Некоторые законы распределения непрерывных случайных величин.ppt
- Количество слайдов: 33
Некоторые законы распределения непрерывных случайных величин Ахмеджанова Т. Д.
Равномерное распределение. Распределение вероятностей непрерывной случайной величины Х, принимающей все свои значения из отрезка , называется равномерным, если ее плотность вероятности на этом отрезке постоянна, а вне его равна нулю, т. е. :
Отсюда o Мы знаем, что o Имеем:
Плотность вероятности непрерывной случайной величины Х, распределенной равномерно на отрезке имеет вид:
График функции плотности вероятности равномерно распределённой случайной величины:
Определение. Математическим ожиданием непрерывной случайной величины Х с плотностью вероятности f (x) называется величина несобственного интеграла (если он сходится):
Математическое ожидание случайной величины Х , имеющей равномерное распределение на участке (a, b), получаем, вычисляя интеграл: т. е. математическое ожидание равно абсциссе середины участка (a, b).
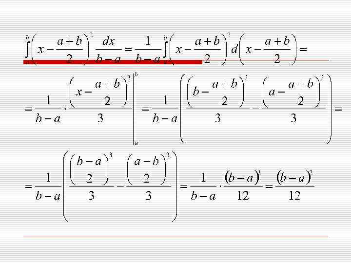
Определение Дисперсией непрерывной случайной величины Х, математическое ожидание которой M(X) = a, и функция f(x) является ее плотностью вероятности, называется величина несобственного интеграла (если он сходится):
Дисперсию случайной величины, имеющей равномерное распределение на участке (a, b), находим, вычисляя интеграл:
o Среднее квадратическое отклонение равномерного распределения:
o o Равномерное распределение моды не имеет. Медиана, из соображений симметрии, равна
Теорема Вероятность попадания непрерывной случайной величины Х в интервал (a; b) равна определенному интегралу от дифференциальной функции распределения величины Х, взятому в пределах от a до b:
Доказательство. Так как F(x) является первообразной для f(x), то на основании формулы Ньютона- Лейбница имеем: С учётом этого соотношения и некоторых свойств функции распределения получаем искомое равенство.
Вероятность попадания случайной величины Х, равномерно распределенной на участке (a, b), на произвольную часть участка (a, b):
Равномерное распределение возникает, например, при измерении какой-либо величины с помощью прибора с грубыми делениями. В качестве приближенного значения измеряемой величины берется: o o o а) ближайшее целое; б) ближайшее меньшее целое; в) ближайшее большее целое. Рассматривается случайная величина Х – ошибка измерения. Так как ни одно из значений не предпочтительнее других, случайная величина Х распределена равномерно в случае : o o o а) на участке (-1/2; 1/2); б) на участке (0; 1); в) на участке (-1; 0) (в качестве 1 берется цена деления).
o o При моделировании случайных процессов приходится пользоваться случайной величиной Х, имеющей равномерное распределение в пределах от 0 до 1: f(x) = 1( 0< x < 1). Эта величина называется «случайным числом от 0 до 1» . Она служит исходным материалом, из которого путем соответствующих преобразований получаются случайные величины с любым заданным распределением. Также равномерное распределение имеют и ошибки, возникающие от округления данных при расчетах.
Функция распределения F(x) для случайной величины Х, распределенной равномерно на участке (a, b), геометрически представляет собой площадь, ограниченную кривой распределения и лежащую левее точки х:
Её график:
показательное распределение имеет непрерывная случайная величина Х, если: или
Показательное распределение играет базовую роль в решении задач, связанных с данными типа «времени жизни» : n n продолжительность жизни организмов в биологических и медицинских исследованиях, продолжительность безотказной работы устройств – в технике. Активно используется показательное распределение в задачах массового обслуживания (интервалы времени между вызовами на АТС, etc. ).
Закон нормального распределения Закон распределения вероятностей непрерывной случайной величины Х называется нормальным, если ее дифференциальная функция f (x) определяется формулой параметр а совпадает с МО величины Х: а=М(Х), параметр является средним квадратическим отклонением величины Х:
График функции нормального распределения f(x) a x
Нормальное распределение с параметрами а = 0 и называется нормированным. Дифференциальная функция в случае такого распределения будет Для этой функции составлена таблица ее значений для положительных значений х (функция четная).
Пусть случайная величина Х распределена по нормальному закону. Тогда вероятность того, что Х примет значение, принадлежащее интервалу , согласно теореме,
Полагая сделаем замену переменной в интеграле. Тогда:
Однако интеграл не берется в элементарных функциях. Поэтому для вычисления интеграла вводится функция называемая функцией Лапласа или интегралом вероятностей. Для этой функции составлена таблица ее значений для положительных значений х.
Свойства функции Лапласа Ф(х) есть нечетная функция
Вероятность попадания на участок случайной величины Х, нормально распределённой, определяется через значения функции Лапласа по формуле
Справедлива также формула С её помощью можно находить вероятность попадания случайной величины, подчиненной нормальному закону, на участок, симметричный относительно точки а.
Нормальное распределение вероятностей имеет в теории вероятностей большое значение. Нормальному закону подчиняется вероятность при стрельбе по цели, в измерениях и т. п. В частности, оказывается, что закон распределения суммы достаточно большого числа независимых случайных величин, влияние каждой из которых на всю сумму ничтожно мало, близок к нормальному распределению. Этот факт, называемый центральной предельной теоремой, был доказан А. М. Ляпуновым.
o o Вероятность попадания случайной величины Х в полуинтервал равна разности между значениями функции распределения в правом и левом концах интервала : Вероятности попадания непрерывной случайной величины в интервал, сегмент, полуинтервал с одними и теми же концами одинаковы:


