Презентация лекционного курса. Ч. 2.ppt
- Количество слайдов: 70
НЕРАВНОВЕСНЫЕ ЯВЛЕНИЯ В СЛОЖНЫХ ХИМИЧЕСКИХ ПРОЦЕССАХ ЧАСТЬ 2: КИНЕТИКА ХИМИЧЕСКИХ РЕАКЦИЙ Автор: Брусницына Л. А. , доцент, к. х. н.
ЛИТЕРАТУРА 1. Физическая химия. Кн. 2, Электрохимия. Химическая кинетика и катализ : Учеб. Пособие для вузов: В 2 -х кн. / Ред. К. С. Краснов. 3 -е изд. , испр. М. : Высшая школа, 2001. 319 с. : ил. Рек. Мвом образования РФ. 2. Стромберг, А. Г. Физическая химия: учебник для хим. спец. вузов / А. Г. Стромберг, Д. П. Семченко; [под ред. А. Г. Стромберга]. 6 -е изд. , М. Высшая школа, 2006. 527 с. : ил. Рек. М-вом образования РФ. Библиогр. : с. 511 -515. (а также ранние издания). 3. Еремин, В. В. Задачи по физической химии: учеб. Пособие для вузов / В. В. Еремин, С. И. Каргов, И. А. Успенская, Н. Е. Кузьменко, В. В. Лунин. М. : Экзамен, 2005. 320 с. : ил. 4. Краткий справочник физико-химических величин. Издание десятое, испр. и дополн. / Под ред. А. А. Равделя и А. М. Пономаревой СПб. : «Иван Федоров» , 2003. 240 с. ил.
РАЗДЕЛ 3. КИНЕТИЧЕСКИЕ ЗАКОНОМЕРНОСТИ ПРОСТЫХ РЕАКЦИЙ Основные понятия химической кинетики Химическая кинетика – это наука, изучающая протекание химической реакции или физико – химических процессов во времени, это раздел физической химии, в котором изучается зависимость скорости химической реакции от концентрации реагентов, температуры, свойств среды, излучения и других факторов. Химическая кинетика позволяет рассчитать время заданной степени превращения вещества и найти наиболее эффективные факторы воздействия на скорость химической реакции.
3. 1. Классификация химических реакций С точки зрения кинетики существует несколько принципов классификации химических реакций: 1)по агрегатному состоянию участников реакции все реакции делятся на гомогенные и гетерогенные. Гомогенными называются реакции, находятся в одной фазе. Они бывают: когда все реактанты а) газофазные б) жидкофазные в) твердофазные Гетерогенными называются реакции, когда участники реакции находятся в разных фазах; реакция протекает на границе раздела фаз
2) по специфике элементарного акта а) каталитические б) некаталитические в) фотохимические г) электрохимические д) цепные 3) по числу стадий а) простые (1 стадия) б) сложные 4) по обратимости реакций а) обратимые (двусторонние) б) необратимые
Реакция считается необратимой, если: а) в результате реакции образуется газ HCOOH → H 2 O + CO 2 ↑ б) образуется труднорастворимое соединение Ag. NO 3 + KJ → Ag. J↓ + KNO 3 в) образуется малодиссоциируемое соединение HNO 3 + Na. OH → Na. NO 3 + H 2 O г) выделяется большое количество тепла 3 Fe 3 O 4 + 8 Al → 4 Al 2 O 3 + 9 Fe + ∆H↑
