек соответствует один член суммы из трёх сомножителей.

0 0

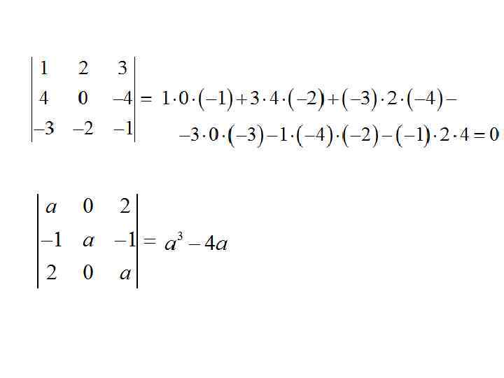
Вычисление определителя 3 -го порядка (правило треугольника или правило Саррюса): Вычисление определителя 3 -го порядка (правило треугольника или правило Саррюса):

Разложение определителя по элементам строки или столбца Вычислить определитель матрицы третьего порядка разложением по Разложение определителя по элементам строки или столбца Вычислить определитель матрицы третьего порядка разложением по элементам первой строки. Полученный результат находится в соответствии с правилом треугольников.

Свойства определителей 1. Постоянный множитель из элементов какого либо ряда можно выносить за знак Свойства определителей 1. Постоянный множитель из элементов какого либо ряда можно выносить за знак определителя 2. Определитель равен нулю, если все элементы какого-либо ряда равны нулю

3. Определитель равен нулю, если есть два ряда, соответствующие элементы которых равны или пропорциональны 3. Определитель равен нулю, если есть два ряда, соответствующие элементы которых равны или пропорциональны 4. Определитель не изменится при замене всех его строк соответствующими столбцами. Проверить , если

5. При перестановке двух столбцов (строк) определитель меняет знак. Проверить 5. При перестановке двух столбцов (строк) определитель меняет знак. Проверить

6. Если к элементам строки (столбца) прибавить соответствующие элементы другой строки (столбцу), умноженные на 6. Если к элементам строки (столбца) прибавить соответствующие элементы другой строки (столбцу), умноженные на произвольный множитель, то значение определителя не изменится. 4 4 10 2 12 1 det A = -2 2 2 4 = 10 2 2 2 = Из элементов столбца 3 вычитаем соответствующие элементы столбца 1. 0 1 -2 1 = Из элементов строки 2 вычитаем соответствующие элементы строки 3 , умноженные на 2. 4 = -2 0 8 -2 0 1 2 1 = Разлагаем определитель по элементам третьего столбца. 8

Частный случай 1: Частный случай 1:

Частный случай 2: Частный случай 2: