Лекция 14. Работа, потенциал.ppt
- Количество слайдов: 11
Модуль 3 Лекция 14 1
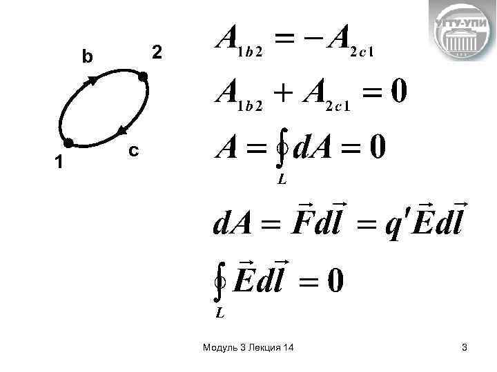
Работа сил электростатическо го поля не зависит от формы пути. Следовательно, электростатические, кулоновские силы консервативны, а электростатическое поле потенциально. Модуль 3 Лекция 14 2
2 b 1 c Модуль 3 Лекция 14 3
Потенциал электростатического поля в данной точке – скалярная физическая величина, характеризующая энергетическое состояние поля в этой точке и равная потенциальной энергии, которой бы обладал единичный положительный заряд, помещенный в эту точку: Потенциальная энергия Модуль 3 Лекция 14 4
Работа стационарных консервативных сил электростатического поля равна убыли потенциальной энергии перемещаемого заряда: Работа сил электростатического поля по перемещению заряда равна произведению величины этого заряда на разность потенциалов начальной и конечной точек пути. Модуль 3 Лекция 14 5
Пусть а Потенциал данной точки электростатического поля относительно некоторого уровня, условно принимаемого за нулевой, численно равен работе, совершаемой силами поля при перемещении пробного заряда из данной точки в точку этого уровня Модуль 3 Лекция 14 6
Модуль 3 Лекция 14 7
} Модуль 3 Лекция 14 8
Модуль 3 Лекция 14 9
- - + + + r 1 + r 2 + + - - - φ + + - φ1=const r Модуль 3 Лекция 14 10
0 - r 2 + + + + φ - r 1 0 r Модуль 3 Лекция 14 11
Лекция 14. Работа, потенциал.ppt