a6dd7459bd6645995360e733bc162466.ppt
- Количество слайдов: 93
October 25, 1811 to October 25, 2011
Primary References
The Question
The Equation: An algebraic solution uses: An algebraic – 1, …, c 2, c c • The coefficients cn, cnsolution 1, is 0, also sometimes called+“solving by • Addition and subtraction, - , radicals. ”/ , and • Multiplication and division, x • Extraction of roots, .
A Familiar Example The Question: The Answer:
An Unfamiliar Example The Question: The Answer:
The Question: The Answer: There is an algebraic equation! The Question: The Answer: There is an no algebraic equation!
A Brief History of Equations: The Quadratic
Tigris Euphrates Babylon NASA image from: http: //www. grabovrat. com/maps. Views. Fig/maps. Views 815. jpg
NASA image from: http: //www. grabovrat. com/maps. Views. Fig/maps. Views 815. jpg Nile River Egypt
From Wikipedia
Brahmagupta (598 -670) The product or ratio of two debts is a fortune; the product or ratio of a debt and a fortune is a debt. http: //www. fathersofmathematics. com/
Muhammad ibn Musa al. Khwarizmi (circa 790 -850) Kitab al-jabr we al-muqabalah (The Condensed Book on Restoration and Balancing)
Abraham bar Hiyya Ha-nasi (1070 -1136) http: //www. esefarad. com/? p=8536
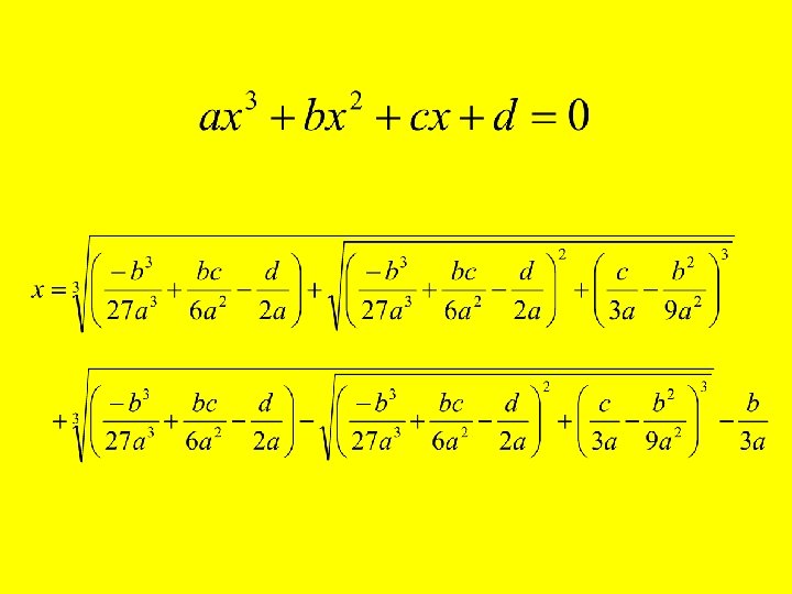
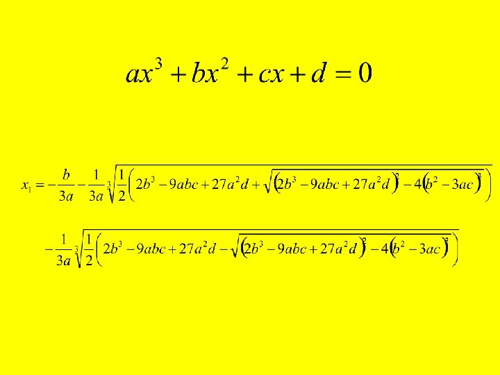
A Brief History of Equations: The Cubic
• 1515, Scipione dal Ferro's (1465 -1526) (Doesn’t publish; tells his student Antonio Maria Fiore. ) • 1535, Fiore challenged Niccolo Tartaglia to a “cubic solving contest. ”
Niccolo Tartaglia (1500 -1557)
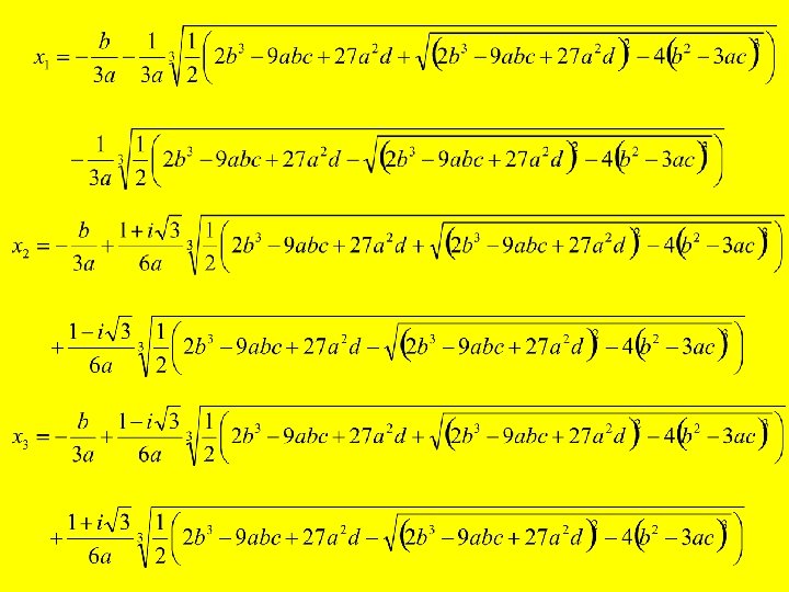
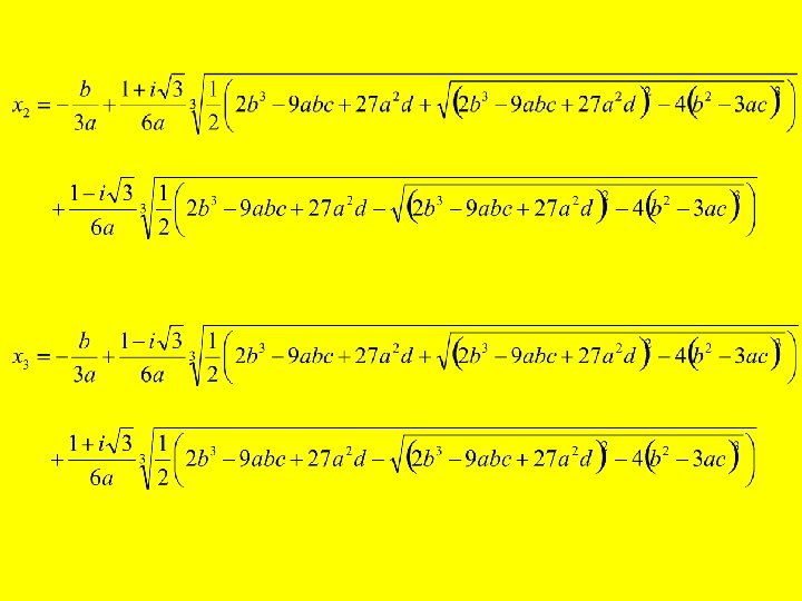
A Brief History of Equations: The Quartic
• 1540, Lodovico Ferrari (1522 – 1565) solves the quartic equation:
Gerolamo Cardano (1501 -76) http: //nsm 1. nsm. iup. edu/gsstoudt/history/image s/arsmagna. html
A Brief History of Equations: The Quintic
Unsuccessful Attempts • Scot James Gregory (1638 -75) • Ehrenfried Walther von Tschirnhaus (1651 -1708) • Etienne Bezout (1730 -83) • Erland Samuel Bring (1736 -98)
Paolo Ruffini (1765 -1822)
Niels Henrik Abel 1802 - 1829
The Revised Question When is there an algebraic equation which gives the solutions of a polynomial equation?
