Оценка бизнеса - презент.ppt
- Количество слайдов: 136
Оценка стоимости компании 1
ТЕМА № 1 Экономическая сущность бизнеса 2
Действующее законодательство в оценочной деятельности 2009 г. Вопрос № 1 Система современного бизнеса. 3
Действующее законодательство в оценочной деятельности 2009 г. Вопрос № 2 Регулирование оценочной деятельности в РФ 2009 г. (Нормативно-правовое обеспечение оценки бизнеса) 4
Действующее законодательство в оценочной деятельности 2009 г. Вопрос № 3 Понятия: цена, стоимость и затраты 5
Бизнес – это…? Бизнес – это … 6
Бизнес – это…? • «Бизнес – это деятельность, осуществляемая частными лицами, предприятиями или организациями по извлечению природных благ, производству или приобретению и продаже товаров или оказанию услуг в обмен на другие товары, услуги или деньги к взаимной выгоде заинтересованных лиц или организаций» (Алан Хоскинг, автор «Business studies» - одного из изданий Холборнского колледжа (Лондон)) 7
Бизнес – это…? • «Бизнес - по мнению ряда российских авторов[1] – это инициативная, самостоятельная экономическая деятельность (предпринимательство), осуществляемая за счет собственных или заемных средств на свой риск и под свою имущественную ответственность, ставящая главными целями получение прибыли и развитие собственного дела, а также производство и продажу продукции, товаров, выполнение работ, оказание услуг. [1] И. И. Мазур, В. Д. Шапиро «Реструктуризация предприятий и компаний» М. , Экономика, 2001 г. » 8
Бизнес – это…? "Бизнес - это умение принимать правильные хозяйственные решения в условиях неопределенности". Аксиома Гарвардской школы бизнеса 9
Факторы производства БИЗНЕС-СИСТЕМА информация менеджмент денежный поток стоимость бизнеса труд капитал земля 10
Системный подход к бизнесу • Суть системного подхода состоит в том, что предприятие рассматривается как некоторая действующая система, которая состоит из элементов, управляется, производит и имеет цель своего существования. Такой подход к предприятию предлагает отвлечься от рассмотрения тех или иных бизнес процессов и рассмотреть его извне, как некое единое целое. • С этих позиций мы увидим следующее. • Предприятие (с точки зрения системного подхода) - это система, состоящая из некоторым образом связанных и управляемых элементов, производящая определенный продукт и потребляющая ресурсы, что изброжено на рисунке 1. • Система (предприятие) производит некоторый продукт (товары, услуги) и потребляет для производства некоторые продукты (товары, услуги и капитал); результатом работы системы является прибыль; управляющие связи системы осуществляет менеджмент. 11
Системный подход к бизнесу 12
Бизнес – как система 13
Системный подход к бизнесу (внутренняя и внешняя среда) ОРГАНИЗАЦИЯ (предприятие) Внутренняя среда Стратегия развития Миссия Конкурентоспособность Эффективность Инновации Стратегические зоны хозяйствования Генеральная цель Организационная культура Имидж и философия Экономические факторы Политические факторы Социальные факторы Структура и функции Организационная структура Бизнес процессы Персонал Правовые факторы Технологические факторы Внешняя среда 14
Бизнес – заинтересованные стороны (группы влияния) 15
Бизнес – «матрешка» ЭКОНОМИЧЕСКАЯ СИСТЕМА 1 уровень 2 уровень организация - предприятия малого, среднего, крупного бизнеса, госсектор отрасль 3 уровень страна 4 уровень мировая экономика 16
Компании: малого, среднего, крупного бизнеса, госсектор 1. Организационно-правовая форма (ООО, ЗАО, ОАО) 2. Этап жизненного цикла компании 3. Отраслевая принадлежность 17
Различие компаний Различие малых, средних и больших компаний в: Отношениях собственности (н: у малых нет «агентской проблемы» собственность и управление в одних руках) Доступе на рынок капитала Стоимости капитала Инновационных возможностях Бизнес-процессах 18
