Метод молекулярных орбиталей ( Линейная комбинация атомных

Скачать презентацию Метод молекулярных орбиталей ( Линейная комбинация  атомных Скачать презентацию Метод молекулярных орбиталей ( Линейная комбинация атомных

mmo_for_students.ppt

  • Размер: 383.5 Кб
  • Количество слайдов: 16

Описание презентации Метод молекулярных орбиталей ( Линейная комбинация атомных по слайдам

Метод молекулярных орбиталей ( Линейная комбинация  атомных орбиталей ) ММО (ЛКАО) Электроны принадлежат молекуле вМетод молекулярных орбиталей ( Линейная комбинация атомных орбиталей ) ММО (ЛКАО) Электроны принадлежат молекуле в целом. Вместо атомных орбиталей рассматриваются молекулярные орбитали.

В образовании химической связи могут участвовать как пара,  так и один электрон. Состояние электронов вВ образовании химической связи могут участвовать как пара, так и один электрон. Состояние электронов в молеку-лах соответствует принципам минимальной энергии, Паули и Гунда.

Молекулярные орбитали строятся из атомных орбиталей путем линейных комбинаций, т. е. путем сложения и вычитания волновыхМолекулярные орбитали строятся из атомных орбиталей путем линейных комбинаций, т. е. путем сложения и вычитания волновых функций. Из N атомных получают N молекулярных орбиталей.

При ЛКАО форму молекулярных орбиталей  можно предвидеть,  зная форму атомных орбиталей.  Во второмПри ЛКАО форму молекулярных орбиталей можно предвидеть, зная форму атомных орбиталей. Во втором периоде валентными электронами являются только s -, p x , p y , p z.

. св s * s Образование и . св s * s Образование и

Образование и. св p x * xp Образование и. св p x * xp

и. Образование. св p z * zp и. Образование. св p z * zp

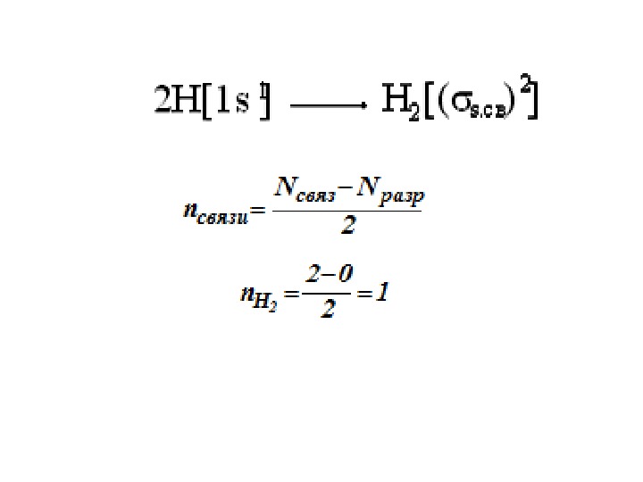
Из двух исходных АО получают две молекулярные орбитали: одну с меньшей энергией –связывающую   Из двух исходных АО получают две молекулярные орбитали: одну с меньшей энергией –связывающую и другую с большей энергией – разрыхля- ющую . .

разр s 1 св s 1  1 s 1 s. Е Энергетическая диаграмма молекулярного ионаразр s 1 св s 1 1 s 1 s. Е Энергетическая диаграмма молекулярного иона водорода . АО Н Н АО 2 Н 2 Н MO Парамагнит

Изоэлектронные частицы N 2 , CO, NO +  имеют одинаковый набор МО,  одинаковую энергетическуюИзоэлектронные частицы N 2 , CO, NO + имеют одинаковый набор МО, одинаковую энергетическую последовательность, заселенность электронами и одинаковый порядок связи

O 2 O

O 2 ( KK ) s 2 s * 2 p x 2  y 2O 2 ( KK ) s 2 s * 2 p x 2 y 2 z 2 y * 1 z * 1 Обозначение ( KK ) относится к внутренним электронам в O 2 N 2 ( KK ) s 2 s * 2 p x 2 y 2 z

Зарегистрируйтесь, чтобы просмотреть полный документ!
РЕГИСТРАЦИЯ