0f63da22e53c85a97952445349c707df.ppt
- Количество слайдов: 108
НЕФТЬ
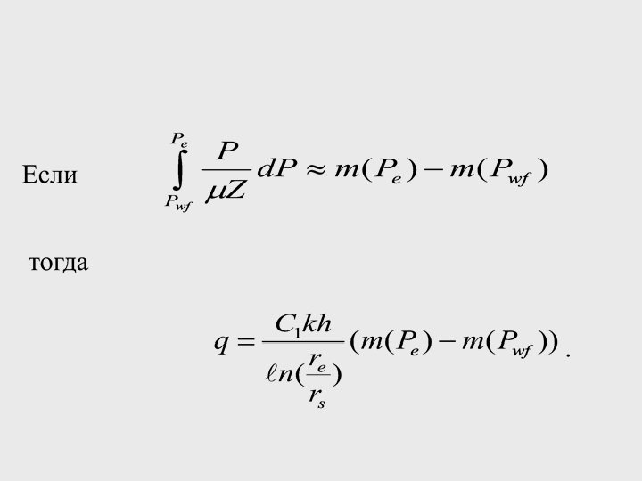
Интеграл пластового псевдодавления
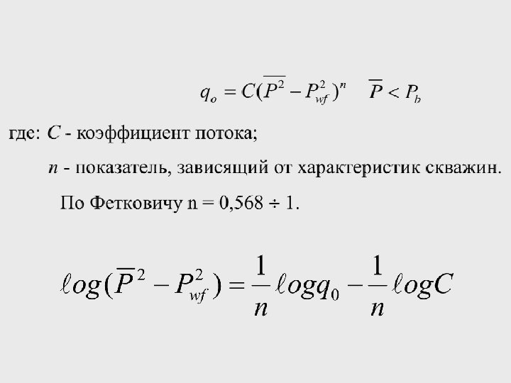
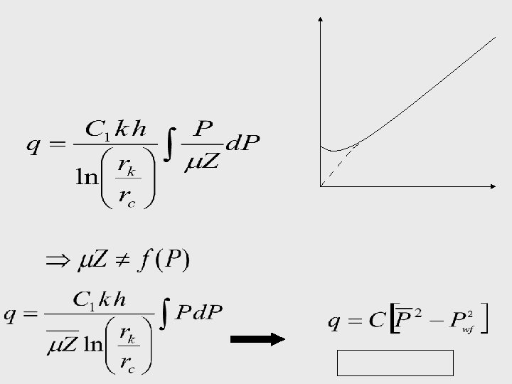
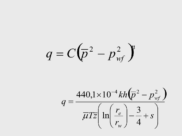
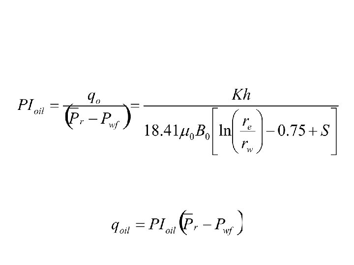
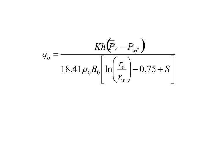
Удобнее пользоваться средним давлением в пласте. При этом формула Дарси примет вид:
Несовместимая вода
Профиль пластового давления Log (r)
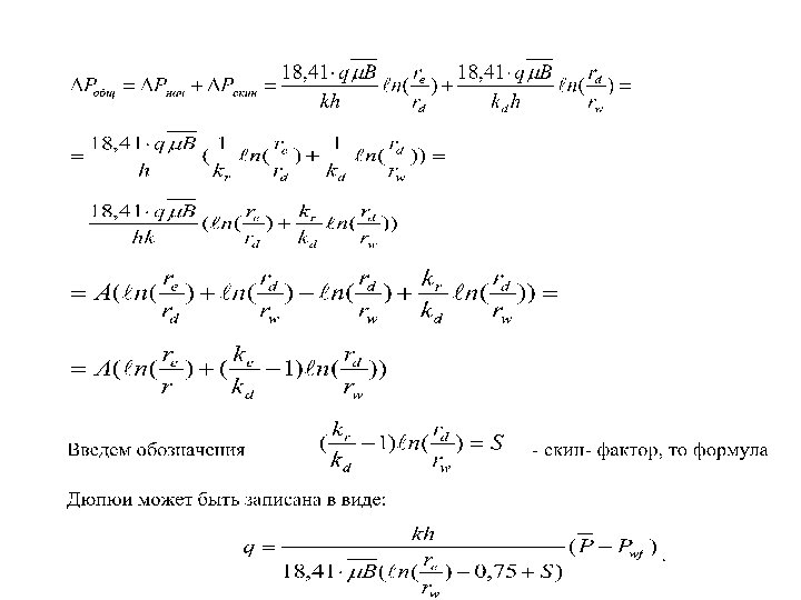
Используя концепцию скина как кольцеобразной зоны вокруг скважины с измененной проницаемостью, Хопкинс построил модель скважины, как показано на рисунке. Скин-фактор может быть вычислен с помощью свойств призабойной зоны.
h
Frac Pack Кислотная обработка
Радиальный пласт
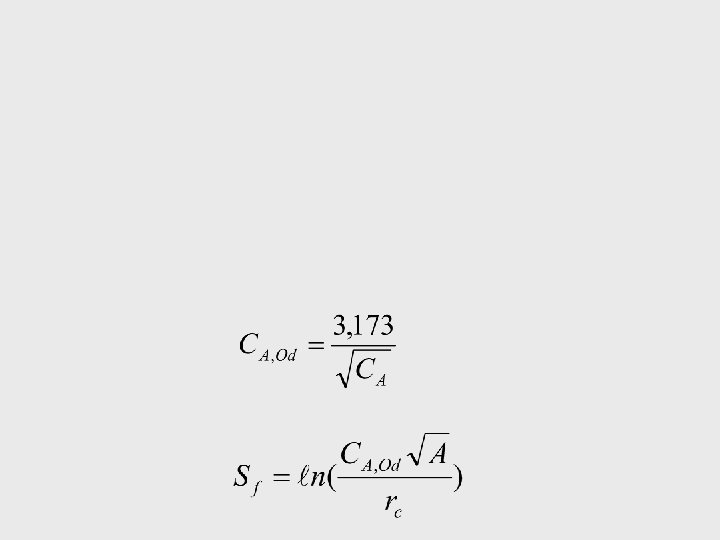
форм-фактор по Диетцу
форм-фактор по Одеху
Скин, вызванный формой пласта и расположением скважины по Феткович-Вьеноту
Скважина Краевая вода
Поскольку эффективная проницаемость зависит от флюидонасыщения, относительная проницаемость также является функцией флюидонасыщенности. Кривые относительной проницаемости (Киняминское месторождение)
0f63da22e53c85a97952445349c707df.ppt