3. 2. Элементарные химические реакции Скорость химических реакций зависит от пути прохождения реакции. Этот путь может быть представлен в виде суммы элементарных химических реакций. Элементарная реакция – это односторонний процесс превращения одних компонентов в другие. Она является совокупностью однотипных элементарных актов химического превращения. Большинство химических реакций не являются элементарными; они включают в себя несколько элементарных стадий – сложные реакции. Механизм реакции – это совокупность элементарных стадий. Реактант – участник химической реакции. dρnk – бесконечно малое изменение числа молей компонента k в элементарной реакции (ρ) Если dρnk > 0 – продукт реакции dρnk < 0 – исходное вещество dρnk = 0 – индифферентное вещество
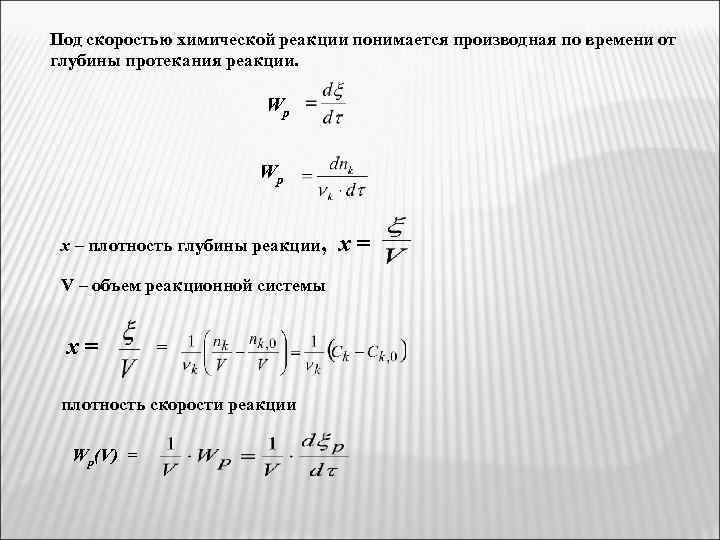
3. 3. Скорость химической реакции – это число однотипных элементарных актов химического превращения, совершающихся в единицу времени в единице объема или на единице поверхности. Рассмотрим реакцию: t=0→ t≠ 0→ (кси) исходные числа молей n. A n. B n. C ξ – глубина протекания реакций ξ= ξ dξ n. D текущие числа молей
Под скоростью химической реакции понимается производная по времени от глубины протекания реакции. Wp Wp x – плотность глубины реакции, V – объем реакционной системы x= = плотность скорости реакции Wp(V) = x=
тогда Wp(V) = или Wp(V) = Скорость химической реакции можно определить концентрации одного из компонентов реакции по изменению W(V) = Основной постулат Бекетова – Гульдберга – Вааги: Скорость химической реакции пропорциональна концентрации исходных веществ в степенях, равных их стехиометрическим коэффициентам где k – константа скорости реакции, если k определяется природой реакции, T и присутствием катализаторов; k называют удельной скоростью реакции. Этот постулат справедлив для простых одностадийных реакций.
3. 4. Кинетические кривые и кинетические уравнения Кинетическая кривая − это графическая зависимость изменения концентрации реактанта (компонента) от времени. Они могут выражать следующие зависимости: исходное вещество конечный продукт промежуточное вещество Уменьшение угла α со временем говорит об уменьшении скорости реакции.
Кинетические уравнения – это уравнения, связывающие скорость процесса с давлением, температурой и составом.
3. 5. Молекулярность и порядок реакции Понятие молекулярность применяется только к одностадийным простым реакциям. Молекулярность – это количество частиц, одновременным соударением которых осуществляется акт химического превращения. Молекулярность выражается целым числом- 1, 2, 3 ≠ 0 Для простых одномолекулярных реакций степень концентрации совпадет со стехиометрическим коэффициентом. По числу участвующих в реакции молекул (или в элементарном акте) все реакции делятся на: 1) Мономолекулярные СА- текущая концентрация
2) Бимолекулярные Если СА = СВ , 3) Тримолекулярные Как показывает опыт, трёхмолекулярные и четырехмолекулярные реакции встречаются редко.
