Скачать презентацию Машины постоянного тока Назначение и устройство МПТ Скачать презентацию Машины постоянного тока Назначение и устройство МПТ

Машины постоянного тока.pptx

  • Количество слайдов: 27

Машины постоянного тока Назначение и устройство МПТ Машины постоянного тока Назначение и устройство МПТ

По конструкции МПТ подобна обращенной СМ, у которой обмотка якоря расположена на роторе, а По конструкции МПТ подобна обращенной СМ, у которой обмотка якоря расположена на роторе, а обмотка возбуждения – на статоре.

Обмотки якоря машин постоянного тока Основной элемент каждой обмотки – секция, состоящая из некоторого Обмотки якоря машин постоянного тока Основной элемент каждой обмотки – секция, состоящая из некоторого количества параллельно или последовательно включенных витков.

К=S Z=S=K Uн = 110 -220 В К/2 р = 12÷ 35 Обычно в К=S Z=S=K Uн = 110 -220 В К/2 р = 12÷ 35 Обычно в каждом слое паза располагают рядом несколько секционных сторон (Un = 2, 3, 4, 5). При этом К=S=Un Z. Zэ =Un Z = S = K

Условия симметрии обмоток 2 а=2 2 а≥ 2 Zэ а = S а = Условия симметрии обмоток 2 а=2 2 а≥ 2 Zэ а = S а = К а Z/а = ц. ч. 2 р/а = ц. ч. = Ц. Ч.

ЭДС секций у1≈ шаг полный у1 шаг удлиненный у1 шаг укороченный у1 z = ЭДС секций у1≈ шаг полный у1 шаг удлиненный у1 шаг укороченный у1 z = Z/2 р εz

Звезда ЭДС Вб 1 = 2 = р*360/Z = 2 = 360 электр. град. Звезда ЭДС Вб 1 = 2 = р*360/Z = 2 = 360 электр. град. = 2 рn

Шаги обмотки Первый частичный шаг у1 - расстояние по поверхности якоря между начальной и Шаги обмотки Первый частичный шаг у1 - расстояние по поверхности якоря между начальной и конечной сторонами секции. Второй частичный шаг обмотки у2 - расстояние между конечной стороной данной секции и начальной стороной последующей за ней по схеме обмотки секции. Результирующий шаг обмотки у -расстояние между начальными сторонами секций, следующих одна за другой по ходу обмотки у =Σ(у1, у2). Шаг по коллектору ук - расстояние в коллекторных делениях (ширина коллекторной пластины + ширина одной изоляционной прокладки) между серединами коллекторных пластин, к которым присоединены две стороны секций. (К=S)

Простая петлевая обмотка y = y 1 - y 2 y=yк=± 1 yк =+1 Простая петлевая обмотка y = y 1 - y 2 y=yк=± 1 yк =+1 Sв= S/2 p 2 а = S/ Sв= 2 р

Уравнительные соединения уур = К/р. Уравнительные соединения уур = К/р.

Простая волновая обмотка y = y 1 + y 2 y 1 ≈ y Простая волновая обмотка y = y 1 + y 2 y 1 ≈ y 2 ≈ τ р yк± 1=К yк= (К± 1)/р yк= (К-1)/р Sв = р. S/2 р = S/2 2 а = S/Sв = 2

Причины искрения на коллекторе машины Механические причины Потенциальные причины Коммутационные причины Причины искрения на коллекторе машины Механические причины Потенциальные причины Коммутационные причины

Способы улучшения коммутации iд = (ер+евр) / rщ 1. Выбор щеток 2. Уменьшение реактивной Способы улучшения коммутации iд = (ер+евр) / rщ 1. Выбор щеток 2. Уменьшение реактивной ЭДС в коммутирующих секциях 3. Добавочные полюса 4. Смещение щеток с геометрической нейтрали

Принцип действия Режим - генератор епр= Вlv Еа= 2 епр= 2 Вlv f=n f=pn Принцип действия Режим - генератор епр= Вlv Еа= 2 епр= 2 Вlv f=n f=pn

Ua=Ea – Iа ∑ rа - ∆Uщ Еа = Се n. Ф Се = Ua=Ea – Iа ∑ rа - ∆Uщ Еа = Се n. Ф Се = p. N/60 а

∆Е = 0, 5 (Емах-Еmin) К …………. 2 ∆Е………. 100% 10 2, 5% Fпр= ∆Е = 0, 5 (Емах-Еmin) К …………. 2 ∆Е………. 100% 10 2, 5% Fпр= B l Ia Мэм = Fпр Da = B l Da Ia См = p. N/(2πа) Мэм = См Ф Ia 20 0, 62% 40 0, 16%

P 2=U Ia P=0, 105 M n ∑P = P 1 – P 2 P 2=U Ia P=0, 105 M n ∑P = P 1 – P 2

Режим двигателя. Fпр= B l Ia Мэм = Fпр Da = B l Da Режим двигателя. Fпр= B l Ia Мэм = Fпр Da = B l Da Ia Еа= 2 епр= 2 Вlv

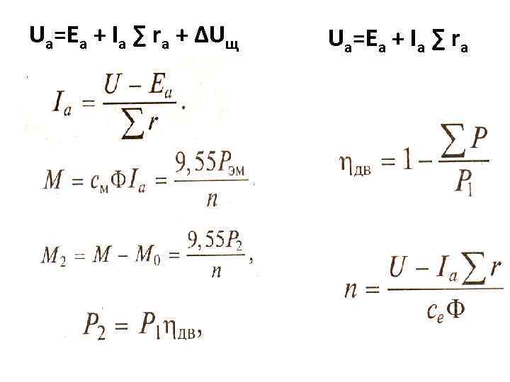
Ua=Ea + Iа ∑ rа + ∆Uщ Ua=Ea + Iа ∑ rа Ua=Ea + Iа ∑ rа + ∆Uщ Ua=Ea + Iа ∑ rа

Регулирование частоты двигателей постоянного тока вращения - изменением сопротивления реостата rдоб в цепи якоря; Регулирование частоты двигателей постоянного тока вращения - изменением сопротивления реостата rдоб в цепи якоря; изменением магнитного потока возбуждения Ф (изменением тока в цепи возбуждения Iв ); - изменением напряжения U, подводимого к цепи якоря.

Магнитное поле машин постоянного тока Магнитная цепь МПТ при холостом ходе ∫Н dl =∑i Магнитное поле машин постоянного тока Магнитная цепь МПТ при холостом ходе ∫Н dl =∑i Кнасыщ = F/Fв = ав/ас = 1, 2. . . 2

Реакция якоря. Реакция якоря.

Реакция якоря при сдвиге щеток с геометрической нейтрали Реакция якоря при сдвиге щеток с геометрической нейтрали