e8bb0c3302896bcf3315bc99f0858ffa.ppt
- Количество слайдов: 51
Макроэкономика для математиков Фондовый рынок Фундаментальная стоимость актива
Факты о динамике фондового рынка n Почему цены на акции меняются так часто и сильно?
Факты о динамике фондового рынка n n В целом существует долгосрочная тенденция роста цен на акции Изредка случаются резкие падения цен на акции, крах на фондовом рынке
Товар vs Актив n n Товар (good) Приносит полезность Спрос на товар является решением задачи оптимизации при включении количества товара в функцию полезности На рынке товаров (текущего потребления) продаются и покупаются потоки n n § Актив (asset) В будущем приносит индивиду явные доходы (в виде потока дивидендов, купонов, арендных платежей, и т. д. ) и неявный доход за счет роста/снижения курсовой стоимости (capital gain/loss) Спрос на актив также является решением задачи оптимизации при включении объема актива в бюджетное ограничение На рынке активов продаются и покупаются запасы Вопрос для обсуждения: является ли активом нефть, жилье, молоко, валюта?
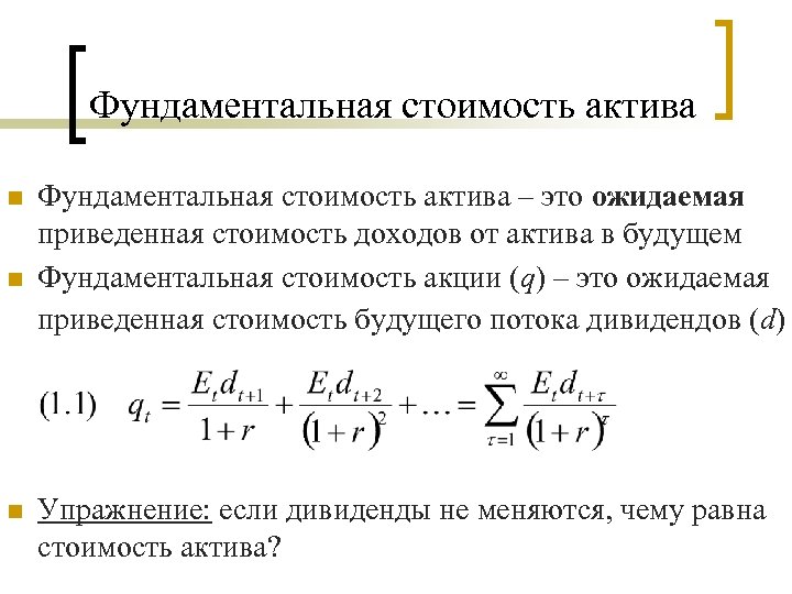
Фундаментальная стоимость актива n n n Фундаментальная стоимость актива – это ожидаемая приведенная стоимость доходов от актива в будущем Фундаментальная стоимость акции (q) – это ожидаемая приведенная стоимость будущего потока дивидендов (d) Упражнение: если дивиденды не меняются, чему равна стоимость актива?
Концепция рациональных ожиданий n Рациональные ожидания относительно стоимости актива в будущем определяются с помощью оператора условного математического ожидания: Et qt +1 = E (qt +1| Фt), где qt - стоимость актива в момент времени t , Фt - информационное множество, доступное в момент времени t
Гипотеза эффективного рынка (EMH) n n Финансовый рынок является (информационно) эффективным, если в рыночных ценах мгновенно и полностью учтена вся доступная информация EMH вводится в предположении о рациональном поведении агентов на финансовом рынке. В частности, ожидания агентов являются рациональными
Замечание n Выделяют три вида эффективности: Ø Эффективность в распределении ресурсов (в ходе конкуренции ресурсы получают лучшие проекты) Ø Операционная эффективность (транзакционные издержки посредников определяются в ходе конкуренции) Ø n Информационная эффективность (EMH) Рынок является совершенно эффективным, если верны все три гипотезы
Формы EMH (на основе разных информационных множеств) n n Ожидания цен являются условными В зависимости от информационного множества выделяют три формы EMH: Ø Ø Ø Слабая Умеренная Сильная Fama E. F. (1970) “Efficient Capital Markets: A Review of Theory and Empirical Work”. Journal of Finance, pp. 383 -417.
