Математические задачи в ЭЭ Модели элементов.pptx
- Количество слайдов: 44
Модели элементов ЭЭС Математические задачи в ЭЭ
Введение Объект Восприятие Субъект Получение Знания Пополнение Формирование Мысленный образ Модель Воплощение
1. 1 Модель и Задача Вне контекста задачи или класса задач понятие модели не имеет смысла Задача позволяет определить ограничения и допущения в построении любой модели Фундаментальным свойством модели является простота по отношению к объекту
1. 2 Классификация моделей по классам задач (анализ, синтез, конструирование, проектирование, управление, утилизация и т. п. ); по области использования (учебные, опытные, научнотехнические, игровые, имитационные); по способу представления и др.
Способ представления модели
1. 3 Переменные в математических моделях по роли по отношению к объекту (входные, выходные, управляемые, неуправляемые); по подверженности случайным факторам (детерминированные, стохастические); по свойствам непрерывности и дискретности по способу получения (наблюдаемые, непосредственно измеряемые, косвенно измеряемые, количественно оцениваемые, ненаблюдаемые, принципиально ненаблюдаемые, технически ненаблюдаемые) Каждая переменная, связанная с материальным объектом, может изменять свои значения лишь в некоторых конечных пределах, которые обусловлены физическими свойствами объекта и характером решаемой задачи.
по свойствам непрерывности и дискретности
1. 4 Адекватность и эффективность математической модели Соответствие объекту-оригиналу Простота Экономичность Универсальность
1. 5 Свойства объектов моделирования Непрерывность и дискретность Стационарность и нестационарность Распределенность и сосредоточенность параметров Одномерные и многомерные объекты Статические и динамические объекты Виды физических объектов
Время внутренней памяти объекта Память Тип системы (объекта) Радиоэлектронные системы Механические и электромеханические системы (машины, агрегаты, генераторы и др. ) Крупные транспортные системы (суда, ж/д транспорт, нефте- и газопроводы) Крупные термические агрегаты (металлургические печи, котлы) Производственно-экономические системы Крупные производственно-экономические системы Крупные экосистемы, биосферные процессы Массовые социально-психологические явления (ценностные установки, убеждения, мировоззрения) Единица измерения Порядок с 10– 39… 10– с 10– 2 … 10 мин 1 … 10 ч 1 … 102 Месяцы 10– 1 … 10 Месяцы, годы – Годы, десятилетия – Столетия –
1. 6. Математические модели на микроуровне изменение во времени некоторой субстанции в элементарном объеме равно сумме притока-стока этой субстанции через поверхность элементарного объема где φ – некоторая фазовая переменная, выражающая субстанцию (плотность, энергию и т. п. ); J – поток фазовой переменной; G – скорость генерации субстанции; t – время.
1. 7. Моделирование на макроуровне переход от распределенных параметров к сосредоточенным – выделяются крупные элементы объектов и их параметры сосредоточиваются в одной точке Система Электрическая Механическая вращательная Тепловая Гидравлическая и пневматическая Фазовые переменные типа потенциала типа потока Электрическое Электрический ток напряжение Скорость Сила Вращательный Угловая скорость момент Температура Тепловой поток Давление Расход
1. 8. Моделирование на метауровне метауровень имеют математические модели, где вводятся еще большие допущения и упрощения, что позволяет получать доступные для исследования математические модели больших объектов и систем Существует несколько способов построения математических моделей на метауровне, к ним относятся: 1) дискретизация времени; 2) потери энергии в объекте не учитываются; 3) переход к факторным моделям; 4) переход к функциональным моделям, в которых используется только один вид фазовой переменной – сигнал; 5) эквивалентирование.
2. 1. Линия электропередачи Условное изображение распределения токов вдоль провода ЛЭП Свойства ЛЭП однородность непрерывность переменных; стационарность; одномерность в отношении пространства и многомерность в отношении переменных; • статизм или динамичность (в зависимости от исследуемых процессов); • линейность или нелинейность • •
2. 1. 2 Математическая модель линии с распределенными параметрами
Уравнения Кирхгофа для электрической цепи на выделенном участке линии или
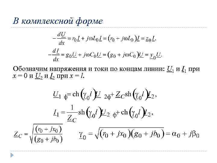
В комплексной форме Обозначим напряжения и токи по концам линии: U 1 и I 1 при x = 0 и U 2 и I 2 при x = l.
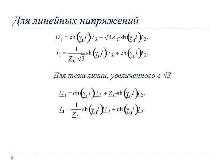
Для линейных напряжений Для тока линии, увеличенного в √ 3
Определение напряжения и тока в точке на линии
Прямая и обратная волны напряжение и ток в любой точке линии можно рассматривать как результат наложения двух волн, движущихся в противоположные стороны (прямой или падающей волны и обратной или отраженной волны)
Фазовая скорость волны - это скорость перемещения точки, фаза колебания в которой остается постоянной Линии с длиной l = λ = 6000 км называют волновыми, а с l = λ / 2 = 3000 км – полуволновыми линиями.
