МКТ решение задач.ppt
- Количество слайдов: 20
МКТ Подготовка к контрольной работе.
ФОРМУЛЫ [кг/моль] k = 1, 38∙ 10 -23 Дж/К
В компрессоре воздух быстро подвергается сильному сжатию. Изменяется ли состав и размеры молекул? промежутки между молекулами?
Каким способом можно ускорить процесс засолки огурцов? Объясните это явление.
Воспользуйтесь таблицей Менделеева и определите молярную массу ацетилена С 2 H 2. Чему равна масса одной молекулы ацетилена в единицах СИ?
Дано: С 2 H 2 М-? m 0 - ? =4, 3∙ 10 -23 кг Ответ: 26 кг/моль; 4, 3∙ 10 -23 кг
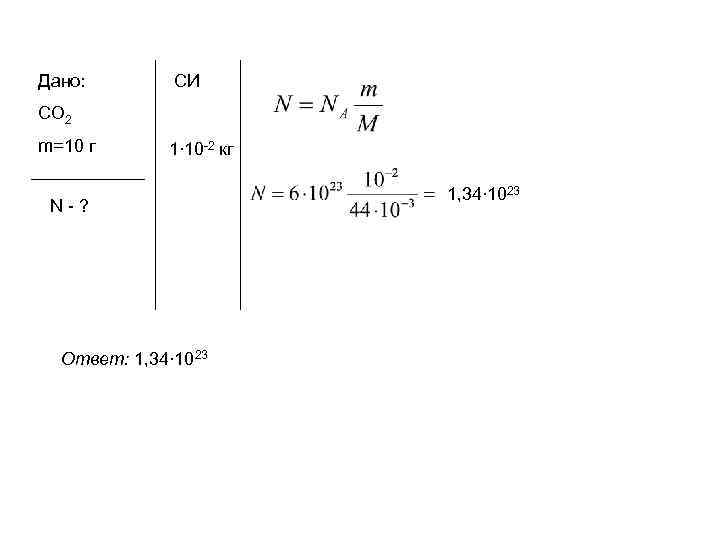
Сколько молекул содержится в 10 г углекислого газа?
Дано: СИ СО 2 m=10 г 1∙ 10 -2 кг N-? Ответ: 1, 34∙ 1023
Определите среднюю кинетическую энергию поступательного движения молекулы газа при температуре 1500 С.
Дано: Т=1500 С СИ 423 К _ Ек - ? Ответ: 8, 8∙ 10 -25 Дж
В сосуде вместимостью 2 л находится кислород при температуре 270 С и давлении 2∙ 105 Па. Определите массу кислорода в сосуде.
Дано: СИ О 2 V=2 л 2∙ 10 -3 м 3 Т = 27 0 С 300 К 0, 051∙ 10 -1 кг = p = 2∙ 105 Па =5, 1∙ 10 -3 кг m-? Ответ: 5, 1∙ 10 -3 кг
Баллон вместимостью 40 л содержит кислород массой 2, 6 кг. При какой температуре возникает опасность взрыва, если допустимое давление не более 50∙ 105 Па?
Дано: СИ О 2 V = 40 л 40∙ 10 -3 м 3 m = 2, 6 кг p = 50∙ 105 Па Т-? Ответ: 296 К
Объем воздуха в баллоне при температуре 170 С и давлении 5∙ 105 Па равен 8 л. Определите давление воздуха, если объем его уменьшился в 4 раза, а температура повысилась до 1270 С.
Дано: СИ Т 1=170 С 290 K Т 2=1270 С 400 К p 1=5∙ 105 Па V 1=8 л 8∙ 10 -3 м 3 V 2=1/4 V 2 2∙ 10 -3 м 3 m-? Ответ: 27, 6∙ 105 Па
Газ изотермически сжимают до объема 4 л до объема 2 л. При этом давление возрастает на 1, 5∙ 105 Па. Определите начальное давление газа.
Дано: СИ Т = const V 1 = 4 л 4∙ 10 -3 м 3 V 2 = 2 л 2∙ 10 -3 м 3 p 2 = p 1+ 1, 5∙ 105 Па p 1 - ? Ответ: 1, 5∙ 105 Па p 1 V 1 = p 2 V 2
Газ при температуре 170 С занимает объем 230 см 3. Определите объем этого газа при температуре 00 С. Процесс изобарный.
Дано: СИ p = const V 1 = 230 cм 3 230∙ 10 -6 м 3 Т 1 = 170 С 290 K Т 2 = 00 С 273 K V 2 - ? Ответ: 217∙ 10 -6 м 3
МКТ решение задач.ppt