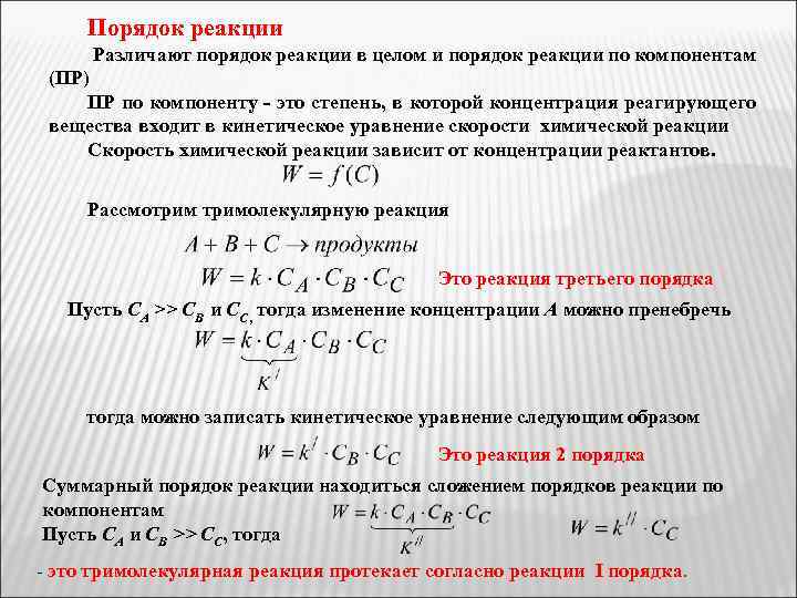
Порядок реакции Различают порядок реакции в целом и порядок реакции по компонентам (ПР) ПР по компоненту - это степень, в которой концентрация реагирующего вещества входит в кинетическое уравнение скорости химической реакции Скорость химической реакции зависит от концентрации реактантов. Рассмотримолекулярную реакция Это реакция третьего порядка Пусть СА >> СВ и СС , тогда изменение концентрации А можно пренебречь тогда можно записать кинетическое уравнение следующим образом Это реакция 2 порядка Суммарный порядок реакции находиться сложением порядков реакции по компонентам Пусть СА и СВ >> СС, тогда - это тримолекулярная реакция протекает согласно реакции I порядка.
Порядок реакции находиться только экспериментальным путем и зависит от условий проведения процесса. Сложные реакции протекают так, что одно из стадий может протекать медленнее других. Эта стадия называется лимитирующей. Она определяет скорость всего процесса. Для сложных многостадийных реакций постулат Бекетова – Гульдберга – Вааги можно записать где nk – порядок реакции по К – компоненту
3. 6. Элементарный акт химического превращения Теория переходного состояния или активированного комплекса Элементарные акты химических превращений осуществляются при столкновении молекул, обладающих избыточной энергией по сравнению со средней. При соударении частиц изменяется их потенциальная энергия. Всякий элементарный химический акт протекает через переходное состояние или активированный комплекс, когда в реагирующей системе исчезают отдельные связи и возникают новые, характерные для продуктов реакции. Рассмотрим реакцию: После сближения на достаточно близкое расстояние возникают связи между разнородными молекулами. Связи внутри исходных молекул ослабевают и в дальнейшем разрываются, а новые связи упрочняются, т. е. происходит перегруппировка атомов. Время жизни активированного комплекса (АВС)* очень мало.
Изменение энергии реагирующих веществ в ходе экзотермической реакции. Точка С соответствует энергетическому барьеру, который должны преодолевать молекулы. Е 1 – энергия активации, которую нужно сообщить молекулам, чтобы произошел элементарный химический акт.
Е – потенциальная энергия исходных веществ R − расстояние между атомами Когда в системе реакции нет, то потенциальная энергия Е находится как ∑(ЕАВ + ЕD). По мере сближения молекулы вступают в контакт, обменивают или отщепляют атомы, и за счёт этого энергия становится max (Еmax). По мере выделения продуктов реакции энергия падает до величины, соответствующей сильно удалённым друг от друга молекулам продуктов реакции. Еmax в точке С соответствует переходному состоянию, в ней образуется активированный комплекс (АВС)*. Энергетически более выгодно, когда реагирующие молекулы находятся на одной линии, он более вероятен. В ходе реакции энергия вначале возрастает, а после этого, т. е. достижения max значения, уменьшается.
