a71af69bd3ae5047b337aa59bb968e20.ppt
- Количество слайдов: 40
NSF Key Project and Recent Progress of Lattice QCD in China • Xiang-Qian Luo Zhongshan (Sun Yat-Sen) University, Guangzhou, China stslxq@zsu. edu. cn http: // qomolangma. zsu. edu. cn
• Chinese physicists have been involved in the study of lattice gauge theory since early 80's. • Institute of High Energy Physics, Beijing • Institute of Theoretical Physics, Beijing • Peking Uniniversity, Beijing • Nankai University, Tianjin • Sichuan University, Chengdu • Zhejiang University, Huangzhou • Zhongshan University, Guangzhou
• Beijing • Tianjin • Chengdu • Huangzhou • Guangzhou
• Most investigations in 80’s were analytical, due to limited computational facilities. • For review, Guo and Luo, hep-lat/9706017. • Thanks to (1) rapid development of high performance supercomputers in China in late 90's, (2) success of the Symanzik improvement program, (3) support from NSF (National Science Foundation), more and more Chinese physicists do numerical simulations.
• Top 500 Supercomputers in the world, 2002 Count Share Rmax Rpeak Procs USA 228 45. 6 % 148696 247700 137736 Germany 71 14. 2 % 25468 39590 17778 Japan 47 9. 4 % 57902 68619 17331 UK 39 7. 8 % 20644 38174 17148 France 22 4. 4 % 9644 13341 6543 Italy 16 3. 2 % 5525 9040 2664 Korea 9 1. 8 % 2569 4554 1284 Netherlands 6 1. 2 % 2036 4263 3600 China 5 1% 1899 3473 960 Sweden 5 1% 2256 3801 1824 Mexico 1% 1155 2469 1600 5 1% 1166 1794 1136 Finland 4 0. 8 % 1847 3223 1308 Belgium 4 0. 8 % 884 1309 528 Australia 3 0. 6 % 1410 2040 720 Taiwan 3 0. 6 % 1019 1830 425 Saudi Arabia 3 0. 6 % 1098 3390 2768 Norway 3 0. 6 % 1006 1497 992 Egypt 3 0. 6 % 800 2719 2560 Thailand 3 0. 6 % 679 966 416 Brazil 3 0. 6 % 589 824 400 Singapore 2 0. 4 % 855 1516 400 Hong Kong 2 0. 4 % 796 1236 724 Spain 2 0. 4 % 410 595 240 South Africa 2 0. 4 % 394 541 272 Switzerland 1 0. 2 % 736 1331 256 Russian Federation 1 0. 2 % 734 1024 768 Portugal 1 0. 2 % 393 570 380 New Zealand 1 0. 2 % 234 448 132 Austria Total 5 Canada 1 0. 2 % 204 472 160 500 100 % 293058 462357 223053
• Top 50 supercomputers in China, 2002
Dawning 3000
Dawning 3000 128 nodes Rmax: 279. 60 Gflops Rpeak: 403. 2 Gflops Memory: 168 GB Disk: 3. 63 TB。 CPU: Power 3 -II, Network: 2 D Mesh or Myrinet Operating system: IBM AIX
• Deep. Comp 1800
• Legend Group Deep. Comp 1800 - P 4 Xeon 2 GHz Myrinet/ 512 CPU (NODES) • Rmax: 1. 046 Tflops Rpeak: 2. 048 Tflops • Location: Beijing, China • Number 43 of top 500 supercomputers 2002 • The 3 rd fastest in Asia? • http: //www. top 500. org/lists/2002/11/
• Zhongshan U. self-made PC cluster, 2000
NSFC: National Science Foundation Committee: established in 1986 an organization directly affiliated to the State Council for the management of the National Natural Science Fund. General project: ~100 K yuan for 3 years. (1 Yuan=1/8 USD) NSF project for distinguished young scientists: ~ 80 M yuan for 4 years. Key NSF project: ~100 M yuan for 4 years
• Approved NSF Funds in China