Традиционная и новая экономики Предприятие (организация)Отрасль Традиционная Новая Этап жизненного цикла Среднеотраслевая рентабельность 19
Кривая жизненного цикла развития организации по И. Адизесу 20
Что такое ЖЦ организации “organizations life cycles”? v. Стадии развития организации - это периоды жизни организации в рамках однотипных ценностных установок, фиксирующие особенности управленческих задач, находящихся в центре внимания руководства. v. Периоды, в которые организация принципиально изменяет ценности и ориентации, называют циклами или фазами развития организации. 21
Три фазы «миграции ценности» (по А. Сливотски) 1. Приток ценности (отношение капитализация / оборот больше 2) Ограниченная конкуренция Высокий темп роста Высокая рентабельность * 3 Отток ценности 2 Стабильность (отношение капитализация / оборот меньше 0, 8) / оборот от 2 до 0, 8) * Напряженная Конкурентная конкуренция стабильность * Падение объема Стабильная доля рынка продаж * Стабильная прибыль * Низкая прибыль 22
Цель «Идеальное, мысленное предвосхищение результата деятельности. В качестве непосредственного мотива цель направляет и регулирует человеческую деятельность» Большой энциклопедический словарь Четко сформулированные цели как в бизнесе, так и в жизни больше чем наполовину обеспечивают успех задуманного. 23
Цель – это главное, что объединяет и удерживает разрозненные элементы в составе системы 24
Цель компании (фирмы) o. Главная цель компании (фирмы) - ? 25
Цель собственника o. Главная цель собственника - ? 26
Цель собственника • Главной целью собственника является обеспечение постоянного роста собственного капитала, то есть стоимости предприятия (фирмы), в которую он вложил свои средства. 27
Цель топ-менеджера • Получение высоких бонусов • Получение доли в управляемой собственности 28
Конфликт целей обусловлен расхождением интересов между акционерами, являющимися собственниками ресурсов компании, и менеджментом, которому фактически делегирован контроль над этими ресурсами и управление ими. Первые ориентированы на долгосрочную перспективу, вторые в большинстве случаев на краткосрочную 29
Ключевые понятия (факторы) бизнеса • • Активы Прибыль / стоимость бизнеса Темп роста Поток денежных средств 30
Сбалансированность показателей 31
Три основных документа бизнеса с информацией для анализа • Баланс (ф. 1) • Отчет о прибылях и убытках (ф. 2) • Отчет о движении денежных средств (ф. 5) 32
Баланс ф. 1 33
Баланс ф. 1 – блок внеоборотных активов 34
Собственный капитал 35
Совокупные активы 36
Инвестированный капитал 37
Оборотный капитал 38
Отчет о прибылях и убытках 39
Термин - оценка • Оценка - систематический сбор и анализ данных, необходимых для определения стоимости различных видов имущества (бизнеса) и ее оценки на основе действующих законодательства и стандартов. • Оценка бизнеса - акт или процесс выработки заключения или расчета стоимости бизнеса или предприятия либо доли в них. • Процесс оценки предполагает наличие оцениваемого объекта и оценивающего субъекта 40
Оценка бизнеса • Оценка бизнеса - акт или процесс выработки заключения или расчета стоимости бизнеса или предприятия либо доли в них. • Оценка бизнеса – это оценка собственного или инвестированного (СК + Долгосрочная задолженность) капитала. • Процесс оценки предполагает наличие оцениваемого объекта и оценивающего субъекта 41
Оценка бизнеса Собственный капитал (далее - СК) 100% пакет акций 100% доля участия Инвестированный (совокупный) капитал=СК+ задолженность + привилегированные акции 42
Действующее законодательство по оценочной деятельности (2009 г. ) 1. Федеральный закон от 29 июля 1998 г. № 135 -ФЗ «Об оценочной деятельности в Российской Федерации» (с последующими изменениями и дополнениями) 2. Приказы МЭРТ РФ, от 20 июля 2007 г. об утверждении федеральных стандартов оценки: ФСО-1, ФСО-2, ФСО-3 «Федеральный Стандарт Оценки - 1, 2, 3» обязательные к применению субъектами оценочной деятельности на территории РФ. 3. Стандарты оценки саморегулируемых организаций оценщиков, не противоречащие ФСО 4. Рекомендованные к применению МСО – международные стандарты оценки 43
