лк1_ УР_v1.ppt
- Количество слайдов: 80
Методы и средства моделирования ЭЭС
ЭЭС представляет собой совокупность отдельных элементов, в число которых входят силовые элементы, вырабатывающие, преобразующие, передающие, распределяющие и потребляющие электрическую энергию, элементы управления, автоматически регулирующие состояние системы. Во время работы системы все эти элементы взаимодействуют друг с другом. В любой момент времени они связаны единством процесса производства, передачи, распределения и потребления электрической энергии.
Режимы работы ЭЭС • нормальный установившийся, при котором значения параметров режима остаются неизменными или изменяются медленно и нерегулярно, в пределах, соответствующих нормальной работе элементов системы; • послеаварийный установившийся, наступающий, например, после аварийного отключения одного или нескольких элементов энергосистемы, после нарушения устойчивости работы последней из-за перегрузки с последующей ресинхронизацией;
Режимы работы ЭЭС • переходный, который имеет место при переходе от одного установившегося режима к другому и характеризуется относительно быстрым и резким изменением параметров режима.
Задачи, решаемые с использованием результатов расчёта установившихся режимов: • Определение пропускной способности (допустимых режимов связей между частями ЭС), разработка диспетчерских инструкций и оперативных указаний по ведению режимов. • Анализ электрических режимов на ближнюю и дальнюю перспективу для оценки надёжности, а также качества электроэнергии в ЭС и ОЭС (в т. ч. выявление узких мест по токовой загрузке оборудования, по покрытию баланса реактивной мощности и уровню напряжения).
Задачи, решаемые с использованием результатов расчёта установившихся режимов: • Разработка режимов в процессе формирования и корректировки торговых графиков конкурентного сектора ФОРЭМ. • Анализ потерь электроэнергии в сетях, разработка мероприятий по снижению потерь. • Задание исходных стационарных режимов для расчёта переходных электромеханических процессов.
Задачи, решаемые с использованием результатов расчёта установившихся режимов: • Задание режимных параметров для выбора настройки устройств РЗ, линейной и противоаварийной автоматики. • Обеспечение функционирования программных комплексов моделирования текущих электрических режимов по данным ТИ состояния сети.
Задачи, решаемые с использованием результатов расчёта установившихся режимов: • Обработка контрольных замеров потокораспределения в основной системообразующей сети, формирования на их основе базовых расчётных моделей ЭС и ОЭС (схем замещения для характерных условий работы)
Целью расчетов переходных процессов (ПП) является определение зависимостей различных режимных параметров от времени (токов, напряжений, углов сдвига векторов ЭДС генераторов, электрической мощности, частоты и др. ) после больших возмущений, причиной которых может быть КЗ, внезапное отключение ЛЭП, генераторов или трансформаторов, потеря возбуждения каким-либо из генераторов и синхронных компенсаторов.
Расчет переходного процесса приложении заданного возмущения состоит в совместном решении системы нелинейных алгебраических и дифференциальных уравнений с заданными начальными условиями. Поэтому программные комплексы для моделирования ПП, как правило, состоят из двух основных программ: 1) расчета УР для определения начальных значений переменных, интегрируемых в процессе расчета динамической устойчивости; 2) расчета ПП при больших возмущениях с возможностью моделирования действий противоаварийной автоматики (ПА).
Электромагнитные переходные процессы – это процессы изменения во времени электромагнитных параметров переходного режима без учета влияния на них изменения скорости вращения синхронных генераторов электроэнергетической системы. Изучение электромагнитных переходных процессов необходимо для решения таких задач, как расчет динамической устойчивости системы, точная синхронизация генераторов, большие качания роторов генераторов, исследование форсировок возбуждения и т. д.
Электромеханические переходные процессы – это процессы, при расчете которых учитывается относительное движение роторов электрических машин. Рассмотрение этих процессов требует одновременного изучения электромагнитного и электромеханического состояний системы. Изучение электромеханических переходных процессов необходимо как средство для получения представлений о мероприятиях, обеспечивающих благополучный исход аварийных режимов и устойчивую работу системы при малых возмущениях, происходящих в нормальных режимах.