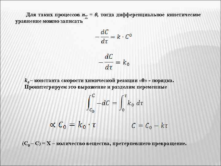
3. 7. Интегральные и дифференциальные уравнения реакций с целочисленными порядками реакций При выводе уравнений рассматривают простые варианты реакций со следующими ограничениями: 1)реакция гомогенная и протекает в закрытой системе в статических условиях (V, T – const); 2)процесс односторонний, необратимый; 3)частные порядки реакций ni и общий порядок реакции n = ∑ ni равны 0 или целому положительному числу. 3. 7. 1. Реакции нулевого порядка Cкорость химической реакции не зависит от концентрации реактантов.
Для таких процессов n∑ = 0, тогда дифференциальное кинетическое уравнение можно записать k 0 – константа скорости химической реакции « 0» - порядка. Проинтегрируем это выражение и разделим переменные (С 0 – С) = Х – количество вещества, претерпевшего превращение.
Степень превращения вещества α Другая форма кинетического уравнения « 0» порядка имеет вид Для нахождения k 0 строят график в координатах С = f (τ) τ1/2 − время полупревращения, когда С = С 0 / 2; х = С 0 / 2; С = С 0 – х; α = 0, 5
Примеры реакций нулевого порядка: 1. Фотохимические реакции. Лимитирующий фактор – количество энергии. При постоянной температуре поглощенной световой W ≠ f (C 0) 2. Каталитические реакции. Скорость химической реакции не зависит от исходной концентрации реактантов, а определяется концентрацией катализатора W ≠ f (C 0); W = f (kt).
3. 7. 2. Односторонние (необратимые) реакции I порядка К реакциям первого порядка относятся реакции, в которых скорость реакции пропорциональна концентрации реагирующих частиц. Это могут быть мономолекулярные реакции, бимолекулярные реакции при значительном избытке одного из реактантов или даже многостадийные реакции, когда скорость реакции зависит, главным образом, от концентрации лишь одного компонента. Рассмотрим мономолекулярную реакцию: +
Дифференциальные уравнения скорости реакции I порядка: Это кинетические уравнения реакции I порядка, записанные в интегральной форме. При кинетических исследованиях прямая задача - это определение зависимости с = f(τ), обратная задача- определение к.
Плотность глубины реакции х:
3. 7. 3. Односторонние реакции II порядка 1) Рассмотрим реакцию, в которой участвуют два исходных вещества А 1 и А 2. Введем обозначения: Примем, что продукт реакции B;
Разделим переменные и введем const А и В
В этом случае плотность глубины реакции х будет равна 2) Рассмотрим другой случай, когда СА 1, 0=СА 2, 0 – эквивалентные концентрации исходных веществ.
Плотность глубины реакции II порядка: Время полупревращения, когда 3) Пусть − Рассматривается как реакция I порядка
3. 7. 4. Односторонние реакции nго порядка Сложные реакции могут протекать по nму порядку при
. Уравнение может быть использовано для реакций nго порядка при любом значении n, кроме реакций 1 порядка. Зная значение А и время полупревращения можно найти значение kn , n.
3. 7. 5. Методы определения порядка реакции Порядок реакции является эмпирической величиной и не может быть рассчитан теоретически, если не известен механизм реакции. Для его определения разработаны различные методы 1. Метод подстановки. Заключается в том, что экспериментальные данные зависимости сτ=f(τ) подставляют в кинетические уравнения разных порядков и находят какое из них дает постоянное значение константы скорости реакции. 2. Графический метод. Зависимость концентрации от времени для реакции различного порядка может быть выражена прямой линией, если выбрать соответствующую систему координат. Для реакций I порядка прямая получается в системе координат ln c = f(τ), II порядка (1/с)= f(τ), III порядка (1/с2 )= f(τ).