Федеральные стандарты оценки • ФЕДЕРАЛЬНЫЙ СТАНДАРТ ОЦЕНКИ № 1 «Общие понятия оценки, подходы к оценке и требования к проведению оценки (ФСО N 1)» • ФЕДЕРАЛЬНЫЙ СТАНДАРТ ОЦЕНКИ № 2 «ЦЕЛЬ ОЦЕНКИ И ВИДЫ СТОИМОСТИ (ФСО N 2)» • ФЕДЕРАЛЬНЫЙ СТАНДАРТ ОЦЕНКИ № 3 «ТРЕБОВАНИЯ К ОТЧЕТУ ОБ ОЦЕНКЕ (ФСО N 3)» 44
Федеральный стандарт оценки № 1 • п. 3. стандарта: К объектам оценки относятся объекты гражданских прав, в отношении которых законодательством Российской Федерации установлена возможность их участия в гражданском обороте. 45
Федеральный стандарт оценки № 2 • п. 3. стандарта: Целью оценки является определение стоимости объекта оценки, вид которой определяется в задании на оценку 46
Цели оценки бизнеса • Цель оценки состоит в определении какой-либо оценочной стоимости, что необходимо клиенту для принятия решения. • В проведении оценочных работ заинтересованы различные стороны: от государственных структур до частных лиц; в оценке бизнеса могут быть заинтересованы контрольно-ревизионные органы, управленческие структуры, кредитные организации, страховые компании, налоговые фирмы и другие организации, частные владельцы бизнеса, инвесторы и т. п. • Стороны, заинтересованные в проведении оценочных работ, стремясь реализовать свои экономические интересы, определяют цели оценки. 47
Примерная классификация существующих целей оценки Субъект оценки Предприятие как юридическое лицо Цели оценки -Обеспечение экономической безопасности - Разработка планов развития предприятия - Выпуск акций - Оценка эффективности менеджмента Собственник - Выбор варианта распоряжения собственностью - Составление объединительных и разделительных балансов при реструктуризации - Обоснование цены купли-продажи предприятия или его доли - Установление размера выручки при упорядоченной ликвидации предприятия Кредитные учреждения -Проверка финансовой дееспособности заемщика - Определение размера ссуды, выдаваемой под залог 48
Примерная классификация существующих целей оценки (продолжение) Субъект оценки Цели оценки Страховые компании -Установление размера страхового взноса - Определение суммы страховых выплат Фондовые биржи -Расчет конъюнктурных характеристик Инвесторы -Проверка целесообразности инвестиционных вложений - Определения допустимой цены покупки предприятия с целью включения его в инвестпроект - Проверка обоснованности котировок ценных бумаг 49
Примерная классификация существующих целей оценки (продолжение) Субъект оценки Государственные органы Цели оценки -Подготовка предприятия к приватизации -Определение облагаемой базы для различных видов налогов - Установление выручки от принудительной ликвидации через процедуру банкротства - Оценка для судов 50
Федеральный стандарт оценки № 2 • • III. Виды стоимости п. 5. стандарта: При использовании понятия стоимости при осуществлении оценочной деятельности указывается конкретный вид стоимости, который определяется предполагаемым использованием результата оценки. При осуществлении оценочной деятельности используются следующие виды стоимости объекта оценки: рыночная стоимость; инвестиционная стоимость; ликвидационная стоимость; кадастровая стоимость. 51
Вопрос № 3 Понятия: цена, стоимость и затраты 52
Стоимость, затраты, цена • Стоимость = Цена ? Равнозначны ли данные понятия? 53
Стоимость, затраты, цена Цена – это факт свершившейся сделки. Стоимость имеет вероятностную природу. 54