Длительные переходные процессы отображают изменение среднего значения частоты при синхронной работе параллельно работающих генераторов энергосистемы. Расчет длительных переходных процессов позволяет решить такие задачи, как пуск генераторов, расчет возможности ресинхронизации, предотвращение несинхронных автоматических повторных включений линий электропередач и др.
Виды расчетов в электроэнергетики 1. Эксплуатационные расчеты • переработка оперативной информации; • определение допустимой области управления; • оптимизация режимов.
Определение допустимой области управления • расчеты потокораспределения установившихся режимов (УР); • определение статической устойчивости и ее запасов; • анализ электромеханических переходных процессов (определение динамической устойчивости), • исследование длительных переходных процессов, связанных с аварийными нарушениями балансов мощности, расчеты асинхронных режимов и т. п. ); • исследование электромагнитных переходных процессов (расчет токов к. з. , анализ самовозбуждения и др. ); • выбор настроек автоматических устройств противоаварийного управления и др.
Проектирование электроэнергетических объектов • выбор структуры генерирующих мощностей; • размещение электростанций и их развитие во времени; • выбор конфигурации сети: сравнение экономичности вариантов; • проведение оптимизационных расчетов экономически целесообразной • компенсация реактивной мощности; конструкторские расчеты проводов, опор и других сооружений, расчеты трасс ЛЭП;
• Планирование развития ЭЭС • Научно-исследовательская работа • Применение методов моделирования в АСУ
Методы моделирования • физическое моделирование; • математическое моделирование; • численное решение.
БЭСМ-6 - самая быстрая машина второго поколения в СССР
• ЕС-1022 – ЭВМ третьего поколения
Rastr. Win
КОСМОС
MUSTANG
Dakar
Anares
Eurostag
Некоторые важные характеристики ПК 1. Отсутствие ограничений по размерности модели Все программные комплексы 2. Возможности создания пользовательских моделей в виде конструктора Eurostag, Rustab 3. Доступность использования Мустанг – свободное распространение Остальные –коммерческие 4. Возможность Мустанг, Eurostag, Дакар, моделирования функций РЗ Анарэс, Rustab и ПА без ограничения числа узлов
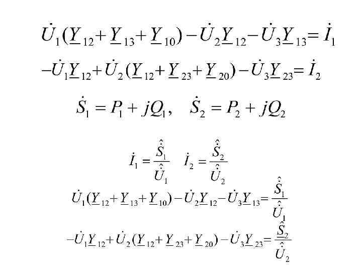
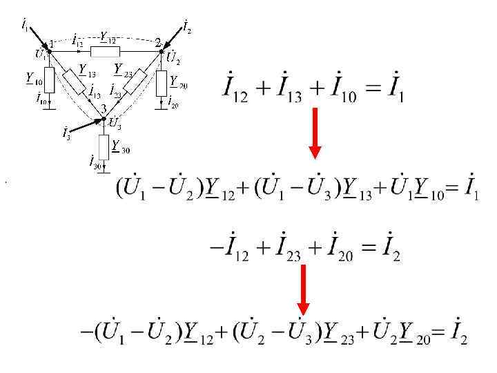
Метод узловых напряжений
,
Если рассчитываемая схема имеет n узлов, то она описывается (n – 1) уравнением в комплексной форме и 2(n – 1) уравнениями в действительной форме. Режим электрической сети будет полностью определен, если в каждом узле известны вещественная и мнимая составляющие напряжения (или модуль и фаза напряжения) и активная и реактивная мощности.
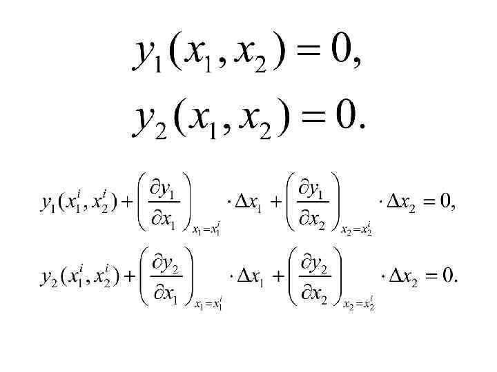
Краткие сведения о численных методах решения алгебраических уравнений
Модели элементов ЭЭС в расчетах УР
Схемы электрических систем и их элементы
Схемой замещения называют графическое изображение электрической цепи, показывающее последовательность соединения участков и отображающее ее свойства.