Слабая форма EMH n n n Текущие цены мгновенно и полностью отражают всю информацию, содержащуюся в предшествующей динамике цен Не существует приносящей сверхприбыль инвестиционной стратегии, основанной на анализе предшествующей динамики цен ( «техническом анализе» ) Динамика цен описывается процессом случайного блуждания (броуновским процессом)
Умеренная форма EMH n n Текущие цены мгновенно и полностью отражают всю общедоступную и релевантную информацию Вся релевантная информация находит отражение в ценах настолько быстро, что «фундаментальный анализ» деятельности соответствующих компаний не позволяет получать сверхприбыль
Сильная форма EMH n n Текущие цены мгновенно и полностью отражают всю релевантную информацию, включая «инсайдеровскую» информацию Реакция рынка является настолько быстрой, что даже использование конфиденциальной информации (что, как правило, запрещено законом!) не дает преимуществ
Замечания и вопросы n Сильная форма EMH требует полного агрегирования информации, в то время как слабая форма EMH требует лишь усреднения информации n Вопросы для обсуждения: ¡ ¡ Предполагает ли EMH полноту информации? Выполняется ли EMH на практике?
Условие отсутствия арбитража (No-Arbitrage-Condition) n n n EMH исключает возможность арбитража – возможность купить ценную бумагу на одном рынке, и сразу же продать ее на другом рынке по более высокой цене практически без риска Виды и примеры арбитража: доходный, пространственный, треугольный Замечание: при наличии трансакционных издержек возможно существование арбитражного коридора
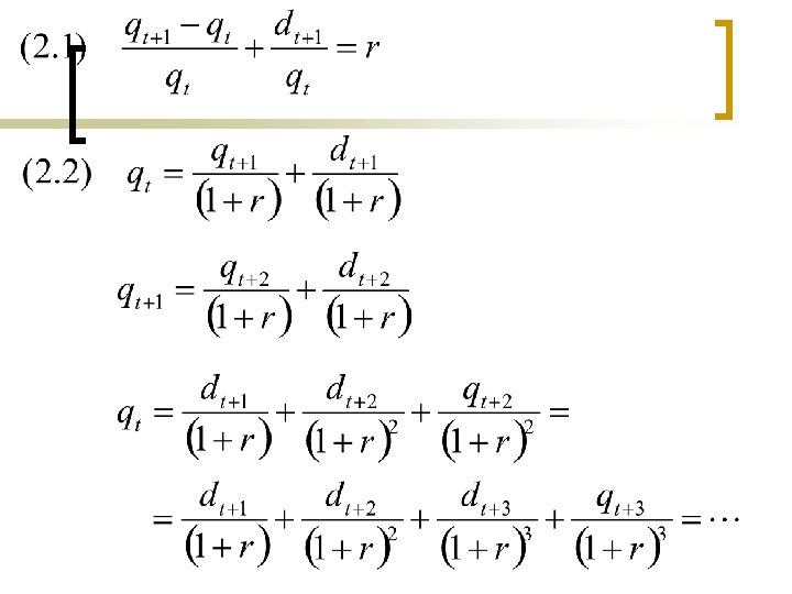
Условие отсутствия арбитража (NAC) Ожидаемая доходность от дивидендов и от увеличения стоимости актива совпадает с альтернативной нормой доходности n Замечание: NAC (1. 2) записывается в предположении, что инвесторы являются нейтральными к риску, т. е. инвесторы не требуют премию за риск
NAC и фундаментальная стоимость акции n Упражнение: покажите, что фундаментальная стоимость акции (1. 1) является частным решением конечно-разностного уравнения (1. 2)
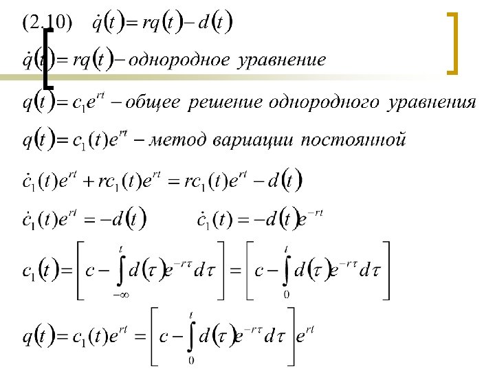
NAC и ценообразование акций: непрерывное время n NAC для стоимости акции (случай постоянной ставки процента): n Фундаментальная стоимость акции определяется как:
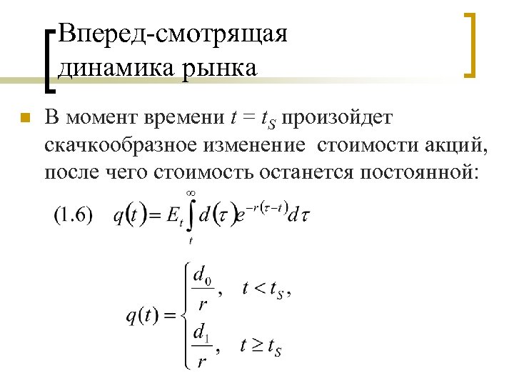
Вперед-смотрящая динамика рынка n n Предположим, что первоначально величина дивидендов постоянна, d(t) = d 0 В момент времени t = t. S на рынок поступает информация, что начиная с этого же момента времени t = t. S, дивиденды вырастут до нового постоянного уровня d(t) = d 1 > d 0