Цена является термином, обозначающим денежную сумму, требуемую, предлагаемую или уплаченную за некий товар или услугу. Она является историческим фактом вне зависимости от того, была ли она открыто объявлена или осталась в тайне. В силу финансовых возможностей, мотивов или особых интересов конкретных покупателя и продавца уплаченная за товары или услуги цена может не соответствовать стоимости, которую могли бы приписать этим товарам или услугам другие лица. Тем не менее цена обычно является индикатором относительной стоимости, устанавливаемой для этих товаров или услуг данным покупателем и (или) продавцом при конкретных обстоятельствах. 55
Цена - Стоимость Цена – это то, что вы платите. Стоимость – это то, что вы получаете. Уоррен Баффет 56
Стоимость • В теории оценки бизнеса и корпоративных финансов под стоимостью понимают денежный эквивалент, который гипотетический покупатель готов обменять на какой-либо предмет или объект (товар или услугу). Иными словами, это мера, того, сколько гипотетический покупатель готов заплатить за оцениваемый объект • Стоимость имеет вероятностную природу. 57
Стоимость является экономическим понятием, касающимся денежной связи между товарами и услугами, доступными для приобретения, с одной стороны, и теми, кто их покупает и продает, с другой. Стоимость является не фактом, а расчетной величиной ценности конкретных товаров и услуг в конкретный момент времени в соответствии с выбранным толкованием стоимости. Экономическая концепция стоимости отражает взгляд рынка на выгоды, получаемые тем, кто является собственником данных товаров или пользуется данными услугами на дату действия стоимости. 58
Затраты являются ценой, уплаченной за товары или услуги, либо денежной суммой, требуемой для создания или производства товара или услуги. Будучи осуществленными, затраты становятся историческим фактом. Цена, уплаченная покупателем за товар или услугу, становится для него затратами на их приобретение. 59
Стоимость Понятие «стоимость» само по себе мало о чем говорит. При оценке бизнеса (компании) стоимость зависит от цели и назначения оценки. Цель оценки – определение рыночной стоимости Назначение оценки – определение стоимости для целей купли-продажи, страхования, банкротства. 60
Виды стоимостей • • III. Виды стоимости п. 5. стандарта: При использовании понятия стоимости при осуществлении оценочной деятельности указывается конкретный вид стоимости, который определяется предполагаемым использованием результата оценки. При осуществлении оценочной деятельности используются следующие виды стоимости объекта оценки: рыночная стоимость; инвестиционная стоимость; ликвидационная стоимость; кадастровая стоимость. 61
Виды стоимостей • Стоимость в использовании • Отражает намерения владельца объекта. • К ней относятся следующие виды стоимости: • Инвестиционная (investment value) • Балансовая (book value) • Стоимость для целей налогообложения (tax value) • Стоимость обмена • Служит для осуществления различных операций с объектами собственности • К ней относятся следующие виды стоимости: • Рыночная (market value) • Ликвидационная (liquidation value) • Страховая (insurance value) • Залоговая (collateral value) • Стоимость замещения (replacement value) 62
Принципы оценки Принципы, связанные с представлениями потенциального покупателя Принципы, связанные с рыночной средой Принципы, связанные с процессом эксплуатации Принцип наилучшего и наиболее эффективного использования 63
Финансовая математика. Шесть функций сложного процента 1. Будущая стоимость единицы. Аккумулированная сумма единицы. FV = PV x (1 + i)n Расчетная будущая стоимость Доход на инвестиции Сегодняшняя основная сумма Возврат инвестированной суммы Рост основной суммы по сложному проценту 64
Финансовая математика. Шесть функций сложного процента 2. Текущая стоимость будущей единицы PV = FV / (1 + i)n Дисконтированная по заданной ставке сложного процента Известная будущая сумма (на конец периода) Неизвестная текущая стоимость (сегодня) Текущая стоимость будущей единицы 65
