МА_производ_2013.ppt
- Количество слайдов: 171
Математический анализ. Введение • Основные дидактические единицы: числа, множество, последовательность, функция, линейная зависимость, формы, предел, непрерывность (функции), производная, интеграл.
Математический анализ. Введение • Основная идея математического анализа- изучение функций и приближение функций линейными формами. Основными объектами изучения являются: функции, множества, числа, последовательности. • Анализ начал свое торжествующее шествие начиная с 17 века, но несколько поколений математиков подготовило это событие. • Предыстория анализа восходит к древности и здесь неоценим вклад
Математический анализ. Введение • Архимеда. До нас дошло «Послание Архимеда к Эратосфену» , в котором прослеживается мысль о составлении плоских фигур из множества линий. Однако математикам 17 в. этот труд не был известен, его случайно обнаружили в начале прошлого века. • Итак, в Древней Греции уже в пятом веке до н. э. решались задачи вычисления площадей фигур, объемов тел. Был разработан т. н. метод неделимых, применявшийся со времен Демокрита.
История открытия дифференциального исчисления • Таким образом, предшественниками математического анализа были античный метод исчерпывания (и метод неделимых). Все три направления, включая анализ, роднит общая исходная идея: разложение на бесконечно малые элементы. Алгебраический подход (исчисление бесконечно малых) начинает появляться у Валлиса, Джеймса Грегори и Барроу. В полной мере новое исчисление как систему создал И. Ньютон, который, однако, долгое время не публиковал свои открытия.
Исаа к Нью тон [1643 — 1727] автор фундаментального труда «Математические начала натура. ИСльной философии»
• Официальной датой рождения дифференциального исчисления можно считать май 1684, когда Готфрид Лейбниц опубликовал первую статью «Новый метод максимумов и минимумов…» Эта статья в сжатой и малодоступной форме излагала принципы нового метода, названного дифференциальным исчислением.
• В конце XVII века вокруг Лейбница возникает кружок, виднейшими представителями которого были братья Бернулли, Якоб и Иоганн, и Лопиталь. В 1696, используя лекции И. Бернулли, Лопиталь написал первый учебник по новой дисциплине. Он назвал его «Анализ бесконечно малых» , дав тем самым и одно из названий новому разделу математики. В основу изложения положено понятие переменных величин, между которыми имеется некоторая связь, из-за которой изменение одной влечет изменение другой.
Готфрид Вильгельм фон Лейбниц [1646 -1716]
ТЕОРИЯ ПРЕДЕЛОВ • Большой вклад в построение теории пределов внесен трудами О. Коши, Б. Больцано, К. Вейерштрассом (о них будет сказано ниже). • Если кратко определять что такое предел, - то предел есть число.
ТЕОРИЯ ПРЕДЕЛОВ • Понятие предела, для простоты понимания и изложения материала, мы дадим вначале для дискретных значений переменной величины, имеющих специальное наименование — числовая последовательность.
• Если по некоторому закону каждому натуральному числу n поставлено в соответствие действительное число хn, то множество действительных чисел х1, х2, …, хn, . . . называется числовой последовательностью или просто последовательностью. Сокращенно последовательность обозначается символом {хn}. Другими словами – последовательность – функция целочисленного аргумента.
• Числа хi — называются элементами числовой последовательности, а число хn называется общим или n-ым членом этой последовательности. Отсюда видно, что если за хn принять значение функции f(x) при х = n, то последовательность {хn} можно рассматривать как функцию натурального аргумента: • хn = f(n).
• БЕСКОНЕЧНО МАЛЫЕ • Начнем с рассмотрения понятия бесконечно малой. Рассмотрим последовательность вида хn =1/n Другими словами – это числовая последовательность вида
• Эта последовательность стремится к нулю. • Рассмотрим еще числовую последовательность • Придавая n последовательно значения 1, 2, 3, и т. д. , мы получим числовую последовательность
• Заметим, что члены последовательности с увеличением порядкового номера элемента увеличиваются по величине, оставаясь меньше единицы. Причем, разность между числом 1 и членами последовательности с увеличением порядкового номера может быть меньше любого наперед заданного числа. • Для доказательства сделанного утверждения найдем модуль разности между найденными значениями и числом один для некоторого порядкового номера.