Вперед-смотрящая динамика рынка n В момент времени t = t. S произойдет скачкообразное изменение стоимости акций, после чего стоимость останется постоянной:
Вперед-смотрящая динамика рынка n n Предположим, что первоначально величина дивидендов постоянна, d(t) = d 0 В момент времени t = t. A на рынок поступает информация, что начиная с момента времени t = t. S, дивиденды вырастут до нового постоянного уровня d(t) = d 1 > d 0
Вперед-смотрящая динамика рынка n В момент времени t = t. A стоимость акции скачком возрастает на величину n Стоимость акции является вперед-смотрящей переменной и может изменяться скачком (jump variable). Дискретные изменения в стоимости акции определяются поступлением новой информации относительно будущих дивидендов
Лекция 2 Пузыри на финансовом рынке
Феномен резкого роста цен на рынке активов
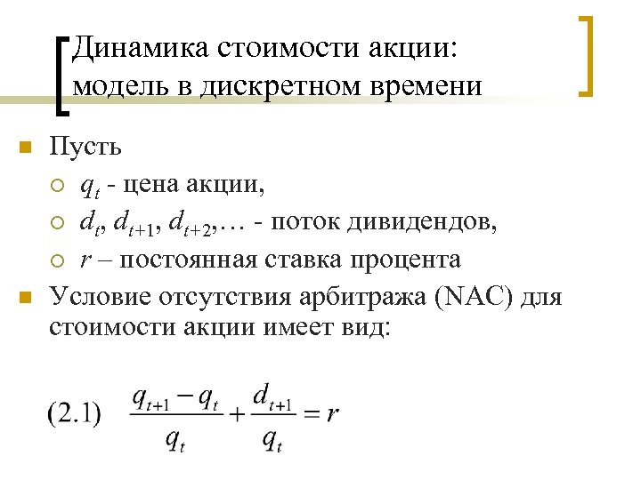
Динамика стоимости акции: модель в дискретном времени n n Пусть ¡ qt - цена акции, ¡ dt, dt+1, dt+2, … - поток дивидендов, ¡ r – постоянная ставка процента Условие отсутствия арбитража (NAC) для стоимости акции имеет вид:
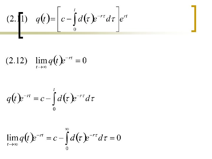
Условие отсутствия пузыря (NBC) в дискретном времени n n Приведенная стоимость актива должна стремиться к нулю на бесконечном временном горизонте Стоимость актива не должна расти «слишком быстро» : темп роста стоимости актива не должен систематически превышать ставку процента
Замечание n NBC вовсе не исключает возможность бесконечного роста стоимости актива. Например, стоимость акции может возрастать линейно, или по экспоненте (но «не слишком быстро» )
Неопределенность относительно будущих дивидендов n Если будущие дивиденды достоверно не известны, то уравнение (2. 1) принимает вид:
Общая спецификация пузыря n Общее решение уравнения (8) имеет вид: где ξt – мартингал, т. е. n n Пузырь обладает следующим свойством: Упражнение: простым методом подстановки покажите, что (2. 7) является решением уравнения (2. 6)
Что такое пузырь? n n n Пузырь – это отклонение фактической стоимости актива от фундаментальной, которое не противоречит NAC Часто встречается термин «rational bubble» , т. к. существование пузыря НЕ нарушает NAC Понятие пузырь можно вводить лишь в том случае, если можно определить понятие фундаментальная стоимость актива Фундаментальная стоимость может быть только у показателя запаса, но не у потока Замечание: на финансовых рынках продаются и покупаются именно запасы