Финансовая математика. Шесть функций сложного процента 3. Будущая стоимость обычного аннуитета FV = (((1 + i)n – 1) / i ) x PMT Доход на депозиты Процент Рассчитанная будущая стоимость 1 год возврат депонирова нной суммы 2 год 3 год 1 год 2 год 3 год 4 год Будущая стоимость обычного аннуитета (серии равновеликих взносов по годам под определенный процент) 66
Финансовая математика. Шесть функций сложного процента 4. Взнос на амортизацию единицы (равновеликие взносы на погашение кредита с заданной процентной ставкой по кредиту) PMT = PV x i / (1 – (1 + i)-n) Первоначальная основная сумма Серия равных платежей в погашение первоначальной основной суммы при заданной ставке сложного процента доход на инвести ции возврат инвестиро ванной суммы Взнос на амортизацию единицы 67
Финансовая математика. Шесть функций сложного процента 5. Текущая стоимость обычного аннуитета. PV = PMT x ((1 – (1 + i)-n) / i) Неизвестная текущая стоимость (сегодня) Текущая стоимость обычного аннуитета 68
Финансовая математика. Шесть функций сложного процента 6. Периодический взнос в фонд накопления (фактор фонда возмещения). PMT = FV x i / ((1 + i)n – 1) Процент (на) Процент Известная будущая стоимость 1 год Возврат 2 год Неизвестны е платежи 1 год 3 год 2 год 3 год 4 год Фактор фонда возмещения. 69
Подходы к оценке стоимости бизнеса, выделенные российским законодательством: затратный сравнительный доходный 70
Доходный подход (ФСО 1) • - это совокупность методов оценки стоимости объекта оценки, основанных на определении ожидаемых доходов от использования объекта оценки. 71
Сравнительный подход (ФСО 1) • - это совокупность методов оценки стоимости объекта оценки, основанных на сравнении объекта оценки с объектами - аналогами объекта оценки, в отношении которых имеется информация о ценах. Объектом - аналогом объекта оценки для целей оценки признается объект, сходный объекту оценки по основным экономическим, материальным, техническим и другим характеристикам, определяющим его стоимость. 72
Затратный (имущественный) подход (ФСО 1) • -это совокупность методов оценки стоимости объекта оценки, основанных на определении затрат, необходимых для воспроизводства либо замещения объекта оценки с учетом износа и устареваний. Затратами на воспроизводство объекта оценки являются затраты, необходимые для создания точной копии объекта оценки с использованием применявшихся при создании объекта оценки материалов и технологий. Затратами на замещение объекта оценки являются затраты, необходимые для создания аналогичного объекта с использованием материалов и технологий, применяющихся на дату оценки. 73
Подходы к оценке бизнеса Доходный Затратный (Имущественный) Сравнительный Основа Теория предельной полезности Трудовая теория стоимости Теория Маршала Методы Дисконтирование денежных потоков (ДДП); капитализация; EVA; опционов. Чистых активов; ликвидационной стоимости; опционов, ЭБО. Рынка капиталов; сделок; отраслевых коэффициентов 74
способы расчета стоимости компании статические динамические 75
Подходы оценки Статические Затратный Динамические Рыночный Доходный Теория опционов Метод чистых активов Метод рынка капитала Дисконтирование денежных потоков Метод ликвидационной стоимости Метод аналогичных сделок Капитализация доходов Метод отраслевых коэффициентов 76
1. Затратный подход (asset based approach) – общий способ определения стоимости предприятия и/или его собственного капитала, в рамках которого используются один или более методов, основанных непосредственно на исчислении стоимости активов предприятия за вычетом обязательств. 77
Базовая формула: Собственный капитал Активы Обязательства 78
1. 1. Метод чистых активов 1. Рассчитывают чистые активы компании 2. Величину чистых активов делят на количество акций компании 79