• Например, возьмем значения сотого • (f (100)) и сто первого (f (101)) элементов • Найдем модуль разности между найденными значениями и числом один:
• Отсюда заключаем, что расстояние между 101 -ым членом и числом 1 меньше, чем расстояние от 100 -го элемента до числа 1, так как • Очевидно, с ростом порядкового номера n расстояние от числа 1 до члена последовательности становится все меньше и может быть меньше любого наперед заданного сколь угодно малого положительного числа .
• Действительно, задавшись наперед числом , найдем номер элемента последовательности, начиная с которого, для всех последующих членов этой последовательности будет выполняется неравенство • Так как
• Отсюда • Таким образом, мы нашли, каким должно быть n по заданному , чтобы выполнялось наше неравенство. • Если, например, = 0, 01, тогда из неравенства следует, что номер члена последовательности должен превосходить число
• т. е. , начиная с сотого члена расстояние между числом 1 и членом последовательности будет меньше, • чем = 0, 01. Если же = 0, 001, то из неравенства • • следует, что n > 999, т. е. , начиная с тысячного члена, расстояние между членами последовательности и числом 1 будет меньше, чем 0, 001. Далее следует, что расстояние
между членами последовательности и ее пределом — числом 1 при n становится меньше любого наперед заданного положительного числа, т. е. стремится к нулю, или, можно сказать (определение предела): каково бы ни было наперед заданное сколь угодно малое положительное число >0 всегда найдется такой элемент последовательности, начиная с которого, для всех последующих членов последовательности будет выполняться неравенство: •
|f(n)-a|< в нашем случае а=1 |f(n)-1|<
Определение предела • Последовательность, удовлетворяющая этому условию называется сходящейся, а число а – пределом последовательности (в нашем случае а=1). Этот факт записывается так
• Для нашего случая можно записать • Число а — называется пределом вещественной переменной х, если, как мы знаем, для любого сколь угодно малого наперед заданного положительного числа > 0 существует такое значение х, начиная с которого, для всех остальных значений x выполняется неравенство х – а < .
• Символически этот факт записывается так: • Из определения предела переменной величины х следует, что, начиная с некоторого значения, для всех остальных значений х выполняются неравенства – < x – a < • или a – < x < a + , т. е. все эти остальные значения х находятся в — окрестности точки а (a – , a + ). • Из определения предела последовательности следует, что предел постоянной величины есть эта постоянная величина.
• СВОЙСТВА • 1. Если последовательность при n имеет конечный предел, то эта последовательность ограничена и сверху, и снизу. • 2. Последовательность не может иметь двух различных пределов, т. е. если последовательность имеет предел, то этот предел единственный
• Признаки существования предела • Последовательность называется монотонно возрастающей, если из неравенства n > N следует строгое неравенство • и монотонно убывающей, — если . • Аналогично для нестрогого. • Теорема 1. Если последовательность монотонно возрастающая (или убывающая) и ограничена сверху, например, числом M (или ограничена снизу, например, m), то последовательность имеет предел, меньший или равный М (больший или равный m).
• Теорема 2. Если последовательности и имеют один и тот же предел, • а для членов последовательности , начиная с некоторого члена , выполняются неравенства • то последовательность имеет тот же предел. • Все перечисленные свойства для числовой последовательности, целиком можно перенести и на переменную x.
БЕСКОНЕЧНО МАЛЫЕ и БЕСКОНЕЧНО БОЛЬШИЕ
• Бесконечно малые и бесконечно большие величины • Переменная величина x называется бесконечно малой величиной (б. м. в. ), если она имеет своим пределом число нуль или для любого наперед заданного сколь угодно малого положительного числа > 0 найдется такое значение x, начиная с которого, для всех остальных ее значений будет выполняться неравенство • • Пример. Последовательность 1/n – б. м.
