Презентация 1 к теме 9.ppt
- Количество слайдов: 66
Обмен липидов -1 Лектор – профессор В. Е. Высокогорский Биохимия
План лекции: • 1. Классификация липидов • 2. Биологическая роль липидов • 3. Роль липидов в питании • 4. Превращение липидов в органах пищеварения Биохимия
• ЛИПИДЫ органические вещества живых организмов, нерастворимые в воде, но растворимые в органических растворителях и друг в друге. Биохимия
• A. Простые липиды: сложные эфиры жирных кислот с различными спиртами • 1. Глицериды (триацилглицеролы, ТАГ) -представляют собой сложные эфиры трехатомного спирта глицерола и высших жирных кислот. • 2. Стероиды • 3. Воска: сложные эфиры высших жирных кислот и одноатомных или двухатомных спиртов. Биохимия
Насыщенные кислоты Пальмитиновая С 15 Н 31 СООН СН 3 – (СН 2) СООН С 16 14 Стеариновая С 17 Н 35 СООН СН 3 – (СН 2) СООН С 18 16 Биохимия
Непредельные Олеиновая С 17 Н 33 СООН (моноеновая) СН 3 –(СН 2) –СН = СН–(СН 2)7 – СООН 7 Полиеновые Линолевая С 17 Н 31 СООН (2 двойные связи) Линоленовая С 17 Н 29 СООН (3 двойные связи) Арахидоновая С 19 Н 29 СООН (4 двойные связи) Биохимия
Биохимия
Биохимия
НО Биохимия
• Б. Сложные липиды: сложные эфиры жирных кислот со спиртами, дополнительно содержащие и другие группы. • 1. Фосфолипиды: липиды, содержащие, помимо жирных кислот и спирта, остаток фосфорной кислоты. В их состав входят азотистые основания и другиекомпоненты: • а) глицерофосфолипиды (в роли спирта глицерол); • б) сфинголипиды (в роли спирта – сфингозин). • 2. Гликолипиды (гликосфинголипиды). Биохимия
• ФОСФОЛИПИДЫ –содержат остаток фосфорной кислоты, придающей им свойства амфифильности. • формируют бислойную структуру мембран Биохимия
Биохимия
• Основную массу липидов в организме составляют жиры – триацилглицеролы, служащие формой депонирования энергии. • ФОСФОЛИПИДЫ – большой класс липидов, содержащих остаток фосфорной кислоты, придающей им свойства амфифильности. Благодаря этому свойству фосфолипиды формируют бислойную структуру мембран, в которую погружены белки. • СТЕРОИДЫ, представленные в животном мире холестеролом и его производными, выполняют разнообразные функции. Биохимия
Биохимия
Биохимия
Биохимия
• 1. Фосфолипиды: липиды, содержащие, помимо жирных кислот и спирта, остаток фосфорной кислоты. • В их состав входят азотистые основания и другие компоненты: • а) глицерофосфолипиды (в роли спирта глицерол); • б) сфинголипиды (в роли спирта – сфингозин). • 2. Гликолипиды (гликосфинголипиды). Биохимия
Биохимия
Биохимия Фосфатидилэтаноламин
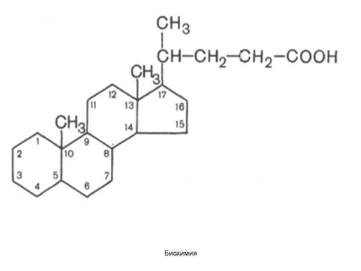
• СТЕРОИДЫ(стерины и стероиды), представленные в животном мире холестеролом и его производными Биохимия
Биохимия
Биохимия
• По количеству двойных связей жирные кислоты можно разделить на: • НАСЫЩЕННЫЕ • МОНОНЕНАСЫЩЕННЫЕ (моноеновые) • ПОЛИНЕНАСЫЩЕННЫЕ (полиеновые) Биохимия
• • • С 16: 0 - пальмитиновая, С 18: 0 - стеариновая, С 18: 1 – олеиновая (9: 10), С 18: 2 – линолевая (9 -10, 12 -13), С 18: 3 - линоленовая (9 -10, 12 -13, 15 -16), С 20: 4 - арахидоновая (5 -6, 8 -9, 12 -13, 1516). Биохимия
Линолевая кислота (18: 2, Δ 9, 12) линоленовая (18: 3; 9, 12, 15) кислота Арахидоновая кислота (20: 4, Δ 5, 8, 11, 14) Биохимия
Стеариновая кислота Олеиновая кислота Биохимия
потребление 5 г трансжиров в день увеличивает риск инфаркта на 25%. Биохимия
Биохимия
В Дании- в 2003 закон-содержание трансжиров не должно превышать 2% от всего жира маргарины, – выпечка, чипсы, картофель-фри, попкорн и т. д в 2005 году уже не превышало 1 г на стандартную порцию В 17 странах из 25 этот показатель в достигал 20 г Биохимия
картофель фри из “Макдоналдса” на территории Голландии содержит около 4% транс жиров, в то время как в США – в среднем 21% трансжиров в США с 1 января 2006 года на упаковке продукта должно быть указано, сколько транс жиров в нем содержится. нужно свести к минимуму потреление маргаринов – все они содержат много трансжиров Биохимия
Биохимия
просматривать этикетки на выпечке (печенье, торты и т. д. ), а также чипсах, майонезах и прочих содержащих жир продуктах. забегаловки “фаст-фуд” обжаренные в тесте полуфабрикатами промышленного производства – котлеты, рыбные палочки и т. д. : фритюрный жир, в котором они приготовлены, сделан на основе гидрогенезированного масла. Биохимия
Биохимия
• Простагландины (ПГ, Pg) представляют собой 20 -углеродные жирные кислоты, содержащие 5 -углеродное кольцо и гидрокси - и / или кетогруппы Арахидоновая кислота Биохимия Простагландин Е 1
• в микросомах млекопитающих отсутствуют десатуразы, которые могли бы катализировать образование двойных связей в цепи далее 9 -го углеродного атома не могут образовываться - линолевая (18: 2; 9, 12) и линоленовая (18: 3; 9, 12, 15) кислоты Биохимия
Эйкозаиноиды: простагландины простациклины - 2 цикл с участием кислорода (простаноиды) тромбоксаны лейкотриены Биохимия
Биологическая роль липидов • • Энергетическая -1 г жиров – 38, 9 к. Дж (9, 3 ккал) Структурная Защитная Регуляторная Источник воды Теплоизолирующая Растворители витаминов Резервная (жировые депо) Биохимия углеводы – 17, 2 к. Дж (4, 1 ккал).
Биохимия
Биохимия
Роль липидов в питании Источник энергии – 35 40% Незаменимые жирные кислоты линолевая, линоленовая и арахидоновая к ты • жиры являются растворителями витаминов • 80 100 г в сутки Биохимия
Биохимия
• Расщепление липидов в пищеварительном тракте • Основные липиды пищи – ТАГ • Условия– фермент, р. Н среды, водорастворимое состояние – эмульсия • Ни в полости рта, ни в желудке у взрослого человека таких условий нет лингвальная липаза В желудок попадает эта липаза, однако роль ее в гидролизе триглицеридов у взрослых людей невелика. Биохимия
• Во-первых, содержание липазы крайне низкое • Во-вторых, р. Н желудочного сока -1, 5 -2, 5 • (оптимальное значение р. Н для лингвальной липазы 5, 5– 7, 5). • В-третьих, в желудке отсутствуют условия для эмульгирования триглицеридов • Лингвальная липаза – у детей Биохимия
• Химус попадает в двенадцатиперстную кишку • Попадание пищевого комка – стимулирует секрецию холецистокинина (панкреозимин) • Холецистокинин --- стимулирует сокращение жёлчного пузыря, секрецию панкреатического сока Биохимия
• Другие клетки 12 -ной кишки – секретин • Секретин (пептид) –секреция бикарбонатов НСО 3 • нейтрализация соляной кислоты желудочного сока бикарбонатами • при разложении бикарбонатов пузырьки углекислого газа способствуют хорошему перемешиванию Биохимия