Порядок оценки стоимости чистых активов АО, утвержден Приказом Министерства финансов РФ и Федеральной комиссией по рынку ценных бумаг от 29 января 2003 г. № 10 н/03 -6/пз. 80
Ограничения: • Метод не применим к трудоемким производствам • Компания не имеет значительных нематериальных активов 81
1. 2. Метод ликвидационной стоимости Используется в случае предполагаемой распродажи имущества предприятия на открытых торгах 82
Учитываются: • Затраты на ликвидацию предприятия • Скидка за срочную продажу активов компании 83
Достоинства затратного подхода: • Основывается на данных только конкретного предприятия • Использует только реальные данные • Эффективен при оценке вновь возникших предприятий 84
Недостатки затратного подхода: • Трудно оценить goodwill • Не учитывает перспективы развития бизнеса в будущем • Не рассматривает уровни прибылей 85
2. Сравнительный подход Рыночный подход (market approach) – общий способ определения стоимости предприятия и/или его собственного капитала, в рамках которого используется один или более методов, основанных на сравнении данного предприятия с аналогичными уже проданными объектами. 86
Сравнительный подход Используется в случаях: • когда на рынке существует множество аналогичных компаний • оцениваемое предприятие – действующее. 87
Отбор компаний для сравнения производится по следующим критериям: принадлежность к той или иной отрасли, региону; вид выпускаемой продукции или услуг; диверсификация продукции или услуг; 88
(продолжение) стадия жизненного цикла, на котором находится компания; размеры компании; стратегия деятельности компании; финансовые характеристики. 89
2. 1. Метод рынка капитала • Данный метод основан на рыночных ценах акций сходных компаний. • Главной составляющей при оценке по методу рынка капитала является финансовый анализ оцениваемой и сопоставимых компаний. 90
Однако, в зависимости от принятых методов бухгалтерского учета, могут различаться некоторые показатели: • величина прибыли • стоимость отдельных активов, что в свою очередь, отражается на величине отдельных статей балансового отчета. 91
Например, в периоды роста цен применение метода ЛИФО (LIFO – last in first out – материалы, прибывшие последними на предприятие, первыми списываются в производство) для учета затрат дает более низкие прибыли 92
Поэтому рекомендуется принимать во внимание различия в учетной политике и вносить поправки в соответствующие статьи балансового отчета. 93
КАПИТАЛИЗАЦИЯ = КОЛ-ВО АКЦИЙ х СТОИМОСТЬ 94
Мультипликаторы: P/E и P/S 95
Мультипликаторы: P/E и P/S, где P – (price) цена акции E - чистая прибыль S – объем продаж в ден. выраж. 96
ЗАДАЧА 1: Компании А и Б полностью идентичны во всем, за исключением количества акций (10 и 20 шт. ). Выручка компаний = 100 долл. Чистая прибыль = 10 долл. Рыночная капитализация компаний = 100 долл. Долгов нет. Какова РС 1 акции каждой компании? 97
ЗАДАЧА 1: РС 1 акции компании А = 100 / 10 = =10 РС 1 акции компании Б = 100 / 20 = = 5. Т. О. цены акций этих компаний отличаются в два раза, и единственная причина этого – разное количество акций 98
ЗАДАЧА 2: Компания А подобна компании Б, но крупнее ее ровно в 2 раза: Выручка = 200 долл. , Чистая прибыль = 20 долл. Количество акций одинаково = 10 шт. 99
ЗАДАЧА 2: Компания А подобна компании Б, но крупнее ее ровно в 2 раза: Выручка = 200 долл. , Чистая прибыль = 20 долл. Количество акций одинаково = 10 шт. Если капитализация компании Б = 100 долл. , тогда 1 акция стоит 10 долл. Тогда капитализация компании А д. б. в 2 раза больше – 200 долл. , а стоимость 1 акции = 20 долл. 100
ЗАДАЧА 3: Компания А подобна компании Б, но крупнее ее ровно в 2 раза (как в предыдущем примере) Количество акций неодинаково = 10 и 20 шт. соответственно Тогда стоимость 1 акции компании А = 20 долл. , а компании Б – 5 долларов 101