Пассивные элементы схем замещения (сопротивления и проводимости) создают пути для прохождения электрических токов. Поперечные пассивные элементы — это ветви, включенные между узлами схемы и нейтралью, т. е. узлом, имеющим напряжение, равное нулю (проводимости ЛЭП на землю, реакторы и конденсаторы, включенные на землю, потери в стали трансформаторов.
Продольные пассивные элементы — это ветви, соединяющие все узлы, кроме узла с напряжением равным нулю, т. е. продольные ветви не соединены с нейтралью (активное и индуктивное сопротивления ЛЭП, обмоток трансформаторов, емкостное сопротивление устройств продольной компенсации).
Активные элементы схем замещения — источники ЭДС и тока. Они определяют напряжения или токи в точках присоединения элементов к соответствующей цепи независимо от остальных ее параметров. Источники тока в расчетах электрических систем соответствуют генераторам электрических станций и нагрузкам потребителей. Именно в этих активных элементах генерируется и потребляется мощность
Узел
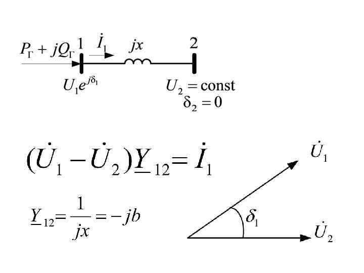
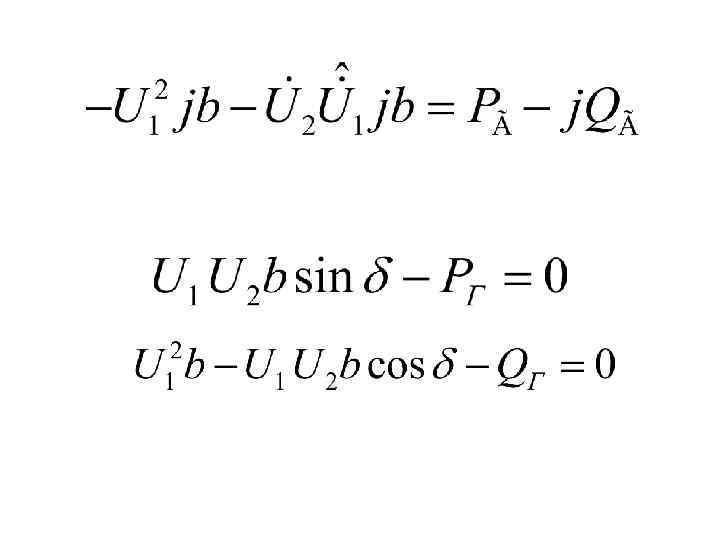
Типы узлов Балансирующий узел – это узел, балансирующий по мощности и базисный по напряжению. Для такого узла задаются модуль и фаза напряжения (фаза считается равной нулю) и рассчитываются активная и реактивная мощности.
Типы узлов Генераторный узел – имеет фиксированные модуль напряжения U и активную мощность Pг (PU -модель). Рассчитываемыми параметрами для него являются фаза напряжения и реактивная мощность Qг. Задание постоянного модуля напряжения при Qг = var соответствует реальным условиям работы генераторов, оборудованных регуляторами возбуждения, поддерживающими напряжение генератора примерно постоянным.
Типы узлов Нагрузочный узел – имеет фиксированные активную и реактивную мощности. Рассчитываемыми параметрами являются модуль и фаза напряжения узла.