• Свойства бесконечно малых величин. • Теорема. Алгебраическая сумма конечного числа б. м. в. есть величина бесконечно малая. • Под алгебраической суммой понимается сумма или разность выражений.
• Теорема 2. Произведение бесконечно малой величины на ограниченную переменную величину есть величина бесконечно малая. • Следствие 1. Произведение бесконечно малой величины на постоянную • величину есть величина бесконечно малая. • Следствие 2. Произведение любого числа бесконечно малых величин есть величина бесконечно малая.
• Теорема 3. Если — б. м. в. , а переменная х имеет предел, отличный от нуля, то — б. м. в. , т. е. частное • от деления б. м. в. на переменную, имеющую предел, отличный от нуля, есть б. м. в. • Порядок бесконечно малой
Бесконечно большие величины и их связь с бесконечно малыми • Переменная величина х называется бесконечно большой величиной (б. б. в. ), если для любого наперед заданного сколь угодно большого числа найдется такое значение переменной х, начиная с которого, для всех остальных ее значений выполняется неравенство . • Этот факт записывается так:
• Очевидно, что для случая нескольких бесконечно больших (для переменных х1, х2, …хn выполняется хi ) их суммы хi (абсолютных величин) будут б. б. • Теорема 4. Если — б. м. , а х — б. б. , то • 1) — б. м. ; 2) — б. б. ; • 3) — б. м. • 4) - неопределенность
Расходящаяся последовательность • Последовательность хn =(-1)n не сходится ни к какому числу, и называется расходящейся.
• § 4. Основные теоремы о пределах. • Теорема 1. Если переменная величина х имеет предел, равный действительному числу а, то, начиная с некоторого значения х, для всех остальных значений этой переменной будет выполняться равенство: • x = a + (1) • где — б. м. в.
• Теорема 2. Если • - свойство аддитивности ; • Следствие 1. Постоянный множитель можно выносить за знак предела, если предел существует (однородность): •
• Следствие 2. Предел степени переменной, имеющей предел, равен той же степени от предела переменной, т. е. • Следствие 3. Предел корня n-ой степени от переменной, имеющей предел, равен корню n-ой степени от предела этой переменной, т. е. •
• Следствие 1. Если • если существует отличный от нуля.
• Следствие 2. Если , то • если существует и • Пример 1.
Неопределенности • Рассмотрим случай, когда числитель и знаменатель дроби стремятся к нулю при стремлении х к фиксированной точке (стремление не означает равенство).
• Пример 1. • Такие пределы называются неопределенностями вида . • Для обозначения полученной неопределенности и других видов неопределенностей вводится следующая символика:
Решение: Пример 2. Пример 3.
• Непрерывность функции. • Функция называется непрерывной • в точке х = а, если она определена как в точке х = а, так и в некоторой ее окрестности; для произвольного найдется такое , что для всех x, удовлетворяющих неравенству • , будет выполняться • неравенство
• Непрерывность. Точки разрыва функции. • Из условий непрерывности функции в точке следует, что: • функция должна быть определена как в самой точке, так и в некоторой ее окрестности; • должны существовать односторонние пределы функции справа и слева в этой точке; • односторонние пределы должны быть равны между собой; • односторонние пределы равны значению функции в этой точке.
• Если не выполняется хотя бы одно из условий непрерывности, то функция называется разрывной в точке. Наименование разрыва функции в точке зависит от того, какое из условий 1– 4 не выполняется. • К точкам разрыва первого рода относятся точки, для которых односторонние пределы существуют, но не выполняются условие 3 и 4 (такая точка называется точкой разрыва первого рода). Если не выполняется только 4 -е условие – то точка устранимого разрыва.
• Иногда применяют такой термин, когда существуют односторонние пределы, но они не равны между собой, то говорят, что точка разрыва с конечным скачком.
Точка разрыва второго рода • Пример 2. функция не имеет предела в нуле, т. е. нуль – точка разрыва второго рода.