Выводы из примеров: Существуют два принципиальных фактора, от которых, при прочих равных условиях, зависит цена одной акции: - Общее количество акций - Размеры компании 102
Всегда возникает и третий фактор: оцениваемая компания и ее эталон не являются абсолютно подобными. Для упрощения стоимостного анализа и придуман метод мультипликаторов 103
Пример 1 А Б 100 10 10 Пример 2 А Б 200 100 20 10 Пример 3 А Б 200 100 20 10 Количество акций 10 20 10 10 10 20 Рыночная капитализация 100 200 100 Цена 1 акции 10 1 10 5 1 10 20 1 10 10 1 10 20 1 10 5 1 10 Компания Выручка (S) Чистая прибыль (Е) P/S P/E 104
В основе идеи мультипликатора лежит экономический закон одной цены, который гласит, что два одинаковых актива должны иметь одинаковые рыночные цены. Тогда в такой идеальной модели: - 1) Если компании отличаются друг от друга только по количеству акций (пример 1), то величины P/S и P/E совпадают 105
В основе идеи мультипликатора лежит экономический закон одной цены, который гласит, что два одинаковых актива должны иметь одинаковые рыночные цены. Тогда в такой идеальной модели: - 2) Если компании подобны, как подобны карты одной и той же местности в разных масштабах и у них одинаковое количество акций (пример 2), то их мультипликаторы тоже совпадают 106
В основе идеи мультипликатора лежит экономический закон одной цены, который гласит, что два одинаковых актива должны иметь одинаковые рыночные цены. Тогда в такой идеальной модели: - 3) более того, даже когда компании подобны, но у них разное количество акций (пример 3), то их мультипликаторы все равно совпадают 107
2. 2. Метод отраслевых коэффициентов • на основе анализа практики продаж бизнеса в той или иной отрасли выводится определенная зависимость между ценой продажи и какимлибо показателем. 108
• В результате обобщения были разработаны соотношения стоимости компании и годовой выручки в зависимости от вида деятельности. 109
Вид деятельности Формула для расчета стоимости (V) Рекламные агентства V=0, 7 годовой выручки Рестораны V=0, 25– 0, 5 годовой выручки V=0, 04– 0, 1 годовой выручки Туристические агентства Заправочные станции V=1, 2 -2, 0 от месячной выручки Машиностроительные V=1, 5– 2, 5 (чистая предприятия прибыль + запасы) 110
Этот метод в основном используется для оценки малых компаний и носит вспомогательный характер. В отечественной практике этот метод пока не получил достаточного распространения. 111
Достоинства сравнительного подхода: • Основан на ретроспективной информации и отражает фактические показатели бизнеса • Отражает реальный спрос и предложение на акции 112
Недостатки сравнительного подхода: • Требует подробной информации по компаниям-аналогам • Не учитывает развития бизнеса в будущем • Требуется значительное количество корректировок 113
3. Доходный подход Основан на предположении о том, что потенциальный инвестор не заплатит за данный бизнес сумму, большую, чем текущая стоимость будущих доходов от этого бизнеса. 114
3. 2. Метод дисконтирования денежных потоков Информационной основой метода DCF являются прогнозы денежных потоков, генерируемых либо всем инвестированным капиталом, либо только акционерным капиталом. 115
Порядок расчета свободного денежного потока без учета финансового риска: чистая прибыль от основной деятельности + амортизация по внеоборотным активам + проценты в посленалоговом исчислении - капитальные вложения в оборотные и в необоротные активы = свободный денежный поток без учета финансового риска 116
Свободный поток денежных средств с учетом финансового риска (levered cash flow) предусматривает выплаты, связанные с наличием у компании заемных средств. 117
