16970ec61301aa7cd114a8c8a132fe45.ppt
- Количество слайдов: 31
Microeconomics Course E John Hey
Examinations • Go to http: //www. luiss. it/hey/microeconomia/esami. htm • Read http: //www. luiss. it/hey/microeconomia/detesen. htm • Check on Answer Sheet • Check on Aide/Memoire • Check on grids
Aide-Memoire
Grids 1
Grids 2
Example 2 of Exams Appello 2 Traccia 1 • • • 1 -4: demand supply 5 -7: Edgeworth Box 8, 9: inferring preferences 10, 11: competitive firm 12, 13: compensating and equivalent variations • 14, 15: risk • 16, 17: game theory
1 -4: demand supply • Consider a market for a hypothetical good in which there a number of buyers and sellers, each of which wants to buy or sell one unit of the good. Assume that a buyer who is indifferent about buying always buys and a seller who is indifferent about selling always sells. The reservation prices are given below, first for the buyers and then for the sellers. • Buyers: 6, 9, 10, 5, 8, 4, 8. Sellers: 2, 6, 5, 3, 4, 4, 3.
Question 1: What is the maximum total surplus generated in the market? (a) 28 (b) 23 (c) 22 (d) 25 Question 2: What is the maximum number of trades (not necessarily with the same price)? (a) 6 (b) 7 (c) 5 (d) 8 Question 3: What price would the buyers choose if they could? (a) 4 (b) 8 (c) 0 (d) 4 Question 4: What price would the sellers choose if they could? (a) 10 (b) 5 (c) 8 (d) 4
Questions 5 -7 • Consider, in an Edgeworth Box, exchange between two individuals, Individual A and Individual B, with preferences as specified below, endowed with two goods, Good 1 and Good 2. (Consider only competitive equilibrium in which at least one individual is better off compared to the initial position. ) • Individual A has Perfect Complement preferences with parameter a = 0. 5. Individual B has Perfect Substitute preferences with parameter a = 1. Total endowment of good 1 is 8 and that of good 2 is 6. • Individual A's endowment of good 1 is 0 and that of good 2 is 1.
Question 5: What is the competitive equilibrium price ratio? (a) 1. 00 (b) 1. 50 (c) 1. 33 (d) 3. 50 Question 6: What is the quantity exchanged of good 1 to reach the competitive equilibrium? (a) 4. 00 (b) 2. 00 (c) 3. 00 (d) 1. 00 Question 7: What is the quantity exchanged of good 2 to reach the competitive equilibrium? (a) 1. 00 (b) 1. 50 (c) 2. 00 (d) 3. 00
Questions 8 and 9 • • • In the next two questions you will be asked to consider an individual who has the following demands. You will be asked to infer his or her preferences, which will be either Perfect Substitutes with parameter a, Perfect Complements with parameter a, or Cobb-Douglas with parameter a. With income 10. 00 and at prices 1. 00 and 2. 00 the demands were 3. 33 and 3. 33. With income 20. 00 and at prices 1. 00 and 0. 50 the demands were 6. 67 and 26. 67. With income 20. 00 and at prices 2. 00 and 2. 00 the demands were 3. 33 and 6. 67. Question 8: What are the individual's preferences? Perfect Substitutes There is not enough information Cobb-Douglas Perfect complements Question 9: What is the value of the parameter a? 0. 25 0. 50 1. 00 0. 33
Questions 8 and 9 • Remember the following: • With PS preferences the individual (except in one special case) spends all his or her income on the relatively cheaper of the two goods and spends nothing on the other. • With PC preferences the ratio of the quantities q 2/q 1 bought is always equal to the parameter a. • With CD preferences the amount spent on Good 1 p 1 q 1 is always a fraction a of income.
Questions 10 and 11 • • • In the next two questions you will be asked to consider a competitive firm which has a cost function C(y) = a+ b*y + c*y^2 where a, b and c are given below. a = 20. 0, b = 0. 0, c = 1. 0. Suppose that the price of the firm's output is 40. Question 10: Determine the optimal output of the firm. 60. 00 40. 00 20. 00 Question 11: What is the firm's profit? 380. 00 800. 00 1, 619. 76
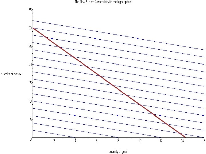
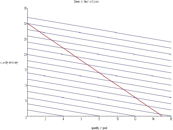
Questions 12 and 13 • • • In the next two questions you will be asked to evaluate the compensating and equivalent variations for an individual facing a price rise in the price of a good. The preferences of the individual over the good and money are stated below (note that the price of money is 1). The individual has Perfect Substitute preferences over the good and money with parameter a = 0. 50. The individual has income 30 and faces a price 2. 00 for the good. Suppose the price of the good rises by 0. 10. Question 12: What is the compensating variation? 0. 20 0. 30 0. 10 0. 00 Question 13: What is the equivalent variation? 0. 40 0. 20 0. 00 0. 30
Questions 14 and 15 • • • In the next two questions you will be asked to consider an individual, taking decisions under conditions of risk, with Expected Utility preferences and utility function u(x) = x^0. 5 (that is, the utility of x is the square root of x). Suppose the individual is faced with two lotteries P and Q as specified below. A lottery is denoted by (a, b; p, 1 -p) and means that the outcome is a with probability p and b with probability 1 -p. The lotteries are: P = (25, 16; 0. 25, 0. 75) Q = (1, 36; 0. 25, 0. 75) Question 14: Does the individual prefer P or Q? P Q We cannot say. The individual is indifferent Question 15: What is the individual's certainty equivalent for P? 27. 25 18. 25 22. 5625 18. 0625
Questions 16 and 17 • • • In the next two questions you will be asked to consider a game played simultaneously, and without communication between two players, 1 and 2, each of whom can choose one of two options A and B. The payoffs to the two players are given below, the first for Player 1 and then for Player 2. The order of the payoffs is AA, AB, BA, BB where XY indicates the outcome when Player 1 plays X and Player 2 plays Y. Player 1: 5, 1, 6, 8. Player 2: 10, 4, 8, 8. Question 16: Specify ALL the Nash Equilibria in pure strategies. There are not any AB BA BA BB Question 17: Specify ALL other outcomes (not a Nash Equilibrium) that Pareto dominate any of these. AA dominates BB BB e AA dominate AB BB dominates AA There are none
Tips! • Remember that you get 2 marks for a correct answer and lose 1 mark for an incorrect. • DO NOT GUESS! • Take coloured pencils and pens. • Take a rubber. • Do NOT apply MAGIC formulae. • Good Luck!!