а) Дифференциальной метод По кинетической кривой определяют
б) Интегральный метод 3. Метод определения по Раковскому (по периоду полупревращения) Для реакций I порядка III порядка
Из уравнения для реакций nго порядка Для определения n берутся различные начальные концентрации веществ, определяют время полупревращения, определяют зависимость и делают вывод о n. Порядок реакции может быть 1, 2, 3, а также дробным. Если n = 0, то график пойдет параллельно оси абсцисс. Определив n и зная ln А можно рассчитать значения k
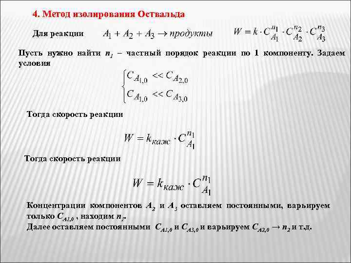
4. Метод изолирования Оствальда Для реакции Пусть нужно найти n 1 – частный порядок реакции по 1 компоненту. Задаем условия Тогда скорость реакции Концентрации компонентов А 2 и А 3 оставляем постоянными, варьируем только СА 1, 0 , находим n 1. Далее оставляем постоянными СА 1, 0 и СА 3, 0 и варьируем СА 2, 0 → n 2 и т. д.
3. 8. Зависимость скорости химической реакции от температуры. Уравнение Аррениуса Скорость химической реакции зависит не только от концентрации реагентов, но и от температуры. По правилу Вант-Гоффа увеличение температуры на 10 о приводит к увеличению скорости реакции в 2 -4 раза. - температурный коэффициент химической реакции скорости Более строгая зависимость k от T выражается уравнением Аррениуса: где A и B – const; A – предэкспоненциальный множитель, - энергия активации химической реакции Другая запись уравнения Аррениуса: B=
Энергия активации зависит от природы реакции. Пользуясь этим уравнением можно определить энергию активации, если известны k при различных температурах. Энергия активации обычно > 0 и равна 50 -500 Дж/моль, реже меньше нуля. Для газофазных реакций A = 1012 -1016 C-1. - величина потенциального барьера. находят часто графическим решением уравнения Аррениуса: Строят график в координатах
Строят график в координатах <0 > 0; Энергию активации можно рассчитать аналитически, зная значение константы скорости реакции при двух различных температурах. =
РАЗДЕЛ 4. КИНЕТИКА СЛОЖНЫХ ГОМОГЕННЫХ И ГЕТЕРОГЕННЫХ РЕАКЦИЙ. КАТАЛИТИЧЕСКИЕ РЕАКЦИИ Под сложными реакциями понимают реакции, протекающие в несколько стадий, 2 х – сторонние, параллельные, последовательные. При описании сложных реакции учитывается условие материального баланса и принцип независимого протекания реакции; каждая реакция протекает независимо от другой и скорость каждой реакции пропорциональна концентрации реагирующих веществ. Условно сложную реакцию разбивают на несколько элементарных стадий. 4. 1 Обратимые (двусторонние) реакции первого порядка Обратимые реакции могут быть I и II порядка - равновесные концентрации
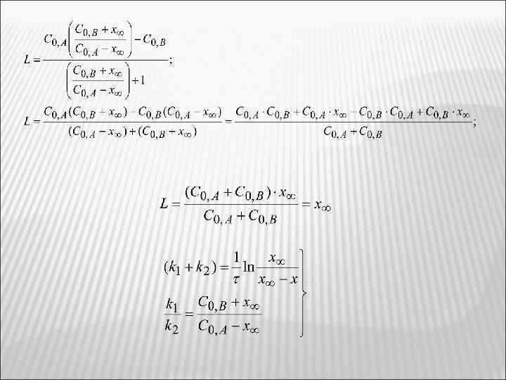
Суммарная скорость реакции равна В любой момент времени
const = - ln L Уравнение позволяет найти сумму (k 1 + k 2), но не дает возможности найти k 1 и k 2. Найти значение k 1 и k 2 можно, исходя из равновесия прямой и обратной реакции, когда Константа равновесия реакции