«Рациональный» пузырь: пример n n n В 1998 г. управляющий крупным паевым фондом Тони Дай стал известен миру, благодаря его предсказаниям о том, что рынок NASDAQ обрушится Мистер Дай не вкладывал деньги своего фонда в акции высокотехнологичных компаний. Он не пользовался выгодами от «the great bull market» В результате, доходность паев его фонда была ниже, чем у конкурентов Рынок NASDAQ обрушился в 2000 году Мистер Дай не ошибся в предсказаниях, он ошибся в сроке Requiem for a prudent man A fund manager's career has lessons for today's investors The Economist (March 27 th 2008)
Всегда ли можно ли использовать термин «пузырь» в анализе ценообразования? n n n В экономической литературе чаще всего исследуются пузыри на рынке акций, на валютном рынке, и т. н. «гиперинфляционные» пузыри на рынке денег Однако, в последнее время часто можно услышать о «пузыре в стоимости нефти на мировом рынке» и «пузыре на рынке жилья Москвы» . Правомерно ли в принципе говорить о «пузырях» на данных рынках?
Всегда ли можно говорить о пузыре, если «рынок перегрет» ? n n Высокие цены могут отражать не существование пузыря, а соответствующие ожидания относительно fundamentals, т. е. ожидаемые высокие отдачи. Резкое падение цен на рынке может быть следствием резкого пересмотра ожиданий относительно fundamentals вследствие появления новой информации Отклонение цены от фундаментального уровня может быть следствием присутствия на рынке иррациональных игроков (noise traders), чье поведение зависит от настроений (fads), определяется стадным инстинктом (herd behavior), и т. п.
Noise traders n n n Почему рациональные арбитражеры (“smart money”) не устраняют полностью ошибки noise traders? Далеко не всегда для конкретного актива существует совершенный заменитель (портфель активов, с такими же характеристиками). Следовательно, арбитражные операции на практике являются рисковыми В реальности арбитраж сопряжен с ограничениями: ¡ ¡ Продажа «переоцененных» активов является рисковой операцией, т. к. нет полной уверенности в том, что цена действительно выше фундаментальной Продажа «переоцененного» актива сейчас связана с риском потерь, в случае, если актив еще какое-то время продолжит расти в цене
Исторической пример аномалии: Пирамида «МММ» n n n Обещалась норма отдачи свыше 3, 000% Стоимость «акции» в феврале 1994 г. – 1, 600 руб. (~$1) Стоимость «акции» в июле 1994 г. – 105, 000 руб. (~$51) Пирамида «МММ» рухнула в конце июля 1994 г. В конце года С. Мавроди был избран депутатом Государственной Думы Вопрос для обсуждения: можно ли считать пирамиду «МММ» примером рационального пузыря?