Порядок расчета свободного денежного потока с учета финансового риска: чистая прибыль от основной деятельности + амортизация по внеоборотным активам + прирост долгосрочной задолженности - капитальные вложения в оборотные и в необоротные активы - погашение долгосрочного долга = свободный денежный поток с учетом финансового риска 118
• При оценке с помощью метода DCF свободные денежные потоки подробно рассматриваются для первых нескольких лет • Для стран с рыночной экономикой это 5 -10 лет • В странах с переходной экономикой, к которым относится и Россия, допустимо сокращение прогнозного периода до 3 лет 119
Далее предполагается, что доходы бизнеса будут иметь стабильные долгосрочные темпы роста или будут равномерны. 120
Наиболее распространенными методами определения ставки дисконта являются: 1) модель оценки капитальных активов (CAPM – Capital Asset Pricing Model) Ri = Rf + i*(Rm-Rf) 121
2) метод кумулятивного построения Ri = Rf + Rj где: Rf – безрисковая ставка дохода; Rj – i-я надбавка за риск. 122
Обычно при определении ставки методом кумулятивного построения учитывают следующие надбавки за риск: • Премия за рыночный риск; • Премия за размер капитала; • Премия за операционный (деловой) риск; • Премия за финансовый риск (при наличии заемного капитала); • Премия за качество менеджмента. 123
3) Средневзвешенная стоимость капитала WACC (Weighted Average Cost of Capital) WACC = ri – цена i-ого источника средств wi – доля i-ого источника средств 124
Стоимость компании в постпрогнозный период: V = CF t+1 / (R-g) где CF t+1 – денежный поток доходов за первый год постпрогнозного периода; R – ставка дисконта, рассчитанная одним из вышеприведенных методов; g – долгосрочные темпы роста денежного потока. 125
3. 2. Метод капитализации • Стоимость компании = Чистая прибыль / Ставка капитализации • В качестве капитализируемой величины может выступать не только чистая прибыль, но и прибыль до уплаты налогов, величина денежного потока или сумма дивидендов. 126
Достоинства доходного подхода: • Учитывает перспективы развития бизнеса в будущем • Учитывает рыночную информацию • Наиболее универсальный и гибкий 127
Недостатки доходного подхода: • Сложный и трудоемкий • Часто носит вероятностный характер 128
4. Теория опционов Опцион дает держателю право на покупку (опцион колл) или продажу (опцион пут) базового актива в определенном объеме по фиксированной цене (называемой ценой исполнения) на дату истечения опциона или до ее наступления. 129
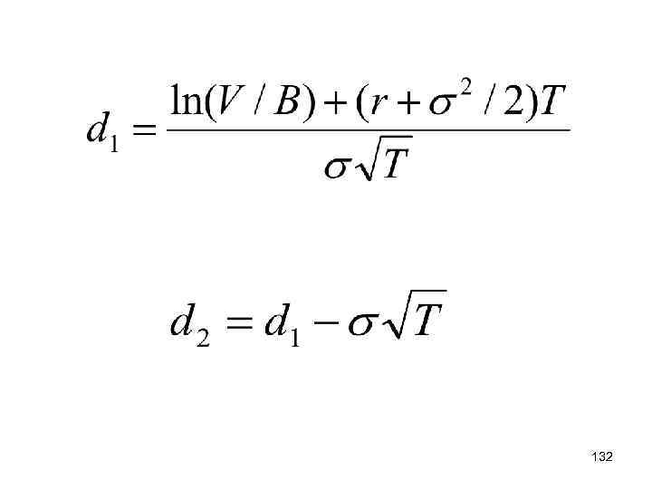
Впервые формула ценообразования опциона была введена Ф. Блеком и М. Шоулзом в 1972 г. 130
Модификация формулы Блэка-Шоулза для оценки акционерного капитала имеет вид: 131
132
• • • где V – оценка активов фирмы; E – стоимость акционерного капитала фирмы; B – номинальное значение задолженности, включая краткосрочную и долгосрочную; r – безрисковая процентная ставка, соответствующая сроку жизни опциона; T – промежуток времени до срока погашения задолженности в годах; - стандартное отклонение стоимости активов фирмы; 2 – дисперсия стоимости активов фирмы; е – основание натурального логарифма (приблизительно 2, 71828) N(d 1) и N(d 2) – кумулятивные вероятности в соответствии с нормальным распределением. 133
Зависимость стоимости акционерного капитала, от уровня неопределенности. Стоимость акционерного капитала (ден. ед) Оценка методом реальных опционов Оценка методом ДДП Уровень неопределенности 134
Достоинства теории опционов: • Учитывает перспективы развития бизнеса в будущем • Учитывает стоимость заложенных в активах опционов • Количественный учет «ценности» выбранных менеджментом стратегий и всех возможностей предприятия 135
Недостатки теории опционов: • требуется точная информация о стоимости реальных активов компании. • необходимо принять ряд предпосылок. В частности: цена базового актива (стоимость активов компании) должна изменяться непрерывно, без скачков, а ее дисперсия должна являться постоянной величиной. 136