Теорема Больцано-Коши • Существует ряд теорем, связанных с понятием непрерывности функции. Прямое определение непрерывности соответствует нашей интуиции, • Но требуется нечто конструктивное.
Бернгард Больцано [1781 -1848] • Живя в уединении (около Праги), он деятельно занимался литературой, математикой, но благодаря австрийской цензуре далеко не все увидело свет. В богословии он был рационалистом, а в философии большею частью не шел дальше Лейбница. Многие его сочинения еще до сих пор не напечатаны.
• Свойства функций, непрерывных на замкнутом интервале. • Первая теорема Больцано-Коши. Если функция определена и непрерывна на отрезке [a, b] и на концах отрезка принимает значения разных знаков, то внутри отрезка [a, b] найдется по крайней мере хотя бы одна точка х=с, где значение функции равно нулю:
• Теорема имеет простой геометрический смысл: непрерывная линия, имеющая концы по разные стороны оси Ох, непременно пересечет ось Ох хотя бы один раз.
• Вторая теорема Больцано-Коши. Если функция определена и непрерывна на отрезке [a, b] и на концах отрезка принимает различные значения • то каково бы ни было , находящееся между А и В • найдется такая точка , что
• Следствие. Если функция определена и непрерывна в каком-либо промежутке Х (замкнутом или нет, конечном или бесконечном), то принимаемые ею значения сами также заполняют сплошь некоторый промежуток.
Теорема Вейерштрасса • Теорема Вейерштрасса связана с ограниченностью функции.
Карл Те одор Ви льгельм Ве йерштрасс [1815 -1897] • Ве йерштрасс— выдающийся немецкий математик, «отец современного анализа» . Его исследования существенно обогатили математический анализ, теорию специальных функций, вариационное исчисление и линейную алгебру. До Вейерштрасса строгих оснований математического анализа фактически не существовало. Даже Коши, который впервые ввёл стандарты строгости, многое молчаливо подразумевал. Не было теории вещественных чисел — превосходная статья Больцано (в 1817 г) осталась незамеченной. Важнейшее понятие непрерывности использовалось без какого-либо определения. Отсутствовала полная теория сходимости. Как следствие, теоремы содержали ошибки, нечёткие формулировки.
Теорема Вейерштрасса • Первая теорема Вейерштрасса. Если функция определена и непрерывна в замкнутом промежутке [a, b], то она ограничена и снизу, и сверху.
• Теорема. Если функции определены и непрерывны в • замкнутом промежутке [a, b], то определены и непрерывны функции • • (последнее справедливо при условии, что ).
Важные примеры • Имеется несколько важных примеров пределов, которые необходимо запомнить – первый и второй замечательные пределы.
• Первый замечательный предел • Неопределенность вида • имеет один особенный предел, называемый первым замечательным пределом: • Пример 1.
• Пример 2. • Пример 3
• Второй замечательный предел. • Среди неопределенностей вида • существует предел, играющий исключительную роль в высшей математике, называемый вторым замечательным пределом … • Иррациональное число • е=2, 7182845904523536… • называется числом Непера или Эйлера.
• Если в последнем равенстве сделать замену , то получим
• Пример 1.
• Пример 2.
Бесконечно малые более высокого порядка • Если f(x) 0, g(x) 0 и f(x)/g(x) 0 , то говорят, что f имеет более высокий порядок малости и пишут f=o(g), читается « о малое от g» .
Производная и дифференциал функции
От предела к производной lim F’(x)
Понятие производной Задача Лейбница о касательной Задача Ньютона о скорости Задача о производительности труда Производная
Изучив данную тему, вы усвоите геометрический, механический, экономический смысл производных.
Задачи, приводящие к понятию производной Производная — одно из основных понятий математического анализа. Все процессы, рассматриваемые в динамике, непременно содержат производные основных характеристик процесса. Рассмотрим касательную к гладкой плоской линии L в некоторой ее фиксированной точке. Пусть М – произвольная точка этой линии. Возьмем по обе стороны от т. М произвольные точки Аi и Вi. Построим секущие Аi М, и MВi.