Evariste Galois 1811 -1832
(1866) Bourg-la-Reine http: //www. zonu. com/fullsize-en/2009 -09 -18 -10505/Environs-of-Paris-Map-France-1866. html
France during Galois’ Life http: //eurohist. tumblr. com/post/281851262 1/napoleon-bonaparte-how-people-usuallythink-of http: //mateengreenway. com/steamp unk/Space 1889 timeline. htm
Charles X From Wikipedia
Left his parents house for the Lycee Loius-le -Grand, 1823. October 25, 1811 1816 1821 1826 May 30, 1832
Lycee Louis-le-Grand http: //www. galois. ihp. fr/ From Wikipedia
Adrien-Marie Legendre (1752 – 1833) http: //www. ee. nthu. edu. tw/~sdyang/C ourses/PDE. htm http: //mathdl. maa. org/math. DL/46/? pa=content&sa=view. Document&n ode. Id=2591&body. Id=3665
Louis-Paul-Emile Richard (1795 -1849) http: //www. wpclipart. com/people/faces/anonymous/photo_not_available_large. png. html
Galois publishes his first paper: Proof of a Theorem on Periodic Continued Fractions, April 1829. October 25, 1811 1816 1821 1826 May 30, 1832
The Two Questions Again 1. Find all the equations of a specific degree that are solvable by algebra (i. e. , by radicals), and 2. Decide whether a given equation can be solved by algebra or not. Two memoires.
The French Academy of Sciences 1 Jean Baptiste Joseph Fourier (1768 – 1830) Augustin Louis Cauchy (1789 – 1857) Claude Louis Marie Henri Navier (1785 – 1836)
The French Academy of Sciences 2 Augustin Louis Cauchy (1789 – 1857) Siméon Denis Poisson 1781 - 1840
Evariste’s father, Nicolas-Gabriel, commits suicide, July 2, 1829. October 25, 1811 1816 1821 1826 May 30, 1832
The Ecole Polytechnique http: //www. galois. ihp. fr/
Galois fails the entrance exam to the Ecole Polytechnique, June 1828 & July 1829. October 25, 1811 1816 1821 1826 May 30, 1832
Galois enters Ecole Preparatoire, February 1830; Meets Auguste Chevalier there. October 25, 1811 1816 1821 1826 May 30, 1832
? Augustin Louis Cauchy (1789 – 1857)
Grand Prix de Mathematiques X Jean Baptiste Joseph Fourier (1768 – 1830) X
A Third Try with the Memoire Siméon Denis Poisson 1781 - 1840 “We made all possible efforts to understand M. Galois' evidence. His thesis is neither clear enough, nor sufficiently developed to enable us to judge its rigour. Neither are we able to provide a clear idea of this work. For this reason, we return your manuscript in the hope that you will find M. Poisson's observations of use for your future research. ”
Galois’ Five Publications 1. “Proof of a Theorem on Periodic Continued Fractions” in Annals of Pure and Applied Mathematics, 19, 294 -301 (April 1829). 2. “An Analysis of the Resolution of Algebraic Equations” in Bulletin of the Mathematical, Physical, and Chemical Sciences, 13, 271 -272 (April 1830). 3. “Note on the Resolution of Numerical Equations” in Bulletin of the Mathematical, Physical, and Chemical Sciences, 13, 413 -414 (June 1830). 4. “On the Theory of Numbers” in Bulletin of the Mathematical, Physical, and Chemical Sciences, 13, 428 -435 (June 1830). 5. “Notes on Some Points of Analysis” in Annals of Pure and Applied Mathematics, 11, 182 -184 (December 1830). WARNING: Translations are due to Dr. Bob!
More Politics
Charles X • Dissolved Parliament • Suspended freedom of press • Annulled recent elections • Introduced a property qualification for voting From Wikipedia
Letter to a Newspaper http: //abcteach. com/directory/clip_art/miscellaneous/
Society of Friends http: //www. wpclipart. com/people/faces/anonymous/photo_not_available_large. png. html
Louis-Phillipe I • Dismissed the popular General Lafayette • Disbanded the National Guard. From Wikipedia
The Trial of the Nineteen http: //etc. usf. edu/clipart/21900/21925/trial_21925. htm
The Banquet http: //www. menshealth. co. uk/lose-weight/burn-fat/three-ways-to-lose-weight-fast
Galois in Court This is what happened: I had a knife which I had used to cut meat during the meal. I brandished it saying ‘To Louis-Phillipe, if he betrays us!’ These words were only heard by the people next to me, considering the whistling that had begun after the beginning of my utterance, because people thought I was proposing a toast to the good health of Louis-Phillipe.
