Скачать презентацию Onset and dose-related efficacy of house dust mite Скачать презентацию Onset and dose-related efficacy of house dust mite

e934f0d17851eba11c96b13fc2519754.ppt

  • Количество слайдов: 10

Onset and dose-related efficacy of house dust mite sublingual immunotherapy tablets in an environmental Onset and dose-related efficacy of house dust mite sublingual immunotherapy tablets in an environmental exposure chamber Hendrik Nolte, MD, Ph. D, Jennifer Maloney, MD, Harold S. Nelson, MD, David I. Bernstein, MD, Susan Lu, Pharm. D, Ziliang Li, Ph. D, Amarjot Kaur, Ph. D, Petra Zieglmayer, MD, René Zieglmayer, Dipl Ing, Patrick Lemell, Ph. D, Friedrich Horak, MD Journal of Allergy and Clinical Immunology Volume 135, Issue 6, Pages 1494 -1501. e 6 (June 2015) DOI: 10. 1016/j. jaci. 2014. 12. 1911 Copyright © 2015 American Academy of Allergy, Asthma & Immunology Terms and Conditions

Fig 1 Journal of Allergy and Clinical Immunology 2015 135, 1494 -1501. e 6 Fig 1 Journal of Allergy and Clinical Immunology 2015 135, 1494 -1501. e 6 DOI: (10. 1016/j. jaci. 2014. 12. 1911) Copyright © 2015 American Academy of Allergy, Asthma & Immunology Terms and Conditions

Fig 2 Journal of Allergy and Clinical Immunology 2015 135, 1494 -1501. e 6 Fig 2 Journal of Allergy and Clinical Immunology 2015 135, 1494 -1501. e 6 DOI: (10. 1016/j. jaci. 2014. 12. 1911) Copyright © 2015 American Academy of Allergy, Asthma & Immunology Terms and Conditions

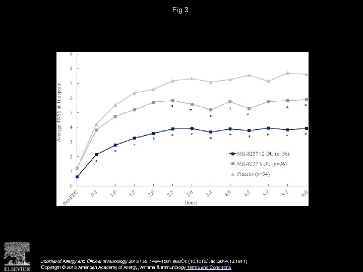
Fig 3 Journal of Allergy and Clinical Immunology 2015 135, 1494 -1501. e 6 Fig 3 Journal of Allergy and Clinical Immunology 2015 135, 1494 -1501. e 6 DOI: (10. 1016/j. jaci. 2014. 12. 1911) Copyright © 2015 American Academy of Allergy, Asthma & Immunology Terms and Conditions

Fig 4 Journal of Allergy and Clinical Immunology 2015 135, 1494 -1501. e 6 Fig 4 Journal of Allergy and Clinical Immunology 2015 135, 1494 -1501. e 6 DOI: (10. 1016/j. jaci. 2014. 12. 1911) Copyright © 2015 American Academy of Allergy, Asthma & Immunology Terms and Conditions

Fig E 1 Journal of Allergy and Clinical Immunology 2015 135, 1494 -1501. e Fig E 1 Journal of Allergy and Clinical Immunology 2015 135, 1494 -1501. e 6 DOI: (10. 1016/j. jaci. 2014. 12. 1911) Copyright © 2015 American Academy of Allergy, Asthma & Immunology Terms and Conditions

Fig E 2 Journal of Allergy and Clinical Immunology 2015 135, 1494 -1501. e Fig E 2 Journal of Allergy and Clinical Immunology 2015 135, 1494 -1501. e 6 DOI: (10. 1016/j. jaci. 2014. 12. 1911) Copyright © 2015 American Academy of Allergy, Asthma & Immunology Terms and Conditions

Fig E 3 Journal of Allergy and Clinical Immunology 2015 135, 1494 -1501. e Fig E 3 Journal of Allergy and Clinical Immunology 2015 135, 1494 -1501. e 6 DOI: (10. 1016/j. jaci. 2014. 12. 1911) Copyright © 2015 American Academy of Allergy, Asthma & Immunology Terms and Conditions

Fig E 4 Journal of Allergy and Clinical Immunology 2015 135, 1494 -1501. e Fig E 4 Journal of Allergy and Clinical Immunology 2015 135, 1494 -1501. e 6 DOI: (10. 1016/j. jaci. 2014. 12. 1911) Copyright © 2015 American Academy of Allergy, Asthma & Immunology Terms and Conditions

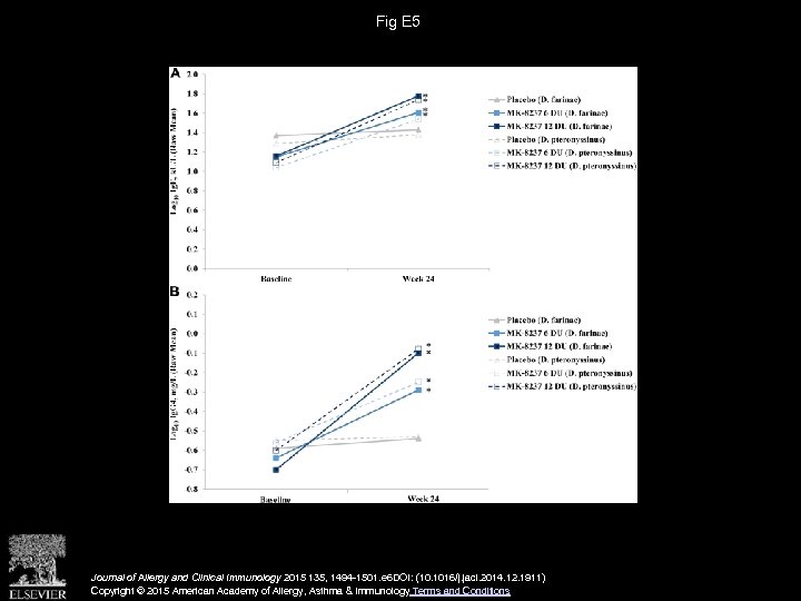
Fig E 5 Journal of Allergy and Clinical Immunology 2015 135, 1494 -1501. e Fig E 5 Journal of Allergy and Clinical Immunology 2015 135, 1494 -1501. e 6 DOI: (10. 1016/j. jaci. 2014. 12. 1911) Copyright © 2015 American Academy of Allergy, Asthma & Immunology Terms and Conditions