При стремлении точек Аi и Вi к точке М вдоль линии L секущие вращаются вокруг точки М и в пределе (при n ) секущие примут некоторые предельные положения МТ (см. рис. ) Это предельное положение секущих и называется касательной к плоской линии L в точке М и обозначается Т.
Построение касательной Заметим, что в пределе секущая МТ имеет с плоской гладкой линией L единственную общую точку, называемую точкой касания (M)
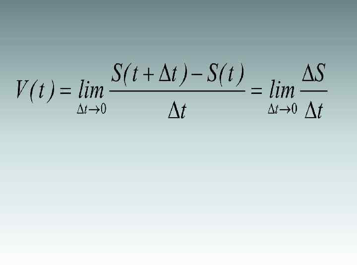
Задача Ньютона о мгновенной скорости • Вначале определим понятие мгновенной скорости. Пусть материальная точка (тело) движется c произвольной скоростью. Пусть в момент времени t тело находилось в точке А(t) , а в момент времени t+ t тело находилось в точке A 1(t+ t). Очевидно, пройденный телом путь является функцией времени. Пусть эта зависимость выражается расстоянием между точкам - функцией S(t). Обозначим пройденный путь телом за время t как S(t). За величину мгновенной скорости V(t) тела в момент времени t принимается предел
Задача об отыскании мгновенной скорости свелась к вычислению предела отношения приращения функции S к приращению аргумента t, когда последнее стремится к нулю.
Задача о производительности труда Пусть функция u(t) выражает количество произведенной продукции u за время t и необходимо найти производительность труда z. Обозначим количество произведенной продукции за период времени от t до t+ t как u. Тогда производительность труда в момент t можно определить как предел отношения количества произведенной продукции u за период времени t к отрезку времени t, при стремлении t к нулю:
Рассматривая различные по характеру задачи мы пришли к пределу одного вида. Этот предел играет чрезвычайно важную роль в математическом анализе, являясь основным понятием дифференциального исчисления.
Пусть на отрезке [a; b] задана функция у = у(x). Пусть x 0 произвольная внутренняя точка этого отрезка, а у0 = у(x 0). Придадим переменной х такое небольшое приращение х, чтобы не выйти за пределы заданного отрезка [a; b]. Обозначим через у приращение функции у=у(х0 + х)-у(х0). Производной функции у = у(x) в точке х=х0 называется конечный (или бесконечный) предел отношения приращения функции к приращению аргумента, когда последнее стремится к нулю:
Символически производная от функции у = f(x) обозначается по Лагранжу с помощью штриха у’(x) или f’(x), либо по Лейбницу:
• Если функция у = f(x) имеет производную в произвольной точке х некоторого множества значений Х области определения функции у = f(x), то функция у = f(x) называется дифференцируемой на этом множестве Х.
Уравнение касательной • На основании введенного определения и рассмотренных нами задач, приводящих к понятию производной, заключаем, что уравнение касательной к графику функции в точке с абсциссой х=х0 (у0 = у(x 0)) имеет вид: • у-у0 = у’(x 0 ) (x-x 0 ),
мгновенная скорость равна V(t)=S’(t) т. е. скорость материального тела в момент времени t равна производной от пути по времени.
Геометрический смысл производной • После определения понятия производной можно заключить, что справедливо равенство tg =y’(x).
В этой формуле под тангенсом угла подразумевается тангенс угла наклона касательной к графику функции у=f(x) в точке с абсциссой х0. В этом заключается геометрический смысл производной.
Уго л н а кло на α
Теорема о непрерывности дифференцируемой функции • Теорема. Если функция у= f(x) дифференцируема в точке х=х0 , то она непрерывна в этой точке. • Таким образом, из дифференцируемости функции в точке необходимо следует ее непрерывность в этой точке. Однако, обратное утверждение не всегда имеет место.
