Zadachi_po_distsipline_MF.pptx
- Количество слайдов: 5
На основании представленных данных в таблице 1: 1. Провести структурно-динамический анализ ВВП и населения 2. Рассчитать объем ВВП на душу населения 3. Разбить исследуемые страны на группы по степени развитости рыночной экономики 4. Сделать аналитическое сравнение и выводы по полученным данным.
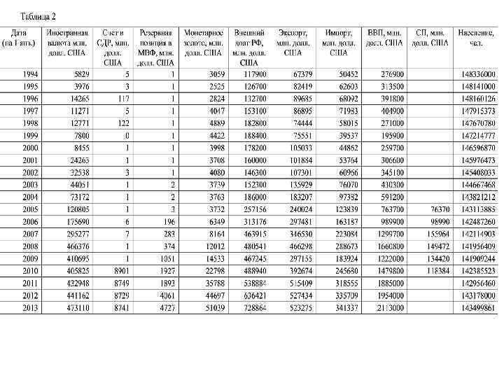
На основании представленных данных в таблице 2 рассчитать: 1. Валютные резервы. 2. Международные резервы (золотовалютные резервы). 3. Цепные темпы роста: внешнего долга, импорта, международных резервов. 4. Превышение резервов над суммой импорта. 5. Доля валютных резервов в общей их величине, % 6. Квд/э, Квдв/вп, НОД, МВЛ. 7. Внешний долг на душу населения, долл. США. 8. Отношение международных резервов и внешнего долга (ВР/ВД), %. 9. По результатам расчетов сделать соответствующие выводы.
Методические указания для решения задачи: Валютные резервы рассчитываются как сумма средств в иностранной валют, специальных права заимствования (СДР), резервной позиции в МВФ Международные резервы (золотовалютные резервы) рассчитываются как сумма валютных резервов и монетарного золота. Цепные темпы роста рассчитываются: Тpi=(yi/yi-1)*100% Квд/э=(ВД/Э)*100% Квдв/вп=(ВД/ВВП)*100% НОД = ( СП/Э)*100% МВЛ = (ЗВР / І) * 100%. Данные по СП (сумма платежей, которую страна должна выплатить иностранным государствам за определенный период) считать в период 20052010 гг.
Zadachi_po_distsipline_MF.pptx