Диплом презентация.ppt
- Количество слайдов: 14
Оценка приближения квадратурной формулы в различных классах функций
Квадратурная формула (1) p(x)–фиксированная для квадратурной формулы весовая функция хi–узлы квадратурной формулы , Сj – коэффициенты квадратурной формулы
Простейшая квадратурная формула прямоугольников Рис. (1)
Квадратурная формула центральных прямоугольников Рис. (2)
Квадратурная формула трапеций Рис. (3)
Квадратурная формула Симпсона Рис. (4)
Формула Тейлора остаточный член
Классы функций Класс W(1) (М; а, b), Обобщая эти классы приходим к классу r- натуральное число
Пусть то - погрешность квадратуры при вычислении интеграла
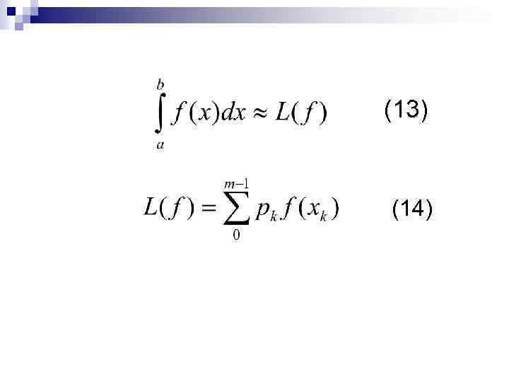
(13) (14)
остаточный член формулы Тейлора можно записать еще в виде
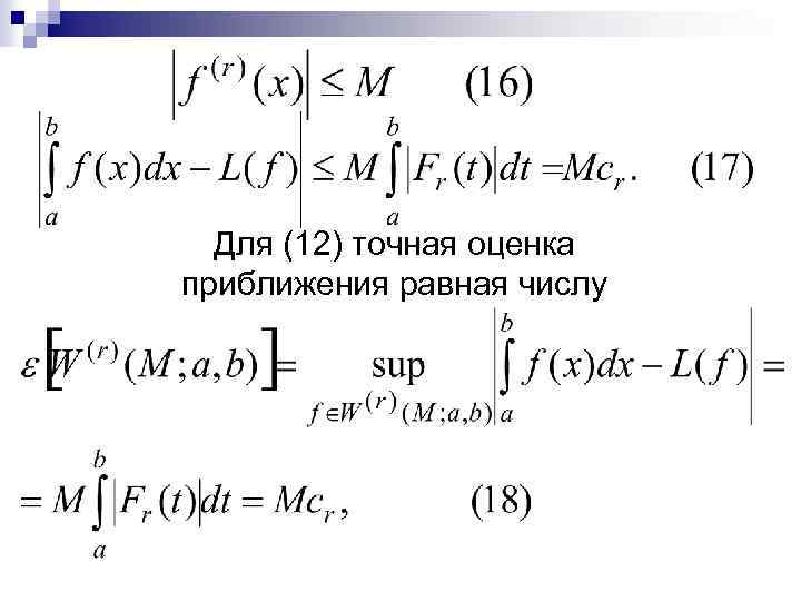
Для (12) точная оценка приближения равная числу
Спасибо за внимание!
Диплом презентация.ppt