Скачать презентацию Научно-практическая конференция Малой академии наук школьников г. Уфы Скачать презентацию Научно-практическая конференция Малой академии наук школьников г. Уфы

Копия Копия Метод Замены множителей для пр.ppt

  • Количество слайдов: 21

Научно-практическая конференция Малой академии наук школьников г. Уфы Секция: алгебра Исследовательская работа Научно-практическая конференция Малой академии наук школьников г. Уфы Секция: алгебра Исследовательская работа

Показательная функция , как известно, строго убывает при и строго возрастает при. Поэтому, в Показательная функция , как известно, строго убывает при и строго возрастает при. Поэтому, в частности для получаем Откуда

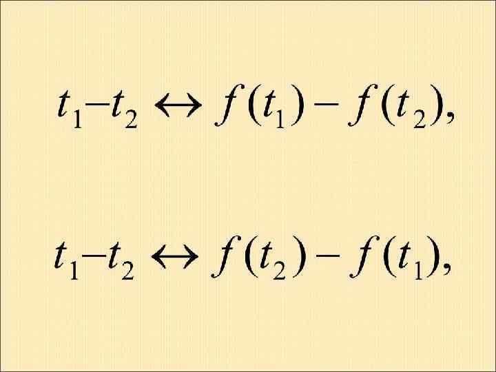
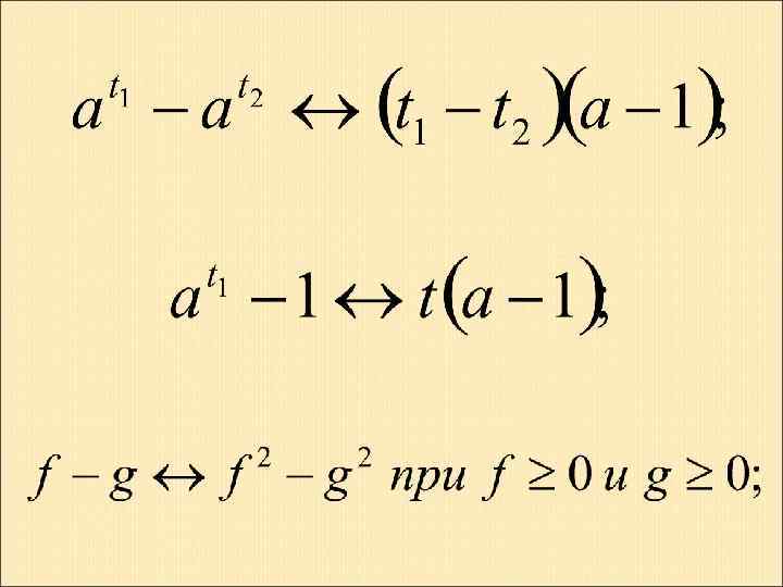
Функция - строго возрастающая. Поэтому Откуда соотношение (11) принимает вид Таким образом, мы установили, Функция - строго возрастающая. Поэтому Откуда соотношение (11) принимает вид Таким образом, мы установили, что разность степеней с одним и тем же основанием всегда по знаку совпадает с произведением разности показателей этих степеней на разность основания и единицы.

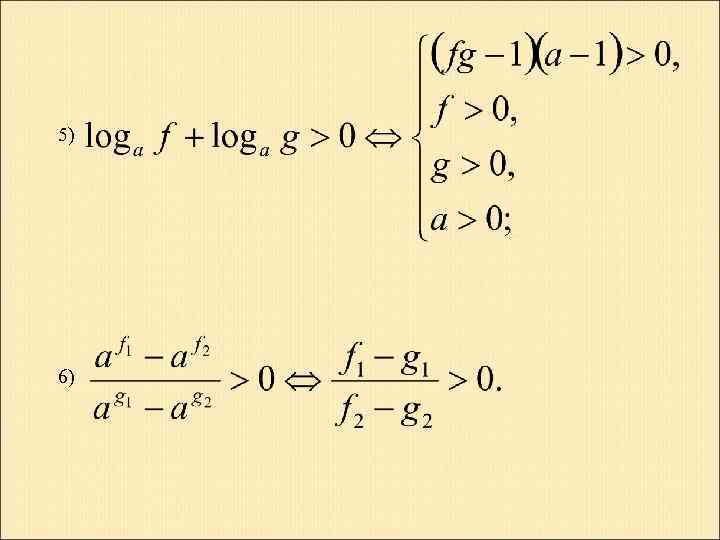
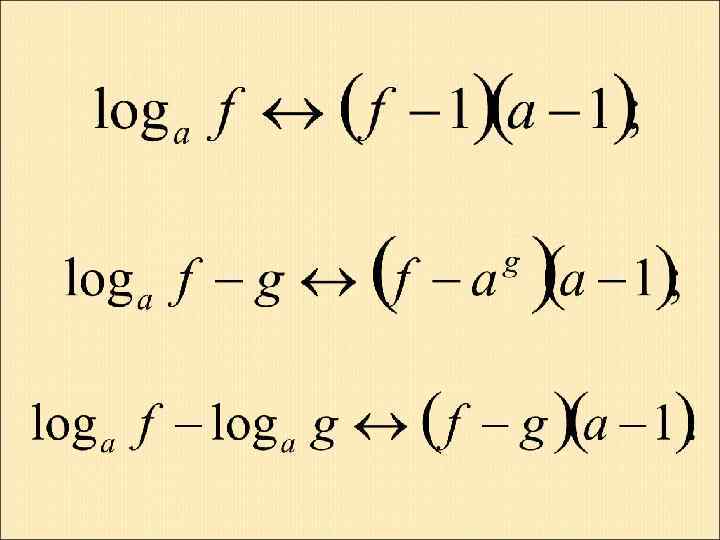
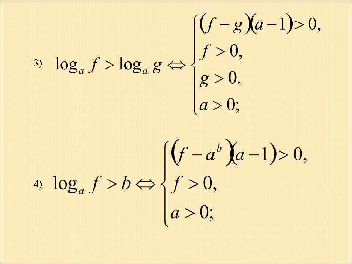
Для логарифмической функции устанавливаем аналогично Отсюда следует, что То есть разность логарифмов по одному Для логарифмической функции устанавливаем аналогично Отсюда следует, что То есть разность логарифмов по одному и тому же основанию всегда по знаку совпадает с отношением разности подлогарифмических выражений к разности основания и единицы:

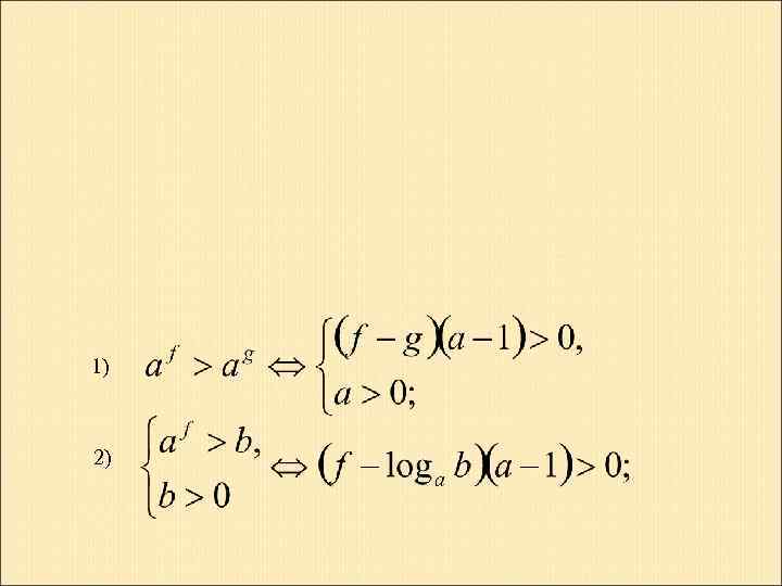
1) 2) 1) 2)

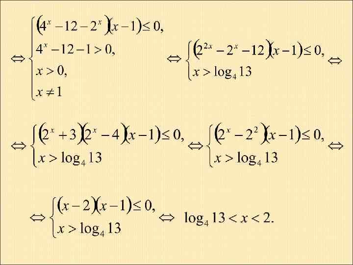
3) 4) 3) 4)

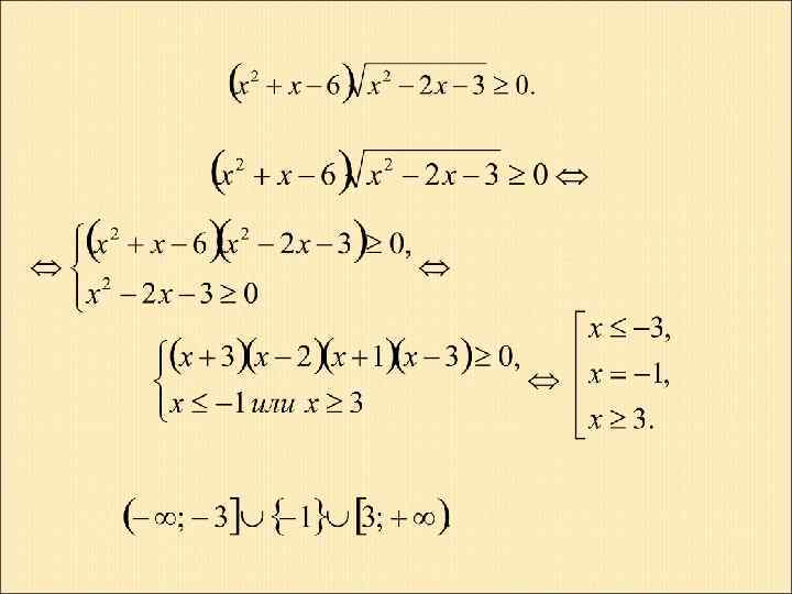
5) 6) 5) 6)