4. 2. Параллельные односторонние реакции Реакции называются параллельными, если в каждой реакции в качестве исходного принимает участие одно и тоже вещество. Эти реакции могут быть I и II порядка. Рассмотрим параллельную реакцию I порядка, характерную для органического синтеза. Каждая реакция дает свой продукт. 0 0 0
Скорость параллельной реакции равна
3. 3. Односторонние последовательные реакции Реакции считаются последовательными, если вещество, образующееся в одной реакции, является исходным для другой. Реакции часто встречаются на практике и могут быть моно-, би- или тримолекулярными, односторонними или обратимыми. Рассмотрим последовательную одностороннюю реакцию первого порядка В – промежуточное вещество 0 0
К любому времени система дифференциальных кинетических уравнений Для первой стадии реакции: Для второй стадии реакции: y= (x-y) =
Анализ развития последовательной реакции Рассчитаем значение τmax. Когда (x-y) = max, производная равна 0. (x-y) = 0=
γ= Рассмотрим 2 случая, когда γ 1 = 2 и γ 2 = 10
При γ 2 = 10, во втором случае, промежуточное вещество будет превращаться значительно быстрее чем возникать (k 2 >> k 1), его можно не заметить Если k 1 >> k 2, то скорость возникновения промежуточного продукта выше, чем его расходование.
4. 4. Основные понятия кинетики гетерогенных реакций Гетерогенными называются процессы, происходящие на границе раздела соприкасающихся фаз. К ним относятся такие процессы как горение топлива, окисление металлов кислородом воздуха, реакции на поверхности катализаторов, кристаллизация чистых жидкостей. Скорость гетерогенных процессов зависит от размеров и состояния поверхности раздела фаз, а так же от скорости их относительного движения. Гетерогенные процессы многостадийны. Гетерогенные процессы могут протекать на границе между разными фазами: твердая-твердая, твердая - жидкая, твердая - газообразная, жидкая, жидкая - газообразная. Пусть твердое вещество A(T) реагирует на поверхности с веществом B(P) в растворе с образованием продукта реакции AB(P) в растворе: К таким реакциям относится реакция: Эта реакция протекает на границе фаз − раствор.
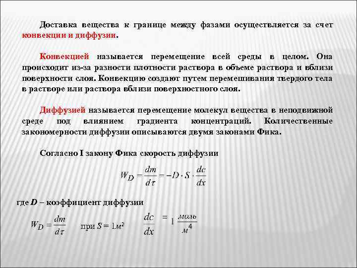
Можно выделить 3 основные стадии процесса: 1) доставка вещества из раствора к поверхности твердого тела; 2) собственно химическая реакция на поверхности твердого тела; 3) отвод продуктов реакции от поверхности вглубь раствора. Каждая из этих стадий может быть лимитирующей, иметь наименьшую константу скорости и оказывать наибольшее сопротивление процессу. Если определяющей стадией является химическая (стадия) реакция на границе раздела фаз, то гетерогенный процесс описывается законами химической кинетики и протекает в кинетической области. Если, как это чаще бывает, медленнее осуществляется подвод и отвод соответствующих веществ, то гетерогенный процесс протекает в диффузионной области и описывается законами диффузии. Температура сильнее влияет на скорость химической реакции, чем на диффузию. При повышении температуры гетерогенная химическая реакция может перейти из кинетической области в диффузионную.