Исторической пример аномалии: Tulipmania n n n В 17 веке в Голландии сформировался рынок луковиц обычных и редких видов тюльпанов С 1634 по 1637 на рынке наблюдался резкий рост цен Цена луковицы редкого вида Admiral Van de Eyck выросла с 1, 500 гиней в 1634 до 7, 500 гиней в 1637 (эквивалент стоимости дома!!!) Цены обычных луковиц выросли в 20 раз!!! В феврале 1637 произошел обвал цен Через несколько лет цены луковиц тюльпанов составляли лишь 10% от их пиковой величины
Garber P. M. (1990) “Famous First Bubbles”. Journal of Economic Perspectives, 4(2), pp. 85 -101.
Исторической пример аномалии: Tulipmania n Вопрос для обсуждения: можно ли считать Tulipmania 1634 -1637 гг. примером рационального пузыря? n Информация к размышлению: ¡ ¡ ¡ Tulipmania наблюдалась только для луковиц, пораженных специфическим «мозаичным» вирусом, делавшим цветы необычно красивыми. Вирус не передавался через семена!!! Средний годовой темп обесценения редких луковиц с 1637 по 1642 составил 32% Средний годовой темп обесценения редких луковиц вплоть до достижения минимальной цены в 18 веке составлял 28. 5%
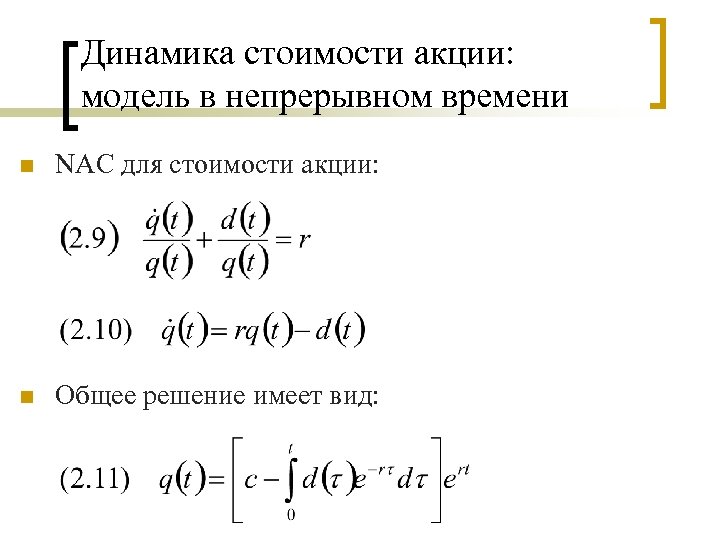
Динамика стоимости акции: модель в непрерывном времени n NAC для стоимости акции: n Общее решение имеет вид:
NBC в непрерывном времени n Условие отсутствия пузыря в непрерывном времени имеет вид:
Впередсмотрящее решение n Решение (2. 11) с учетом NBC (2. 12) имеет вид: n В условиях неопределенности фундаментальная стоимость акции определяется ожидаемым дисконтированным потоком дивидендов:
Впередсмотрящее решение (Forward-looking solution) n Решение (2. 14) и его аналог в дискретном времени являются впередсмотрящими: ожидания относительно будущего, а вовсе не предыстория, определяют текущее состояние рынка
Forward-Looking Solution: n n o o Траектория переменной выбирается из условия на будущее (NBC) Переменная относится к классу “jump variables” Ожидания относительно будущего определяют поведение экономических агентов и равновесие рынков Примеры: Цена акции определяется ожиданиями относительно будущих дивидендов Инфляция определяется ожидаемым ростом денежной массы Потребление определяется ожиданиями будущих доходов Инвестиции зависят от ожидаемого в будущем спроса на продукцию Backward-Looking Solution: n n n Траектория переменной выбирается из начального условия Переменная относится к классу “sluggish variables” Экономическое состояние определяется предысторией n Примеры: o Запас капитала определяется предшествующими инвестициями Государственный долг накоплен вследствие стимулирующей фискальной политики в прошлые годы o
Темы для дополнительного изучения n n Шумные игроки на финансовых рынках Выявление пузыря на фондовых рынках Инфляция цен активов, причины и последствия Экономическая политика в условии инфляции цен активов


