Скачать презентацию МАТЕМАТИЧЕСКОЕ МОДЕЛИРОВАНИЕ Лекция 14 Конечно-разностные методы решения систем Скачать презентацию МАТЕМАТИЧЕСКОЕ МОДЕЛИРОВАНИЕ Лекция 14 Конечно-разностные методы решения систем

Мат мод 14-к.р.противоток.ppt

  • Количество слайдов: 18

МАТЕМАТИЧЕСКОЕ МОДЕЛИРОВАНИЕ Лекция 14. Конечно-разностные методы решения систем уравнений, описывающих нестационарные режимы работы двухпоточного МАТЕМАТИЧЕСКОЕ МОДЕЛИРОВАНИЕ Лекция 14. Конечно-разностные методы решения систем уравнений, описывающих нестационарные режимы работы двухпоточного противоточного теплообменника.

 Начальные условия: , Граничные условия общего вида будут иметь следующий вид: Начальные условия: , Граничные условия общего вида будут иметь следующий вид:

Явная конечно-разностная схема имеет вид: Явная конечно-разностная схема имеет вид:

Граничное условие: Начальные условия: Граничное условие: Начальные условия:

Схема устойчива при выполнении условия: Погрешность аппроксимации первого порядка: Схема устойчива при выполнении условия: Погрешность аппроксимации первого порядка:

Из конечно-разностных уравнений получаются следующие выражения для определения неизвестных значений температур потока и стенки: Из конечно-разностных уравнений получаются следующие выражения для определения неизвестных значений температур потока и стенки:

Неявная конечно-разностная схема имеет вид: Неявная конечно-разностная схема имеет вид:

В случае условий: независимых граничных , T 1(0)=T 10 T 2(1)=T 20 т. е. В случае условий: независимых граничных , T 1(0)=T 10 T 2(1)=T 20 т. е. известных значений

преобразовывая: преобразовывая:

преобразовывая: преобразовывая:

Из конечно-разностного аналога уравнения энергетического баланса для стенки выражается: Из конечно-разностного аналога уравнения энергетического баланса для стенки выражается:

Подставляя в конечно-разностные уравнения теплового баланса потоков: Подставляя в конечно-разностные уравнения теплового баланса потоков:

После преобразований получается: После преобразований получается:

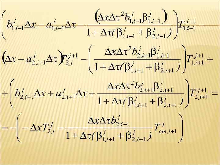
В результате, с учётом независимых граничных условий получается система линейных алгебраических уравнений: В результате, с учётом независимых граничных условий получается система линейных алгебраических уравнений:

Данная система решается с помощью метода прогонки на каждом шаге по времени. Если заданы Данная система решается с помощью метода прогонки на каждом шаге по времени. Если заданы граничные условия общего вида, то решение системы линейных алгебраических уравнений получается общими матричными методами.

СПАСИБО ЗА ВНИМАНИЕ! СПАСИБО ЗА ВНИМАНИЕ!