Скачать презентацию Неопределённый интеграл Метод интегрирования по частям Пусть Скачать презентацию Неопределённый интеграл Метод интегрирования по частям Пусть

Неопределенный интеграл по частям.ppt

  • Количество слайдов: 13

Неопределённый интеграл. Неопределённый интеграл.

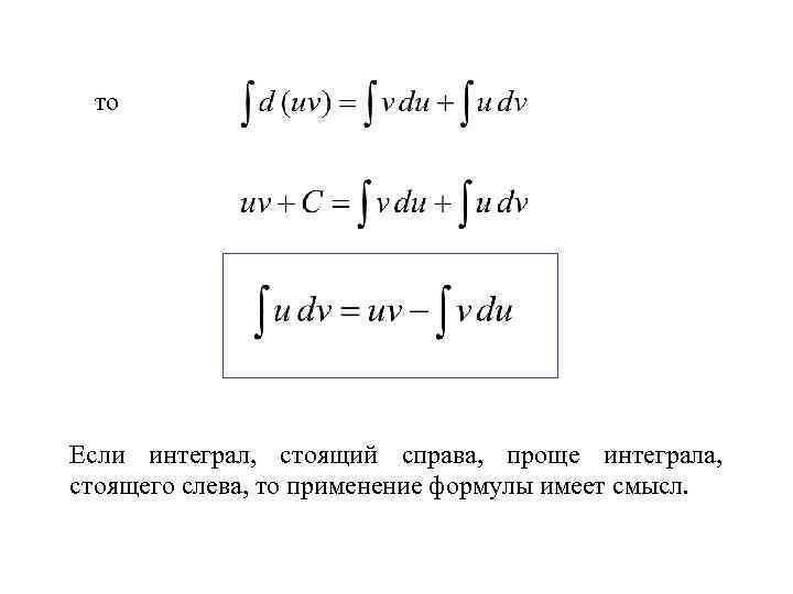
Метод интегрирования по частям. Пусть известно тогда проинтегрируем дифференцируемые функции Метод интегрирования по частям. Пусть известно тогда проинтегрируем дифференцируемые функции

то Если интеграл, стоящий справа, проще интеграла, стоящего слева, то применение формулы имеет смысл. то Если интеграл, стоящий справа, проще интеграла, стоящего слева, то применение формулы имеет смысл.

Пример 1. Вычислить интеграл Пример 1. Вычислить интеграл

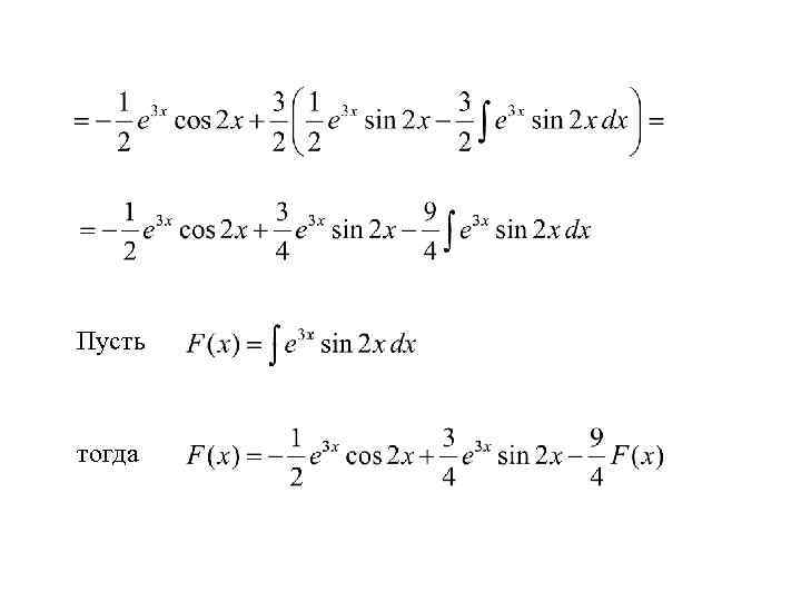
Некоторые типы интегралов, решаемые методом интегрирования по частям. u u u где Р(х)- многочлен Некоторые типы интегралов, решаемые методом интегрирования по частям. u u u где Р(х)- многочлен u u

u u u u=P(x) - многочлен Если Р(х) выше первой степени, то операцию интегрирования u u u u=P(x) - многочлен Если Р(х) выше первой степени, то операцию интегрирования по частям следует применять несколько раз. Формула применяется два раза, причем оба раза за u выбирается либо показательная функция, либо тригонометрическая.