Доставка вещества к границе между фазами осуществляется за счет конвекции и диффузии. Конвекцией называется перемещение всей среды в целом. Она происходит из-за разности плотности раствора в объеме раствора и вблизи поверхности слоя. Конвекцию создают путем перемешивания твердого тела в растворе или раствора вблизи поверхностного слоя. Диффузией называется перемещение молекул вещества в неподвижной среде под влиянием градиента концентраций. Количественные закономерности диффузии описываются двумя законами Фика. Согласно I закону Фика скорость диффузии где D – коэффициент диффузии при S = 1 м 2 =
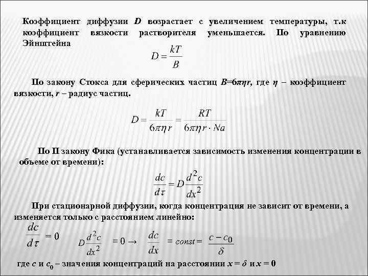
Коэффициент диффузии D возрастает с увеличением температуры, т. к коэффициент вязкости растворителя уменьшается. По уравнению Эйнштейна По закону Стокса для сферических частиц B=6πηr, где η – коэффициент вязкости, r – радиус частиц. По II закону Фика (устанавливается зависимость изменения концентрации в объеме от времени): При стационарной диффузии, когда концентрация не зависит от времени, а изменяется только с расстоянием линейно: =0 =0→ = const = где c и c 0 – значения концентраций на расстоянии x = δ и x = 0
Исходя из этого, скорость стационарной диффузии будет равна: – коэффициент массопереноса; c 0 – концентрация в поверхностном слое. Для гетерогенной реакции, которая имеет I порядок и протекает стационарно, предположим, что скорость химической реакции равна скорости диффузии. − это диффузионное сопротивление − это химическое сопротивление
Скорость реакции определяется β , характеризующей диффузию. Процесс протекает в диффузионной области. Суммарный процесс определяется химической стадией и протекает в кинетической области. Влияние температуры на константу скорости гетерогенной реакции γ – температурный коэффициент
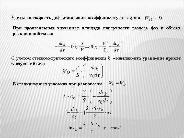
4. 5. Интегральное кинетическое уравнение для расчета константы гетерогенной реакции Если гетерогенная химическая реакция протекает в кинетической области, то если считать, что эта реакция первого порядка (nk = 1). При протекании гетерогенной реакции в диффузионной области можно записать, что (dnk ~ dmk ) Согласно первому закону Фика скорость диффузии или изменение числа молей компонента во времени будет рассчитываться по уравнению: Поделим обе части уравнения на объем реакционной системы – V, тогда:
Удельная скорость диффузии равна коэффициенту диффузии При произвольных значениях площади поверхности раздела фаз и объема реакционной смеси С учетом стехиометрического коэффициента k - компонента уравнение примет следующий вид: В стационарных условиях при равновесии k
k определяется, исходя из экспериментального значения константы - kэксп Определение kэксп проводят графическим путем, построив график в координатах определяется соотношением площади поверхности раздела фаз и объема реакционной смеси.
4. 6. Катализ. Специфичность, селективность катализа Каталитическими называются реакции, протекающие с участием катализаторов − веществ, не входящих в стехиометрическое уравнение и остающихся после реакции неизменными. Катализаторы вступают в промежуточное химическое взаимодействие с участками реакции, а после реакции выделяются. Катализаторы сильно влияют на скорость реакции: положительный катализ – увеличивают скорость реакции; отрицательный катализ – понижают скорость реакции. Вещества, в присутствии которых скорость реакции уменьшается, называются ингибиторами. Если катализатором является один из продуктов реакции, то реакция называется автокаталитической. Реакция восстановления окси железа катализируется железом. Каталитические реакции широко распространены в природе и промышленности. Различают: 1) гомогенный катализ 2) гетерогенный катализ