ПРОСТЕЙШИЕ ПРАВИЛА ОТЫСКАНИЯ ПРОИЗВОДНЫХ Пусть функции U(x) и V(x) дифференцируемы. Найдем, чему равны производные от функций:
Теорема. Производная алгебраической суммы дифференцируемых функций равна сумме производных этих функций (аддитивность), т. е. [U(x)±V(x)]’=U’(x)±V’(x)
Теорема. Производная произведения двух дифференцируемых функций равна сумме произведений производной первой функции на вторую и производной второй функции на первую, т. е. [U(x)V(x)]’=U’(x)V(x)+U(x)V’(x).
Если одна из функций есть постоянная величина С, то производная С’=0 [C U(x)]’=C U’(x).
• Теорема. Производная частного двух дифференцируемых функций равна d U(x) U’(x)V(x) –U(x)V’(x) ----- = -------------2(x) dx V(х) V
ПРОИЗВОДНАЯ СЛОЖНОЙ ФУНКЦИИ • Если задана сложная функция у=f[u(x)], то переменная u называется промежуточной переменной. • Теорема. Производная сложной функции по независимой переменной равна произведению производной этой функции по промежуточной переменной на производную промежуточной переменной по независимой переменной.
ПРИМЕР ПРОИЗВОДНОЙ СЛОЖНОЙ ФУНКЦИИ • Пусть задана сложная функция у=sinx 2. Необходимо найти ее производную по х. Вначале мы дифференцируем функцию синус по промежуточной переменной, которая представляет собой функцию x 2. Получаем косинус от этой переменной (x 2). • Затем мы умножаем результат на производную промежуточной переменной по независимой переменной, т. е. (x 2)’=2 x. Получаем (sinx 2)’=cosx 2 2 x.
y’ x=y’u u’ x
ПРОИЗВОДНАЯ ОБРАТНОЙ ФУНКЦИИ • Если функция y=f(x) на множестве Х дифференцируема, то в точках, где ее производная отлична от нуля обратная функция дифференцируема и равна обратной величине производной прямой функции, т. е. x’y =1/y’x.
ПРОИЗВОДНАЯ ОСНОВНЫХ ЭЛЕМЕНТАРНЫХ ФУНКЦИЙ • Производная логарифмической функции у=logа x, где а>0, а≠ 1, х>0. (loga x)’=1/(xlna) • В частности, (lnx)’=1/х.
• Рассмотрим сложную функцию y=logau(x), удовлетворяющую всем условиям существования производной сложной функции. Производную этой функции следует рассматривать как сложную функцию. По теореме о производной сложной функции имеем:
Производная показательной функции • Рассмотрим показательную функцию у=аx , где а>0, а≠ 1, - <х< . Найдем производную этой функции, воспользовавшись производной логарифмической функции. Прологарифмируем обе части равенства у=аx и получим lny=xlna. Возьмем от обеих частей этого равенства производную по х, рассматривая левую часть этого равенства как сложную функцию от х. Получим:
• Подставляя вместо y(x) его выражение , ax получим: x)’=ax (a lna
• Производная степенной функции у=х Рассмотрим функцию у=х , где - произвольное действительное число. Производная степенной функции равна: (x )’= -1 x .
ПРОИЗВОДНЫЕ ТРИГОНОМЕТРИЧЕСКИХ ФУНКЦИЙ • Производная синуса равна (sinx)’=cosx
• Если дана сложная функция sin u(x), то по формуле производной сложной функции получим: • (sin u(x))’=cos u(x) u’(x).
• Производная косинуса равна (соsx)’= -sinx
• Производная тангенса равна 2 x (tgx)’=sec
• Производная котангенса равна: 2 x (сtgx)’=-соsec
ПРОИЗВОДНЫЕ ОБРАТНЫХ ТРИГОНОМЕТРИЧЕСКИХ ФУНКЦИЙ • Производная функции у=arcsinx , х [ -1; 1]. Так как функция арксинус на заданном отрезке монотонна и непрерывна, то по теореме о существовании обратной функции она имеет обратную – функцию х=siny. По теореме о производной обратной функции имеем:
• Производная арксинуса 2)-1/2 (arcsinx)’=(1 -x
• Аналогично можно найти производную арккосинуса 2)-1/2 (arcсosx)’=-(1 -x
• Производная арктангенса 2)-1 (arctgx)’=(1+x
Логарифмическая производная • На основе формулы (lny)’=y’/y для нахождения производной от показательно- степенной функции получаем
ДИФФЕРЕНЦИАЛ
Дифференциал • Зададимся вопросом: когда приращение функции f=f(x+ x)-f(x) представимо в виде • f=A x+o( x), где А- некоторая константа.
