4 Кадры предприятия.ppt
- Количество слайдов: 28
МЭИ каф. ЭЭП ОРГАНИЗАЦИЯ ТРУДА И ЗАРАБОТНОЙ ПЛАТЫ НА ПРЕДПРИЯТИИ
МЭИ каф. ЭЭП Основы научной организации труда (НОТ) Основными направлениями НОТ на промышленных предприятиях являются: • рациональное разделение и кооперация труда • совершенствование и организация обслуживания рабочих мест • внедрение передовых приемов и методов труда • подготовка и повышение квалификации кадров • совершенствование нормирования труда • улучшение условий труда 2
МЭИ каф. ЭЭП Штатное расписание - документ, определяющий численность персонала с разделением по профессиям, квалификации, должностям 3
4 МЭИ каф. ЭЭП Классификация кадров По месту, занимаемому в процессе производства кадры предприятия делятся на: • кадры аппарата управления отраслью • кадры промышленных предприятий и производственных объединений • кадры научных и проектных организаций • кадры учебных заведений
МЭИ каф. ЭЭП По характеру выполняемых функций кадры предприятия делятся на: • промышленно-производственный персонал • непромышленный персонал. 5
МЭИ каф. ЭЭП Промышленно-производственный персонал подразделяется на: • эксплуатационный • ремонтный • административно-управленческий. 6
МЭИ каф. ЭЭП По характеру выполняемых работ персонал предприятия делится на: • рабочие • служащие • ИТР • МОП • различные ученики 7
МЭИ каф. ЭЭП По режиму работы персонал делится на: • сменный • несменный 8
МЭИ каф. ЭЭП Разделение и кооперирование труда Разделение труда – разграничение деятельности людей в процессе совместного труда Кооперирование труда - установление рациональных производственных связей между исполнителями и подразделениями 9
МЭИ каф. ЭЭП Норма - это количество какоголибо ресурса, которое необходимо затратить для качественного выполнения заданной (требуемой) работы в определенных организационнотехнических условиях 10
11 МЭИ каф. ЭЭП .
МЭИ каф. ЭЭП Организация оплаты труда персонала Заработная плата - доля работника в той части выпущенной и реализованной продукции и услуг, которая выплачивается рабочим и служащим в денежной форме Регулирование заработной платы осуществляется посредством технически обоснованных норм затрат труда, через систему оплаты труда 12
13 МЭИ каф. ЭЭП Системы оплаты труда • • Тарифная система Бестарифная система Система «плавающих окладов» Система оплаты труда на комиссионной основе
МЭИ каф. ЭЭП Тарифная система включает в себя: • тарифные ставки • тарифную сетку • тарифно-квалификационные справочники 14
15 МЭИ каф. ЭЭП Формы оплаты труда • повременная • сдельная
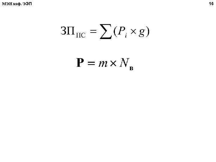
МЭИ каф. ЭЭП 16
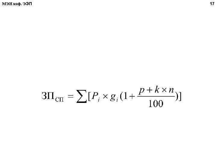
МЭИ каф. ЭЭП 17
МЭИ каф. ЭЭП ЗПпр = Vдн i (норматив) * Рц i + +(Vдн i (факт) – - Vдн i (норматив)) * Рц i * Кпрогрес. (>1) 18
МЭИ каф. ЭЭП ЗПсд пр = Vдн i * Рц i + Премия = =Рц i * Vдн i * Кпремии (>1) 19
МЭИ каф. ЭЭП 20
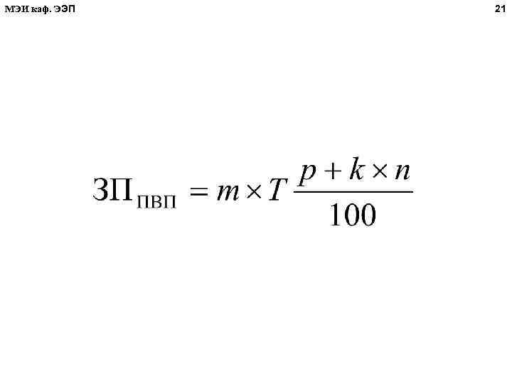
МЭИ каф. ЭЭП 21
22 МЭИ каф. ЭЭП ЗП = ЗП min бюдж(1 разр. ) * К тар. n-го разр.
23 МЭИ каф. ЭЭП ЗП ии, доплаты и т. д. min тарифно-окладная часть Квалификация
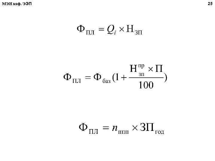
МЭИ каф. ЭЭП Планирование фонда зарплаты • Основная заработная плата • Дополнительная заработная плата 24
МЭИ каф. ЭЭП 25
26 МЭИ каф. ЭЭП Зсд = Р ·N · К Зпов = Н · Тст · К
МЭИ каф. ЭЭП 27
Спасибо за внимание
4 Кадры предприятия.ppt