При гомогенном катализе все вещества находятся в общей фазе, включая катализатор. Реакция окисления SO 2 в присутствии окси азота NO: При гетерогенном катализе реагирующие вещества и катализатор находятся в разных фазах, а каталитическая реакция протекает на поверхности раздела фаз: 6. 1. Свойства катализаторов: (kt) 1) катализатор не влияет на положение термодинамического равновесия, т. е на величину константы равновесия 2) катализаторы обладают избирательностью (или селективностью действия). Каждый катализатор может ускорять лишь некоторые реакции. Ni – катализатор реакции гидрирования V 2 O 5 – катализатор реакции окисления
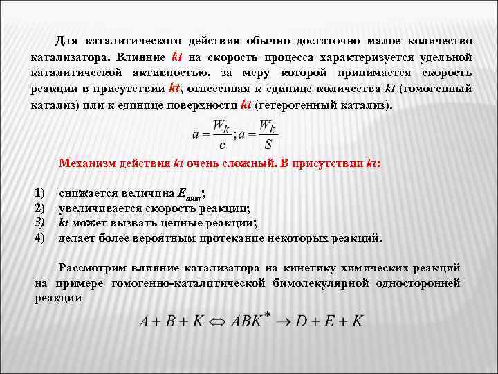
Для каталитического действия обычно достаточно малое количество катализатора. Влияние kt на скорость процесса характеризуется удельной каталитической активностью, за меру которой принимается скорость реакции в присутствии kt, отнесенная к единице количества kt (гомогенный катализ) или к единице поверхности kt (гетерогенный катализ). Механизм действия kt очень сложный. В присутствии kt: 1) 2) 3) 4) снижается величина Eакт; увеличивается скорость реакции; kt может вызвать цепные реакции; делает более вероятным протекание некоторых реакций. Рассмотрим влияние катализатора на кинетику химических реакций на примере гомогенно-каталитической бимолекулярной односторонней реакции
Константа равновесия образования активного комплекса равна − концентрация активированного комплекса; − концентрация исходных веществ; − концентрация катализатора, не вошедшего в активированный комплекс. Скорость реакции в присутствии катализатора Концентрация свободного катализатора − общая или исходная концентрация катализатора
Уравнение показывает, что скорость гомогенно-каталитической бимолекулярной реакции пропорциональна концентрации катализатора.
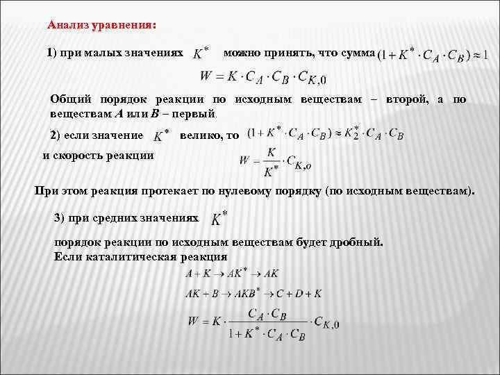
Анализ уравнения: 1) при малых значениях можно принять, что сумма Общий порядок реакции по исходным веществам – второй, а по веществам A или B – первый. 2) если значение велико, то и скорость реакции При этом реакция протекает по нулевому порядку (по исходным веществам). 3) при средних значениях порядок реакции по исходным веществам будет дробный. Если каталитическая реакция
4. 6. 2. Каталитическая активность и избирательность Мерой каталитической активности A является изменение скорости химической реакции в результате введения kt: - доля объема системы, занимаемой kt и недоступная для реагирующих веществ. A может быть (+) и (-) в соответствии с положительным и отрицательным катализом. Часто очень мала, то им можно пренебречь, поэтому Если реакция протекает вблизи равновесия и является двусторонней, то за меру каталитической активности принимают скорость протекания реакции в прямом направлении. Удельная каталитическая активность относится к единице количества kt(a). В гомогенном катализе относится к числу молей в единице объема: В гетерогенном катализе
Избирательностью kt называют его способность ускорять один из возможных путей реакции, если она может протекать по разным направлениям с образованием различных продуктов. Свойство избирательности или селективности имеет большое практическое значение. Путем подбора соответствующих kt можно увеличить выход нужного продукта. Например: при термическом разложении в газовой фазе диэтилового эфира без kt идет реакция В присутствии паров реакция идет быстрее в другом направлении В присутствии kt может протекать и реакция, которая шла без kt, но скорость ее обычно ниже. Иногда для уменьшения скорости некаталитической реакции понижают температуру.