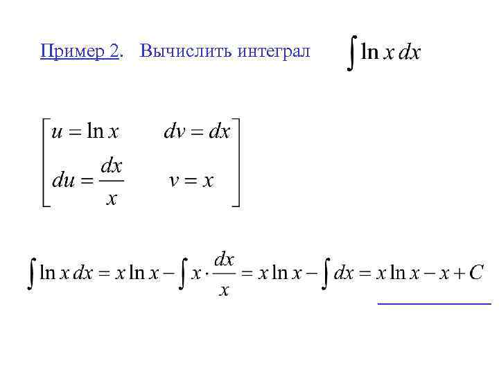
Пример 2. Вычислить интеграл Пример 2. Вычислить интеграл

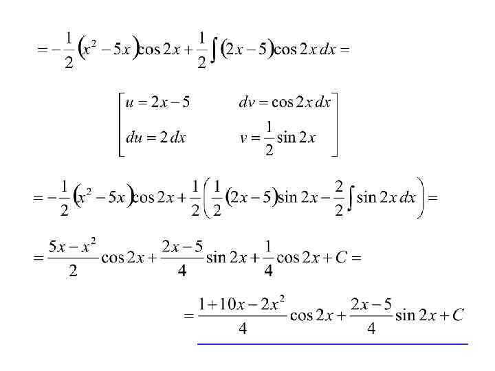
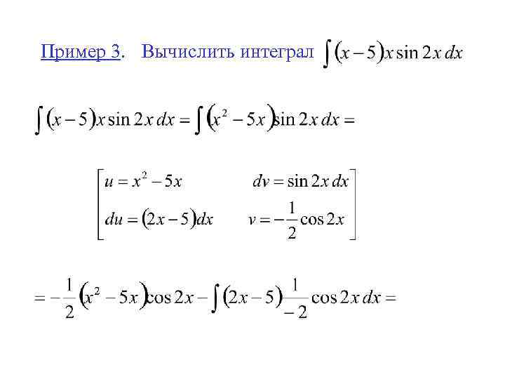
Пример 3. Вычислить интеграл Пример 3. Вычислить интеграл

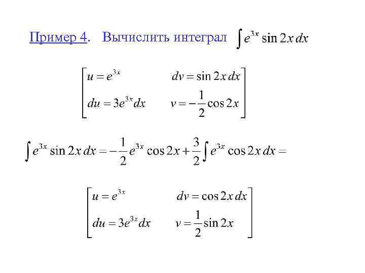
Пример 4. Вычислить интеграл Пример 4. Вычислить интеграл

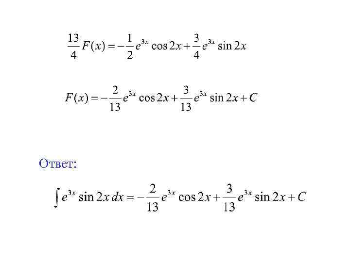
Пусть тогда Пусть тогда

Ответ: Ответ:

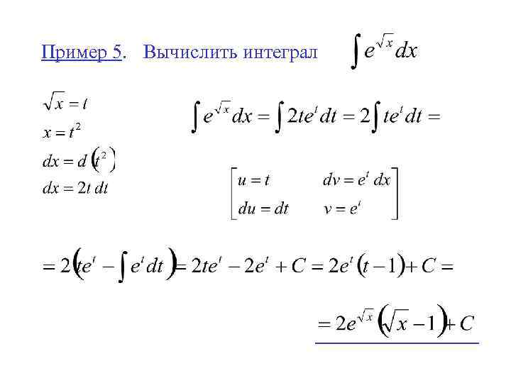
Пример 5. Вычислить интеграл Пример 5. Вычислить интеграл