Непрерывность и точки разрыва.ppt
- Количество слайдов: 23
Непрерывность и точки разрыва Лекция 9
Сравнение бесконечно малых Пусть (x), (x) – б. м. при x x 0, где x 0 – const или б. б. Определение. Если , то говорят, что (x) б. м. более высокого порядка, чем (x) при х x 0, или что (x) - б. м. низшего порядка относительно (x). Обозначение: (x) =о( (x)). Определение. Если , где с = const 0, то (x) и (x) называют б. м. одного порядка. В частности, если , то (x) и (x) называются эквивалентными. Обозначение: (x) ~ (x).
Теорема. (О замене б. м. на эквивалентную. ) Если (x) ~ 1(x), (x) ~ 1(x) и , то , т. е. предел отношения б. м. не меняется при замене их эквивалентными бесконечно малыми:
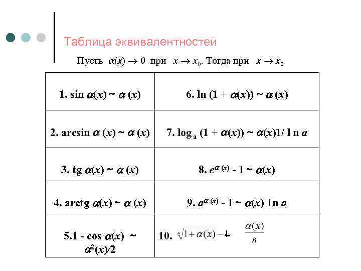
Эквивалентные функции
Таблица эквивалентностей Пусть (х) 0 при x x 0. Тогда при x x 0 ~ 1. sin (х) ~ (х) 6. ln (1 + (х)) ~ (х) 2. arcsin (x) ~ (х) 7. log a (1 + (х)) ~ (х)1/ l n a 3. tg (х) ~ (х) 8. e (х) - 1 ~ (х) 4. arctg (х) ~ (х) 9. a (х) - 1 ~ (х) 1 n а 5. 1 - cos (х) ~ 2(х)/2 10. ~
Виды неопределенностей
Разрывы функции
Устранимый разрыв
Точки разрыва Определение Если функция у = f(x) определена в окрестности точки x 0, и не является в точке x 0 непрерывной, то функцию называют разрывной в точке x 0, а саму точку x 0 – точкой разрыва функции у = f(x). Определение. Точка x 0 называется точкой разрыва первого рода, если функция f(x) имеет конечные пределы справа и слева в этой точке. При этом величина f(х0+0) – f(х0– 0) = h называется скачком функции f(x) в точке x 0. Если скачок функции в точке x 0 равен нулю, то точка называется точкой устранимого разрыва. Во всех остальных случаях x 0 называется точкой разрыва второго рода.
Пример
Разрывы функции
Пример y Пусть функция задана графически 2 1 -1 2 3 x -1 f(-1)=0 f(0)=1 f(1)= -1 f(3)=
Определение непрерывности функции Замечание. Необходимое и достаточное условие непрерывности функции в точке можно записать в виде: f(x 0 – 0) = f(x 0 + 0).
Непрерывность функции и разрывы
Свойства непрерывных функций Теорема 1. Основные элементарные функции непрерывны всюду в своей области определения. Теорема 2. Если f(x) и (x) непрерывные функции на множестве X, то 1) f(x) – непрерывна на множестве X; 2) f(x) – непрерывна на множестве X; 3) – непрерывна на множестве X. Теорема 3. Пусть . Если функция f(x) непрерывна на множестве X, (y) – непрерывна на множестве Y, то (f(x)) – непрерывна на множестве X. Теорема 4. Все элементарные функции непрерывны всюду в своей области определения.
Свойства функций непрерывных на отрезке Теорема 5. Если функция f(x) непрерывна на отрезке [a, b], то на этом отрезке она ограниченна и достигает своих нижней и верхней граней т. е. на нем существует по крайней мере две точки с1 и с2 , такие, что , . 1. y=x 2, x [-2, 3 2. y=tg x, x (- /2, /2)
Теорема 6. (Коши о промежуточных значениях) Если f(x) непрерывна на отрезке [a, b] и f(a)=A, f(b)=B. Тогда для любого числа С, заключенного между A и B, найдется такая точка с [a, b], что f(c)=C. Геометрический смысл теоремы. Рассмотрим график функции f(x). Пусть f(a)=A, f(b)=B. Тогда прямая y = C, где C – любое число, заключенное между A и B, пересечет график функции, по крайней мере, в одной точке.
Теорема 7. Если функция f(x) непрерывна на отрезке [a, b] и на его концах принимает значения разных знаков, то внутри этого отрезка существует, по крайней мере, одна точка, в которой значение функции равно нулю: f (x) : f (a) f (b)<0 x 0 (a, b) | f(x 0)=0. Геометрический смысл теоремы заключается в следующем: если точки A(а, f(a)) и B(b, f(b)) графика функции f(x), соответствующие концам отрезка [a, b], лежат по разные стороны от оси Ox, то график функции хотя бы в одной точке отрезка пересечет ось Ox.
Нули функции
План исследования функции на непрерывность 1. Найти область определения и точки, подозрительные на разрыв. 2. Найти односторонние пределы для каждой подозрительной точки. Вычислить значение функции в этих точках. 3. Проклассифицировать характер разрыва. 4. Построить эскиз графика. Если необходимо вычислить пределы функции на .


