Скачать презентацию Определение производной Её геометрический и физический смысл Скачать презентацию Определение производной Её геометрический и физический смысл

38. Определение произв., ее геометр. и физ. смысл.pptx

  • Количество слайдов: 22

Определение производной. Её геометрический и физический смысл Определение производной. Её геометрический и физический смысл

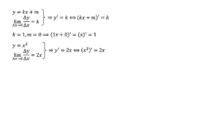
Упражнение: • Упражнение: •

 •

 •

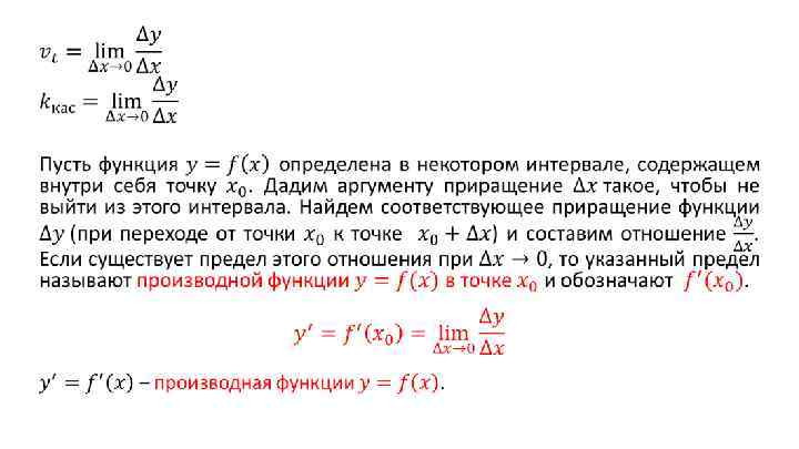
Физический смысл производной: • Физический смысл производной: •

Геометрический смысл производной: • Геометрический смысл производной: •

 •

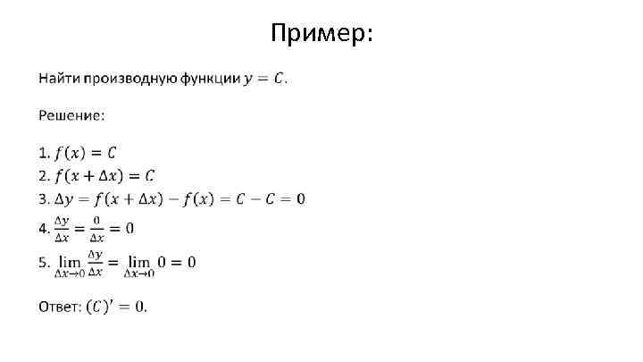
Пример: • Пример: •

Пример: • Пример: •

 •

Если в некоторой точке к графику функции нельзя провести касательную, то в этой точке Если в некоторой точке к графику функции нельзя провести касательную, то в этой точке не существует производная. Если в некоторой точке к графику функции можно провести касательную, не перпендикулярную оси абсцисс, то в этой точке функция дифференцируема. Если в некоторой точке касательная к графику функции не существует или она перпендикулярна оси абсцисс, то в этой точке функция недифференцируема.

Раздел математики который изучает производные функции и их применения, называется дифференциальным исчислением. Это исчисление Раздел математики который изучает производные функции и их применения, называется дифференциальным исчислением. Это исчисление возникло из решений задач на проведение касательных к кривым, на вычисление скорости движения, на отыскание наибольших и наименьших значений функции.

Архимед (ок. 287 – 212 до н. э. ) Архимед (ок. 287 – 212 до н. э. )

Апполоний Пергский (ок. 262 – 190 до н. э. ) Апполоний Пергский (ок. 262 – 190 до н. э. )

Пьер Ферма (1601 – 1665 гг. ) Исаак Ньютон (1642 – 1727 гг. ) Пьер Ферма (1601 – 1665 гг. ) Исаак Ньютон (1642 – 1727 гг. )

Основываясь на результатах Ферма и некоторых других выводах, Лейбниц в 1684 году опубликовал первую Основываясь на результатах Ферма и некоторых других выводах, Лейбниц в 1684 году опубликовал первую статью по дифференциальному исчислению, в которой были изложены основные правила дифференцирования. Готфрид Вильгельм Лейбниц (1646 – 1716 гг. )

 Жозеф Луи Лагранж 1736 – 1813 Жозеф Луи Лагранж 1736 – 1813