Re-Arrest Galois is in jail from July 1831 to April 1832. October 25, 1811 1816 1821 1826 May 30, 1832
Sainte-Pelagie Prison http: //www. parisrevolutionnaire. com/spip. php? article 503
Stephanie Poterin-Dumotal http: //fineartamerica. com/featured/french-victorian-girl-jonny-petros. html
Letters (May 29, 1832) (1) To all republicans: “I beg my patriotic friends not to chide me for (2) dying in any other way than for my country. I die, the victim of a cruel coquette, and of two of her victims. My life fades away amidst trivial gossip. … Adieu! Life was dear to me, for the common good. Pardon for those who killed me. They were acting in good faith. ” “I have been challenged to a duel by two patriots… I cannot refuse. ” (3) To Auguste Chevalier: A brief summary of the memoire deposited at the Academy, adding some new theorems and conjectures covering seven pages; he concluded: “I do not have enough time and my ideas are not sufficiently well developed in this area, which is enormous. ”
The Duel http: //weetlogs. scilogs. be/gallery/11/previews-med/Galois. jpg
May 31, 1832 http: //www. indianhospitalsguide. com/cochin-hospital-paris-france/
Myths
Laura Rigatelli The duel was arranged to provide a body around which the republicans could circle and then start an uprising against the monarchy.
Mario Livio The duel was arranged by the uncles of Stephanie Poterin. Dumotal. She was the “infamous coquette” mentioned in Galois’ first letter.
Galois Theory
Three Geometry Problems 1. Squaring the circle: Drawing a square the same area as a given circle. 2. Doubling the cube: Drawing a cube with twice the volume of a given cube. 3. Trisecting the angle: Dividing a given angle into three smaller angles all of the same size.
Modern Galois Theory The polynomial equation p(x)=0 is solvable by radicals if and only if the Galois group of p is solvable. Groups, normal subgroups, fields, extension fields, …
http: //www. galois. ihp. fr/en/
Evariste Galois Born: October 25, 2011
References Quadratic, Cubic, and Quartic Equations, (http: //wwwgroups. dcs. st-and. ac. uk/~history/Hist. Topics/ Quadratic_etc_equations. html) Uncredited images of mathematicians are from http: //wwwgroups. dcs. st-and. ac. uk/~history/ Livio, M. The Equation That Couldn’t Be Solved, NY: Simon & Schuster (2005). Rigatelli, L. T. , Evariste Galois 1811 -1832, translated by J. Denton. Boston: Birkhauser Verlag (1996)
Je n’ai pas le temps! Bicentennial of his birth: October 25, 1811 – October 25, 2011 Theorem. The polynomial equation p(x)=0 is solvable by radicals iff the Galois group of p is solvable. A letter explaining his theory. May 29, 1832.
http: //www. sciencephoto. co m/media/363863/view
http: //langevin. univ-tln. fr/NOTES/GALOIS/Galois. 7. jpg
October 25, 1811 1816 1821 1826 May 30, 1832
Saint Evariste http: //magnificat. ca/cal/fran/10 -26. htm
http: //140. 111. 115. 8/longlife/mathstamp/galois. jpg
http: //www. white-rabbit. jp/Column/essay 6. html
http: //www. white-rabbit. jp/Column/essay 6. html
http: //www. white-rabbit. jp/Column/essay 6. html
http: //www. white-rabbit. jp/Column/essay 6. html
http: //www. white-rabbit. jp/Column/essay 6. html
http: //www. white-rabbit. jp/Column/essay 6. html
Saint Andrews, Tartaglia
http: //www. swaen. com/antique-map-of. php? id=15378
a6dd7459bd6645995360e733bc162466.ppt