Ветвь
Модели пассивных элементов схемы
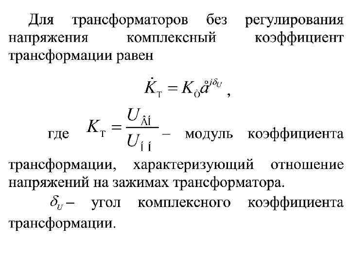
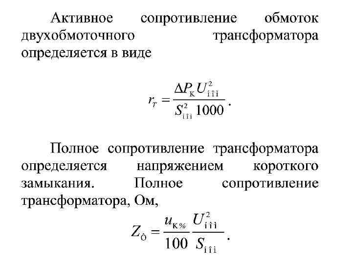
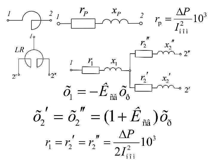
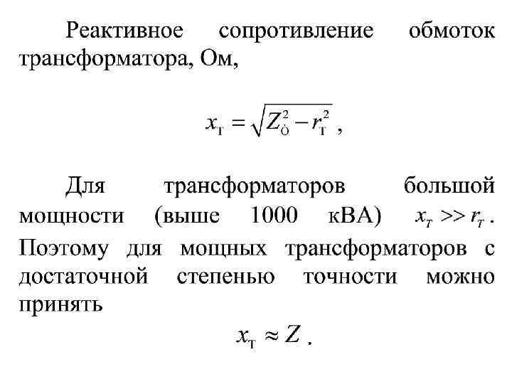
Двухобмоточный трансформатор
Трансформатор с расщепленной обмоткой
Трехобмоточные трансформаторы
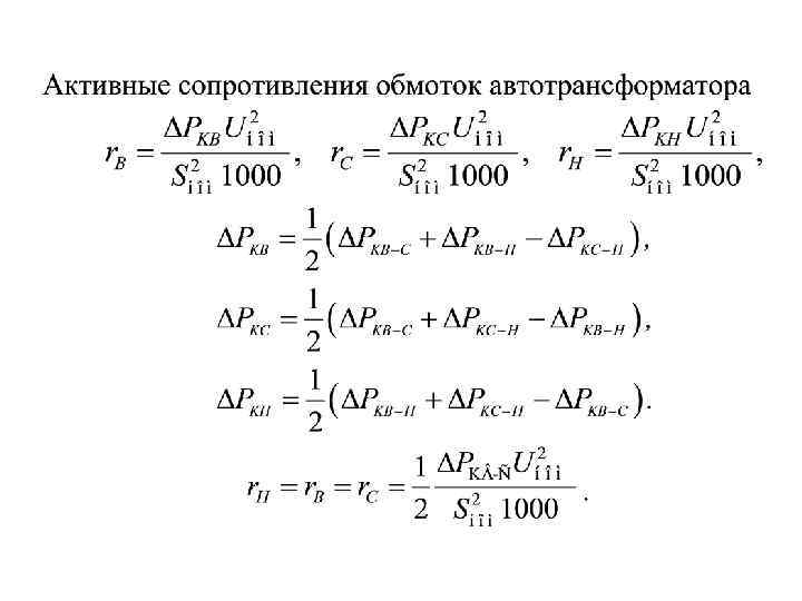
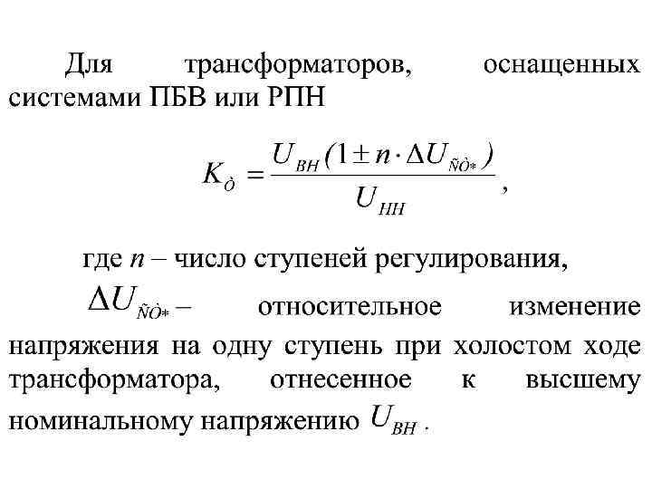
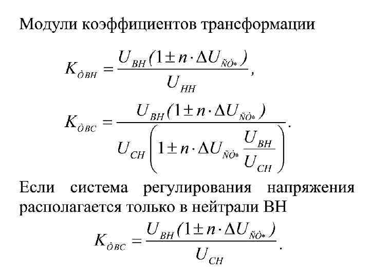
Автотрансформаторы
Линии электропередачи
Токоограничивающие реакторы