• Представление приращения • f=A x+o( x) имеет место когда функция f дифференцируема в точке х. При этом число А= f’(x). • Линейная часть приращения функции f, равная A x, называется дифференциалом и обозначается df.
ира пр ние ще
Дифференциал • Дифференциал равен • df =f’(x) dх, Откуда, собственно, возникло обозначение • f’(x)= df / dх • Появляется возможность обращаться с df/dх, как с обыкновенной дробью, например, сложная функция f(x(t)) дифференцируется так
Инвариантность формы дифференциала
Если в функции f(x) производится замена х=u(t), то дифференциал равен • df=f’(x)dx=f’(u)du – это свойство инвариантности формы дифференциала.
ПРАВИЛО ЛОПИТАЛЯ
Правило Лопиталя • Правило Лопиталя (теорема Лопиталя) используется при решении задачи раскрытия неопределенности 0/0 (или / ). Пусть ищется предел отношения двух функций, каждая из которых стремится к нулю. Тогда справедливо равенство
Дифференциалы высших порядков
Дифференциалы высших порядков • Наподобие производной высшего порядка дифференциал более высокого порядка определяется индуктивно nf=d(dn-1 f)=f(n)(x)dxn. • d • К сожалению, дифференциалы высших порядков не обладают свойством инвариантности.
Теорема Ферма • Пьер де Ферма [1601 -1665] – французский математик, один из создателей аналитической геометрии, анализа, теории вероятностей и теории чисел. По профессии юрист. Наиболее известен формулировкой Великой теоремы Ферма. Доказательство этой теоремы, найденное Эндрю Уайлсом, содержит более ста страниц.
Теорема Ферма • Пусть функция f(x) в точке х = х0 дифференцируема и принимает локально максимальное значение, т. е. функция в этой точке больше • f(x 0)>= f(x) для всех х из окрестности точки х0. Тогда f’(x 0)= 0. Аналогично для минимума.
Теорема Ролля • Мишель Ролль [1652 -1719] – французский математик. Его математические сведения, обнаружились в решении одной трудной задачи, что открыло ему двери Академии. • Академическая деятельность Ролля ознаменовалась горячими и бурными нападками на дифференциальное исчисление и на анализ Декарта. Ролль выступил с резкими возражениями как против логических оснований дифференциального исчисления, так и против достигнутых Декартом результатов. Вариньон разоблачил нагромождение ошибок, совершенных Роллем, и дал в своём опровержении истинное понятие о дифференциалах. В 1705 г академия признала Ролля неправым, с чем позднее согласился и он сам.
Теорема Ролля • Несмотря на пренебрежение, с которым относились и относятся к спору Ролля о дифференциальном исчислении, он всё -таки заставил Лейбница отнестись к логическим основаниям предмета с большей внимательностью. Известна одна из его теорем: «между двумя, следующими друг за другом, корнями уравнения f'(x) =0 может заключаться не более одного корня уравнения f(x)=0» .
Теорема Ролля • Пусть f(x) дифференцируема на отрезке [a, b] и f(a)= f(b). Тогда существует точка x 0, в которой f’(x 0)=0.
Теорема Лагранжа
Жозе ф Луи Лагра нж [1736 -1813] французский математик и механик. Наряду с Эйлером — лучший математик 18 века. Автор классического трактата «Аналитическая механика» • Внёс грандиозный вклад в развитие анализа, теории чисел, теорию вероятностей и численные методы, создал вариационное исчисление.