• Одновременно начинается эмульгирование жира. • соли жёлчных кислот, попадающие в двенадцатиперстную кишку с желчью • Большая часть жёлчных кислот конъюгирована с глицином или таурином. • жёлчные кислоты - производными холановой кислоты • жёлчные кислоты - детергенты Биохимия
Биохимия
Биохимия
Биохимия
Роль жёлчных кислот • Эмульгируют жиры • Способствуют образованию смешанных мицелл и всасыванию жирных к-т и ХС • Удерживают холестерол в составе эмульсий в жёлчном пузыре Биохимия
• Энтерогепатическая циркуляция • 5 -8 циклов • 5% с фекалиями Биохимия
• Липаза трипсин • Колипаза------ колипаза (неактивная) (активная) • Колипаза активирует липазу Биохимия
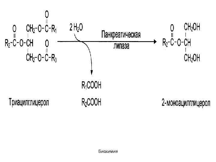
• Панкреатическая липаза ---гидролиз в 1 и 3 – положении • Основные продукты ----жирные кислоты и 2 - моноацилглицеролы • 2 - моноацилглицеролы - детергенты Биохимия
Биохимия
• 2 -моноацилглицеролы всасываются в стенку тонкой кишки • Эфирная связь в 2 -положении чувствительна к действию панкреатической липазы • 2 -моноацилглицеролы – до глицерола и жирной кислоты. Биохимия
Биохимия
• Всасывание происходит в проксимальной части тонкой кишки. • Тонкоэмульгированные жиры (величина жировых капель эмульсии не должна превышать 0, 5 мкм) частично могут всасываться через стенки кишечника без предварительного гидролиза. Биохимия
• Основная часть жира всасывается лишь после расщепления его панкреатической липазой на жирные кислоты, моноглицериды и глицерин. • Жирные кислоты с короткой углеродной цепью (менее 10 атомов углерода) и глицерин, будучи хорошо растворимыми в воде, свободно всасываются в кишечнике и поступают в кровь воротной вены Биохимия
• фосфолипиды подвергаются в кишечнике атаке со стороны фосфолипазы А 2, катализирующей гидролиз сложноэфирной связи в β-положении. • В результате катализируемой фосфолипазой А 2 реакции глицерофосфолипиды расщепляются с образованием лизофосфолипида и жирной кислоты Биохимия
Биохимия
Биохимия
Биохимия
• Гидролиз эфиров холестерина – под действием холестероэстеразы – поджелудочной железы • Всасывание в составе мицелл Биохимия
• В зависимости от пищи организм взрослого человека получает ежедневно 300– 500 мг холестерина, содержащегося в пищевых продуктах частично в свободном (неэстерицифицированном) виде, частично в виде эфиров с жирными кислотами. • Эфиры холестерина расщепляются на холестерин и жирные кислоты особым ферментом панкреатического и кишечного соков – гидролазой эфиров холестерина, или холестеролэстеразой Биохимия
Биохимия
Литература 1. Высокогорский В. Е. Биохимия : учеб. пособие. Ч. 1 / В. Е. Высокогорский, Т. Д. Воронова, В. Г. Купор, 2008. – 113 с. 2. Степанов В. М. Молекулярная биология. Структура и функции белков [Электронный ресурс] : учебник / В. М. Степанов. - 3 -е изд. - М. : Изд-во МГУ : Наука, 2005. - 336 с. 3. Мамонтов С. Г. Биология : учеб. для вузов / С. Г. Мамонтов, В. Б. Захаров, Т. А. Козлова. -3 -е изд. , стер. - М. : Академия, 2008. - 567 с. 4. Пищевая промышленность Омской области: аналит. сб. / Территор. орган Федер. службы гос. статистики по Ом. обл. - Омск : [б. и. ], 2005. - 54 с. Биохимия
Презентация 1 к теме 9.ppt