Лекция 9.ppt
- Количество слайдов: 38
Определение: Абсолютно твердым телом (АТТ) называется такая механическая система, в которой расстояние между любыми двумя точками неизменно.
М 1 М 2 М 3
Геометрические связи: Число степеней свободы: 9 -3=6 Для определения положения АТТ необходимо задать шесть параметров
Простейшие движения АТТ Простейшими называются поступательное и вращательное (вокруг закрепленной оси) движения твердого тела.
Определение: Поступательным называют такое движение АТТ, при котором любая прямая проведенная в теле во все время движения остается параллельной самой себе.
В А
В 1 А 1 В 2 А 2
В 1 А 1 В 2 А 2
Выводы: 1. При поступательном движении АТТ все его точки описывают одинаковые траектории и в любой момент времени имеют одинаковые скорости и ускорения. 2. Поступательное движение АТТ вполне определяется движением одной из его точек. Следовательно изучение поступательного движения АТТ сводится к кинематике точки.
Определение: Если АТТ движется так, что две его точки, например А и В, остаются неподвижными, то движение тела называется вращательным, а прямая АВ – осью вращения.
А В М
z А В P Q -закон вращательного движения
- угловая скорость - угловое ускорение
Частные случаи: Случай 1: (1)
Случай 2: (2) (3)
z А В Q P
Скорости и ускорения точек вращающегося твердого тела z А В x О М y
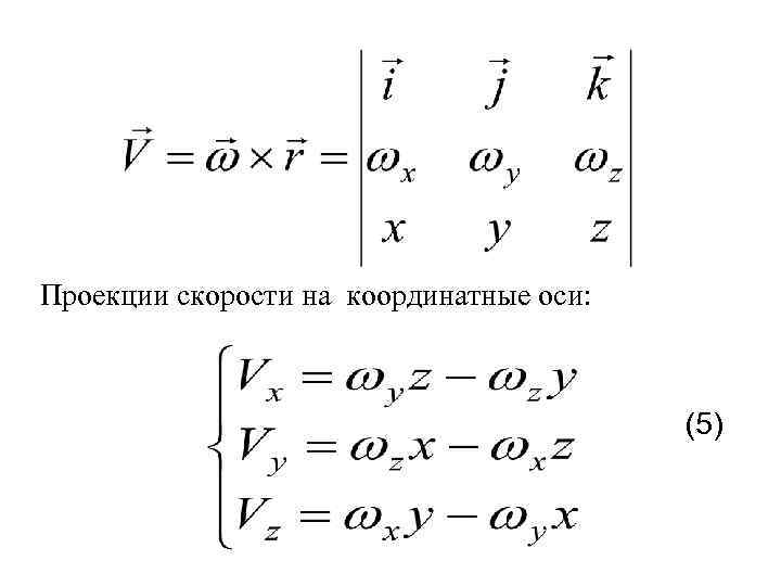
- формула Эйлера (4) z А В x О М y
Проекции скорости на координатные оси: (5)
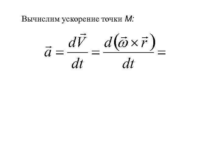
Вычислим ускорение точки М:
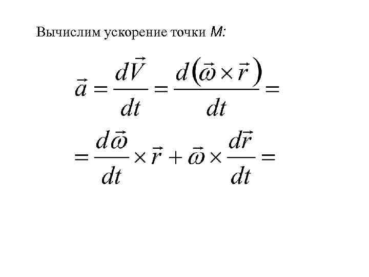
Вычислим ускорение точки М:
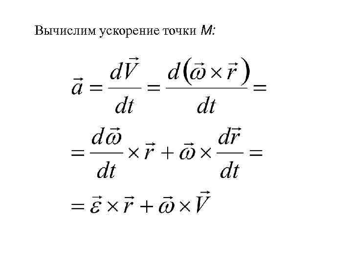
Вычислим ускорение точки М:
Составляющие ускорения в проекции на естественные оси: (6) - вращательное ускорение (7) -осестремительное (8) ускорение
z А В x М y О (9)
Преобразование простейших движений АТТ 1. Преобразование поступательного движения 2. в поступательное (клиновидная передача)
2. Преобразование вращательного движения во вращательное а) шестеренчатая передача r 1 r 2 A - передаточное число
Внутреннее зацепление r 1 r 2
б) ременная передача А В r 1 r 2
3. Преобразование вращательного движения в поступательное или наоборот r
Пример: Диск вращается вокруг оси, проходящей через его центр перпендикулярно к его плоскости, по закону: Определить ускорение точки, лежащей на ободе диска при t=1 c. Радиус диска равен R. Переделать решение
R
М R
М R
М R
М R
Лекция 9.ppt