Теорема Лагранжа • Пусть f(x) дифференцируема на отрезке [a, b]. Тогда существует точка x 0, в которой
• Теорему Лагранжа часто записывают в виде f(b)-f(a)= f’(x 0)(b-a) , подчеркивая способ выражения приращения функции с помощью умножения «дельта» отрезка (b-a)на среднюю скорость роста (производную). • Или f(b)=f(a)+ f’(x 0)(b-a).
Формула Тейлора • Брук Тэйлор [1685 -1731] — английский математик, именем которого называется найденная им известная формула, выражающая приращение функции в виде ряда, расположенного по возрастающим степеням приращения независимой переменной. • Ему принадлежат сочинения «New principle of linear perspective» и «Methodus incrementorum directa et inversa» , где кроме вывода его знаменитой формулы, находится теория колебания струн, в которой он приходит к тем же самым результатам, к каким впоследствии пришли Даламбер и Лагранж.
• Обладая большими математическими способностями, он в то же время был весьма хорошим музыкантом и успешно занимался живописью. Под конец жизни он предался исследованиям по вопросам религии и философии.
Формула Тейлора • Пусть функция f(x) n+1 раз дифференцируема в некоторой окрестности точки x 0. Тогда для значений аргумента х достаточно близких к точке x 0, справедлива формула (Тейлора)
вф ор ме Я ко би
• Если функция бесконечное число раз дифференцируема, например, в нуле, то возникает желание представить ее на основании формулы Тейлора в виде ряда (ряд Маклорена)
• Конечно, приближение функции полиномами улучшается с ростом числа n, но рассматриваемая окрестность может уменьшиться до нуля. Ряд Тейлора может расходиться или сходиться к другой функции. • Тем не менее для многих функций указанное представление справедливо , т. е. ряд Тейлора сходится к самой функции.
Именно, глядя на эти ряды Эйлер открыл свою знаменитую формулу ix е =cosx+isinx
Леона рд Э йлер [1707 -1783] • Леона рд Э йлер — великий российский и швейцарский математик, внёсший значительный вклад в развитие математики, а также механики, физики, астрономии и ряда прикладных наук. • Эйлер — автор более чем 800 работ по математическому анализу, дифференциальной геометрии, теории чисел и др. Многие его работы оказали значительное влияние на развитие науки.
• Метод выделения главной части функции (с использованием рядов Тейлора) • Эквивалентные бесконечно малые. Применение эквивалентности при вычислении пределов функций. • Две бесконечно малые называются эквивалентными, если в пределе их отношение равно 1. • Тогда мы можем записать следующие эквивалентности для функций:
• Метод выделения главной части функции (с использованием рядов Тейлора) •
• Метод выделения главной части функции (с использованием рядов Тейлора) •
• Метод выделения главной части функции (с использованием рядов Тейлора) •
Пример на использование эквивалентных бесконечно малых
Монотонность • При изучении функций дифференцирование работает весьма эффективно. • Моното нная фу нкция — это функция, приращение которой не меняет знака, то есть всегда остается неотрицательно (функция растет), либо всегда неположительно(убывает). Если в дополнение к этому приращение не равно нулю, то функция называется стро го моното нной.
Монотонность • Пусть функция f (x) дифференцируема на (a, b). Тогда – f возрастает на (a, b) тогда и только тогда, когда f ’(x)>=0; – f убывает на (a, b) тогда и только тогда, когда f ’(x)<=0. Скорость изменения положительна – функция растет, отрицательна – убывает.
Выпуклость • Функция выпукла, если ее график выглядит так
Вогнутость • Функция вогнута, если ее график выглядит так
Выпуклость • Роль второй производной (в предположении ее существования): • если f ’’(x)>=0, то функция выпукла на соответствующем участке; ’’(x)<=0 - вогнута. • Т. о. , точки, в которых f ’’(x) обращяется в • если f нуль и меняет знак, определяют смену выпуклости на вогнутость (перегиб). Поскольку в окрестности локального
Экстремум • максимума функция вогнута, то знак второй производной однозначно определяет ситуацию. • Утверждение. Если f ’(x)=0 и f ‘’(x)<0, то функция в точке х имеет локальный максимум.