• These years, the Chinese lattice physicists received a lot of supports from NSFC and other sources: • T. L. Chen, Nankai U. , General project, ~100 K yuan • S. H. Guo, Zhongshan U. , Guangzhou, General project, ~100 K yuan • C. Liu, Peking U. , Beijing, General project, ~100 K yuan • J. M. Liu, Zhongshan U. , General project, ~100 K yuan • X. Q. Luo, Zhongshan U. , General project, ~100 K yuan • J. M. Wu, IHEP, Beijing, General project, ~100 K yuan • H. P. Ying, Zhejiang U. , Huangzhou, General project, ~100 K yuan • X. Q. Luo, Zhongshan U. , NSF project for distinguished young scientists: 80 M yuan (1999 -2002) • X. Q. Luo, Q. Z. Chen, Y. Z. Fang, S. H. Guo, C. Q. Huang, C. Liu, Z. H. Mei, H. P. Ying, Key NSF project: 120 M yuan (2003 -2006)
• Structure of Matter Quantum Chromo. Dynamics(QCD): theory of strong interactions between quarks, mediated by gluons
Lattice Gauge Theory (Wilson, 1974): most reliable non-perturbative tool for strong interactions Basic Ideas: Continuum space-time Discretized grid Derivative Finite difference • a) quark field (x) • b) gauge field U(x, k)
• Advantage: physical quantities can now be calculated by Monte Carlo simulation on a computer • Disadvantage: O(a) errors are large at large coupling g. • To reduce the error and keep La > diameter of the hadron, large volume (L>>1) is needed • It costs a lot of computer time, and high performance parallel computer is necessary • L: the number of lattice point in one direction
Improved Lattice QCD • The most efficient way to reduce the O(a) and finite volume errors • Improved scalar action (Symanzik, 1983) • Quark action: Hamber and Wu, Phys. Lett. B 133 (1983) 351. (Sheikholeslami and Wohlert, 1985) • Improved gluon action (Luscher, Weisz, 1984) • Tadpole improvement (Lepage, 1996) • Improved quark Hamiltonian: Luo, Chen, Xu, Jiang, , Phys. Rev. D 50 (1994) 501. Jiang, Luo, Mei, Jirari, Kroger, Wu, Phys. Rev. D 59 (1999) 014501. • Improved gluon Hamiltonian: Luo, Guo, Kroger, Schutte, Phys. Rev. D 59 (1999) 034503.
Algorithms • To do numerical simulations with dynamical Wilson fermions: Thron, Dong, Liu, Ying,Phys. Rev. D 57 (1998) 1642 Ying, Chin. Phys. Lett. 15 (1998) 401. • To do numerical simulations with Kogut-Susskind fermions in the chiral limit: Luo, Mod. Phys. Lett. A 16 (2001) 1615. Which extends the following algorithm to QCD: Azcoiti, Di Carlo, Grillo, Phys. Rev. Lett. 65 (1990) 2239. Azcoiti, Laliena, Luo, Piedrafita, Di Carlo, Galante, Grillo, Fernandez, Vladikas, Phys. Rev. D 48 (1993) 402.
• To do numerical simulations with clover fermions: Luo, Comput. Phys. Commun. 94 (1996) 119 -127. Jansen and Liu, Comput. Phys. Commun. 99 (1997) 221. • To do numerical simulations with Ginsparg-Wilson fermions: Liu, Nucl. Phys. B 554 (1999) 313.
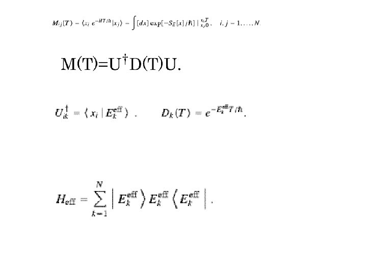
Problems of standard Langrangian Monte Carlo simulations: (1) Extremely difficult to study excited states, (2) Broken done in QCD at finite density. (3) Hamiltonian formulation of LGT does’t encounter above problem. Monte Carlo Hamiltonian: to construct effective Hamiltonian from standard Monte Carlo simulations. Tested in quantum mechanics: Jirari, Kroger, Luo, Moriarty, Phys. Lett. A 258 (1999) 6. Luo, Jiang, Huang, Jirari, Kroger, Moriarty, Physica A 281 (2000) 201. Tested in the scalar model: Huang, Kroger, Luo, Moriarty, Phys. Lett. A 299 (2002) 483.
(5) (6) (1)
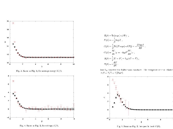
Fig. 1. Energy spectrum in a low energy window. • Fig. 2. Free energy F. Comparison of results from Monte Carlo Hamiltonian (filled circles) with standard Lagrangian lattice calculations (open circles).
