Нелинейные резистивные элементы (НРЭ)



























































Лек-17 НРЭ п_ тока.ppt
- Количество слайдов: 59
Нелинейные резистивные элементы (НРЭ) 1
НРЭ имеют нелинейную ВАХ i(u) и необратимо преобразуют электрическую энергию в тепло 2
К нелинейным резистивным элементам относятся, например: 3
1. Лампа накаливания 4
Симметричная ВАХ 5
2. Полупроводниковый диод 6
Несимметричная ВАХ 7
3. Биполярный транзистор 8
Семейство ВАХ 9
4. Фотодиод (активный НРЭ) 10
Семейство ВАХ 11
Лампа накаливания – инерционный пассивный НРЭ с симметричной ВАХ i(u) 12
Полупроводниковый диод – безынерционный пассивный НРЭ с несимметричной ВАХ i(u) 13
Например: для диода i u 14
Безынерционные элементы являются источником высших гармоник 15
ка са т. 16
В общем случае НРЭ обозначаются: 17
Статическое сопротивление 18
Дифференциальное сопротивление 19
Закон Ома 20
Закон Джоуля-Ленца 21
Расчет нелинейных резистивных цепей 22
Ведется графоаналитическими методами с использованием статических или динамических ВАХ НРЭ 23
При этом расчет нелинейных резистивных цепей при переменных напряжениях и токах осуществляется для мгновенных значений для каждого момента времени по отдельности 24
1. Метод эквивалентного генератора – применяется для цепей с одним НРЭ 25
Лин. цепь 26
27
2. Сложение ВАХ – применяется для упрощения схем 28
При этом на основании законов Кирхгофа ВАХ i(u) последовательно соединенных НРЭ складываются вдоль оси u, а ВАХ параллельно соединенных НРЭ складываются вдоль оси i 29
30
31
3. Метод двух узлов – применяется для схем с двумя узлами 32
Например: 33
Уравнения по законам Кирхгофа: 34
Так как i 3=i 1+i 2 , то uab(i 1) и uab(i 2) складываем вдоль оси i, причем точка пересечения полученной ВАХ uab(i 1+i 2) с uab(i 3) даст решение 35
Графическое решение 36
4. Метод итераций – применяется для расчета схем с использованием вычислительной техники 37
При этом НРЭ обозначаются в виде неизвестных статических сопротивлений Rст , причем для лучшей сходимости итерационное выражение составляется для тока в НРЭ если его ВАХ загибается к оси i, иначе составляется для u 38
Например: 39
40
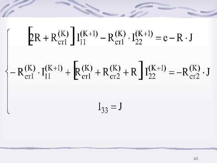
Для расчета статических сопротивлений и используем метод контурных токов 41
42
Итерационные выражения 43
Задаемся произвольными значениями u 1 (0) и i (0), по ВАХ 2 находим i 1 (0) и u (0), рассчитываем 2 RCT 1(0) и RCT 2(0), по итерационным выражениям определяем u 1(1) и i 2(1), по ВАХ находим i 1(1) и u 2(1), и т. д. 44
Расчет ведется до повторения результатов 45
5. Метод линеаризации ВАХ в области предполагаемого решения – применяется как приближенный метод 46
47
48
49
После замены нелинейных элементов линейными резисторами Rн и ЭДС eн расчет ведется любым методом. Если найденные токи i лежат в выбранных интервалах i(1)
6. Применение MATHCAD на ЭВМ для расчета переменных напряжений и токов 51
Пример: 52
Дано: 53
По законам Кирхгофа 54
Given 55
Find 56
57
Изменяем и повторяем расчет. Затем строим графики, например, i 1(t) и u 2(t) 58
59