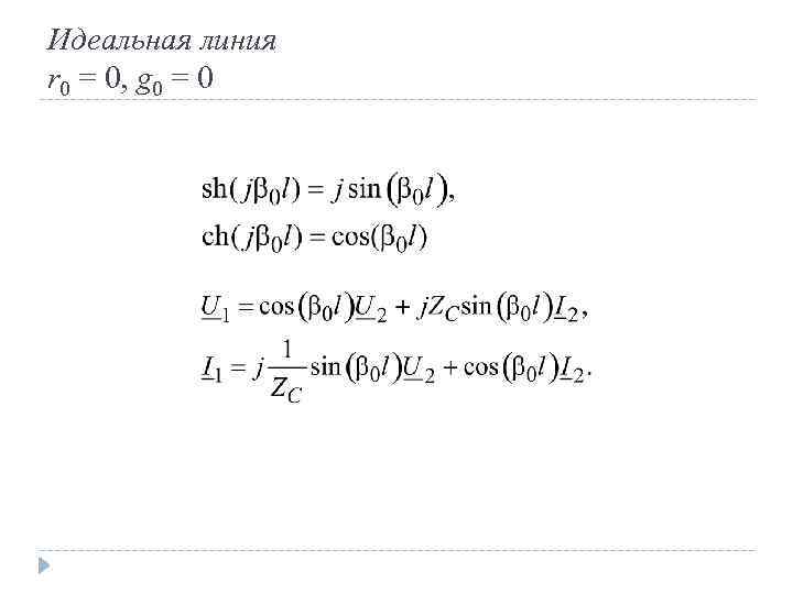
Идеальная линия r 0 = 0, g 0 = 0
2. 1. 3 Математические модели линии в виде схем замещения
П-образная схема замещения линии Для идеальной линии параметры П-образной схемы замещения получаются в виде
2. 1. 4. Упрощенные модели ЛЭП Когда длина линии l невелика, приближенно можно принять
Для П-образной схемы замещения Для совсем коротких линий
Коэффициенты четырехполюсника моделей ЛЭП Модель Уравнения длинной линии Уравнения идеальной линии A B C D Модель с сосредоточенными параметрами Побразной схемы замещения Модель с сосредоточенными параметрами Гобразной схемы замещения 1 1
2. 2 Силовой трансформатор Трансформатором называют статическое электромагнитное устройство, имеющее две (или более) индуктивно связанные обмотки и предназначенное для преобразования посредством электромагнитной индукции одной системы переменного тока в другую систему переменного тока. При этом число фаз, форма кривой напряжения (тока) и частота остаются неизменными.
Силовой трансформатор
2. 2. 1 Математические модели силового трансформатора
В комплексной форме
Полная Т-образная схема замещения трансформатора
Приведенная Т-образная схема замещения трансформатора
Г-образная схема замещения трансформатора
Сопротивления и проводимости Г-образной схемы замещения напряжение и ток первичной обмотки
2. 3 Электрическая нагрузка асинхронные двигатели, лампы накаливания, люминесцентные лампы, печи сопротивления, дуговые печи.
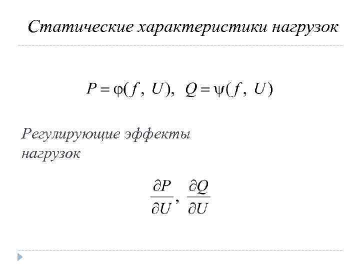
Статические характеристики нагрузок Регулирующие эффекты нагрузок
Средние статические нагрузки по напряжению для смешанной нагрузки Q* P*
2. 3. 2. Моделирование электрических нагрузок Средние статические характеристики примерно соответствуют следующему составу нагрузки, %: Крупные асинхронные двигатели Мелкие асинхронные двигатели Крупные синхронные двигатели Печи и ртутные выпрямители Освещение и бытовая нагрузка Потери в сетях 15 35 9 11 22 8
Значения коэффициентов b P и c. P Характер нагрузки Преобладают крупные промышленные предприятия В среднем Крупных промышленных предприятий нет Коэффицие нт мощности a. Q 0, 83… 0, 87 10 0, 88… 0, 90 11, 9 0, 91… 0, 93 14, 1 Статические характеристики пологие средние крутые b. P c. P 0, 3 0, 7 0, 6 0, 4 0, 9 0, 1 0, 4 0, 6 0, 9 0, 1 1, 4 – 0, 4 0, 9 0, 1 1, 2 – 0, 2 1, 5 – 0, 5 Значения коэффициентов a. Q, b. Q и c. Q Статические характеристики пологие средние крутые b. Q c. Q a. Q b. Q c. Q – 18 9 9, 6 – 15, 3 6, 7 10 – 14, 4 5, 4 – 21, 8 10, 9 11, 4 – 18, 5 8, 1 11, 9 – 17, 4 6, 5 – 26, 2 13, 1 13, 5 – 22, 2 9, 7 14, 1 – 21 7, 9
Схемы замещения нагрузки
При постоянной величине заданного сопротивления или проводимости Линейная модель при постоянной величине заданного сопротивления или проводимости При измеренных токах нагрузки
Математические модели электрических нагрузок Математические модели Статические характеристики нагрузки по напряжению Постоянные значения мощности нагрузки Схема замещения: Yн = Gн – j. Bн = = const Схема замещения: Zн = Rн + j. Xн = = const Постоянное значение тока нагрузки: Iн = const (φ = const) Мощность нагрузки Примечания Получаются по данным эксперимента или подбором типовых характеристик
Литература 1. 2. 3. Бернас С. , Цёк З. Математические модели элементов электроэнергетических систем М. : Энергоиздат, 1982. - 312 с. 2. Букреев В. Г. , Краснов И. Ю. , Старых А. А. Математическое моделирование элементов электротехники Учеб. Пособие/Том. политех. ун-т. Томск, 2006. - 179 с. Лыкин А. В. Математическое моделирование электрических систем и их элементов 2 -е изд. , перераб. и доп. – Новосибирск: Изд-во НГТУ, 2009. – 228 с.