Scattering of hadrons using tadpole improved clover Wilson action on coarse anisotropic lattices Liu, Zhang, Chen, Ma,Nucl. Phys. B 624 (2002) 360. • C. Liu “Pion scattering length with small anisotropic lattices, ” this workshop
• Hybrid meson • QCD predict the existence of some new particles: • Glueball: bound state of gluons • Hybrid meson: bound state of quark, anti-quark and gluons • Glueball
• Glueball Spectrum • From Hamiltonian lattice QCD: • Luo, Q. Chen, Mod. Phys. Lett. A 11 (1996) 2435. Nucl. Phys. B(Proc. Suppl. )53 (1997) 243. • From Improved glunon action: • C. Liu, Chin. Phys. Lett. 18 (2001) 187. • D. Liu, Wu, Y. Chen, High Energy Phys. Nucl. Phys. 26 (2002) 222. Mod. Phys. Lett. A 17 (2002) 1419. • Mei, Luo, 2003, in preparation. • Quantum number JPC
• Construct New Glueball Operators using their relation between lattice and continuum: • D. Liu, Wu, Y. Chen, High Energy Phys. Nucl. Phys. 26 (2002) 222. First Calculation for the Mass of the 4++ Glueball D. Liu, Wu, Mod. Phys. Lett. A 17 (2002) 1419.
• Mei, Luo, 2002: Glueball masses from Improved gluon action (compared with Morningstar, Peardon, 1997, 1999) • MG(0++)=1733 Me. V • MG(2++)=2408 Me. V • MG(1+-) =2951 Me. V • Glueballs can also mix with mesons, and decay (in progress)
• Hybrid meson masses from QCD with improved gluon and quark actions on the anisotropic lattice Mei and Luo, hep-lat/0206012
• At sufficiently high temperature and density, quarks are no longer confined • New state of matter: Quark-Gluon Plasma
• Neutron Star • RHIC (Relativistic Heavy Ion Collider) • LHC (Large Hadron Collider) • Lattice QCD at High Temperature can well be investigated by the standard Monte Carlo approach • At finite density (chemical potential), standard action approach (Hasenfratz, Kasch, 1983) fails: because S is complex, one can not use e-S to generate configurations
• Alternative (Hamiltonian): QCD at finite chemical potential was solved in the strong coupling regime: Gregory, Guo, Kroger, Luo, Phys. Rev. D 62 (2000) 054508. Luo, Gregory, Guo, Kroger, hep-ph/0011120. Fang, Luo, hep-lat/0210031. • There is a first order chiral phase transition at c • Reasonable results for the physical quantities are obtained,
Nature of the chiral phase transition? Rapp, Schafer, Shuryak, Velkovsky, 1998 Alford, Rajagopal, Wilczek, 1998 Diquark condensation in the high density phase? Instantons and chaos play an important role? (1) There is no first principle study in SU(3). (2) The definition of quantum instantons and quantum chaos are umbiguous. • New Quantum Instantons and Quantum Chaos: Jirari, Kroger, Luo, Moriarty, Rubin, Phys. Rev. Lett. 86 (2001) 187.
Key Project of National Science Foundation "Large Scale Simulations of Lattice Gauge Theory“, 120 M (2003 -2006) • Xiang-Qian Luo (Director, Zhongshan U. , Guangzou) • Qi-Zhou Chen (Zhongshan U. , Guangzhou) Ying Chen (Institute of High Energy Phys. , Beijing) Yi-Zhong Fang (Zhongshan U. , Guangzou) Shuo-Hong Guo (Zhongshan U. , Guangzou) Chun-Qing Huang (Zhongshan U. and Foshan U. ) Chuan Liu (Peking U. , Beijing) Da-Qing Liu (Institute of Theoretical Phys. , Beijing) Zhong-Hao Mei (Zhongshan U. , Guangzou) He-Ping Ying (Zhejiang U. , Huangzhou)
• We plan to do large scale simulations of lattice QCD, using the parallel supercomputing facilities in China. We will develop new numerical methods and study the following hot topics: • new hadrons such as glueballs and hybrid mesons, • scattering of hadrons, • topology of QCD vacuum, • transition from the quark confinement phase to quark-gluon plasma phase, • quantum instantons and quantum chaos.


